rebel
Πολύ δραστήριο μέλος
 
								 
								Σημείωση: Το μήνυμα αυτό γράφτηκε 13 χρόνια πριν. Ο συντάκτης του πιθανόν να έχει αλλάξει απόψεις έκτοτε.
Timmy
Εκκολαπτόμενο μέλος
 
								 
								Σημείωση: Το μήνυμα αυτό γράφτηκε 13 χρόνια πριν. Ο συντάκτης του πιθανόν να έχει αλλάξει απόψεις έκτοτε.
Timmy
Εκκολαπτόμενο μέλος
 
								 
								Σημείωση: Το μήνυμα αυτό γράφτηκε 13 χρόνια πριν. Ο συντάκτης του πιθανόν να έχει αλλάξει απόψεις έκτοτε.
rebel
Πολύ δραστήριο μέλος
 
								 
								ως προς χ.
Σημείωση: Το μήνυμα αυτό γράφτηκε 13 χρόνια πριν. Ο συντάκτης του πιθανόν να έχει αλλάξει απόψεις έκτοτε.
 
								 
								Μπορει καποιος να μου πει ποια ειναι η αντιστροφη της f(x) = x - 2 + ln(x-1) , x>1 ?
sth goes wrong here

Σημείωση: Το μήνυμα αυτό γράφτηκε 13 χρόνια πριν. Ο συντάκτης του πιθανόν να έχει αλλάξει απόψεις έκτοτε.
Timmy
Εκκολαπτόμενο μέλος
 
								 
								Αλλα μας ειπε σημερα οτι ειχε κανει αυτος λαθος και δεν εβγαινε...
Σημείωση: Το μήνυμα αυτό γράφτηκε 13 χρόνια πριν. Ο συντάκτης του πιθανόν να έχει αλλάξει απόψεις έκτοτε.
Demlogic
Πολύ δραστήριο μέλος
 
								 
								Μπορει καποιος να μου πει ποια ειναι η αντιστροφη της f(x) = x - 2 + ln(x-1) , x>1 ?
η αντιστροφη της ειναι η
W(exp(x+1)) +1
Σημείωση: Το μήνυμα αυτό γράφτηκε 13 χρόνια πριν. Ο συντάκτης του πιθανόν να έχει αλλάξει απόψεις έκτοτε.
Rempeskes
Επιφανές μέλος
 
								 
								η αντιστροφη της ειναι η
W(exp(x+1)) +1
ναινταξ, υποχρεωθηκαμε τωρα

Σημείωση: Το μήνυμα αυτό γράφτηκε 13 χρόνια πριν. Ο συντάκτης του πιθανόν να έχει αλλάξει απόψεις έκτοτε.
whitedove
Νεοφερμένο μέλος
 
								 
								Μια ερωτηση για μια ασκηση..
Έστω η συνάρτηση f(x) = χ^3 + 3x^2 −2x −1.
Να βρείτε το σημείο της f C , στο οποίο η εφαπτομένη έχει τον ελάχιστο συντελεστή
διεύθυνσης.
Για να βρω αυτο που ζηταει πρεπει να παραγωγισω εις διπλουν?το αντιλαμβανομαι καπως αλλα θελω αν μπορει καποιος να μου το τεκμηριωσει πληρως!
Ευχαριστω.
Σημείωση: Το μήνυμα αυτό γράφτηκε 13 χρόνια πριν. Ο συντάκτης του πιθανόν να έχει αλλάξει απόψεις έκτοτε.
Demlogic
Πολύ δραστήριο μέλος
 
								 
								καλησπερα καλησπερα,
Μια ερωτηση για μια ασκηση..
Έστω η συνάρτηση f(x) = χ^3 + 3x^2 −2x −1.
Να βρείτε το σημείο της f C , στο οποίο η εφαπτομένη έχει τον ελάχιστο συντελεστή
διεύθυνσης.
Για να βρω αυτο που ζηταει πρεπει να παραγωγισω εις διπλουν?το αντιλαμβανομαι καπως αλλα θελω αν μπορει καποιος να μου το τεκμηριωσει πληρως!
Ευχαριστω.
Nαι...γενικα η κλιση της εφαπτομενης δινεται απο την παραγωγο της f δηλαδη την f'
δηλαδη πρεπει να βρεις που εχει ελαχιστο η f'... πως το βρισκεις αυτο; με τους γνωστους τροπους..
ενας εκ των οποιων απαιτει δευτερη παραγωγο
Υ.Γ. μηδενισε την δευτερη παραγωγο και θα βρεις μια λυση η οποια θα υποδηλωνει πως εκει υπαρχει ακροτατο αν αλλαζει και η μονοτονια...εκει προφανως αριστερα της λυσης θα ειναι αρνητικη η δευτερη παραγωγος, δεξια θα ειναι θετικη αρα θα υπαρχει ελαχιστο για την f' δηλαδη την κλιση της εφαπτομενης εκει που μηδενιζεται η f''
Σημείωση: Το μήνυμα αυτό γράφτηκε 13 χρόνια πριν. Ο συντάκτης του πιθανόν να έχει αλλάξει απόψεις έκτοτε.
sokratis lyras
Νεοφερμένο μέλος
 
								 
								καλησπερα καλησπερα,
Μια ερωτηση για μια ασκηση..
Έστω η συνάρτηση f(x) = χ^3 + 3x^2 −2x −1.
Να βρείτε το σημείο της f C , στο οποίο η εφαπτομένη έχει τον ελάχιστο συντελεστή
διεύθυνσης.
Για να βρω αυτο που ζηταει πρεπει να παραγωγισω εις διπλουν?το αντιλαμβανομαι καπως αλλα θελω αν μπορει καποιος να μου το τεκμηριωσει πληρως!
Ευχαριστω.
Αν θες να αποφύγεις την 2η παράγωγο :
f'(x)=3x^2+6x-2=3(x^2+2x-2/3)=3[(x+1)^2-5/3] κλπ.Τι βάζω στα άκρα για latex?
Σημείωση: Το μήνυμα αυτό γράφτηκε 13 χρόνια πριν. Ο συντάκτης του πιθανόν να έχει αλλάξει απόψεις έκτοτε.
Rempeskes
Επιφανές μέλος
 
								 
								Code:3)εστω η συναρτηση f(x)=x+lnx ii)Να βρεθει η εφαπτομενη της γραφικης παραστασης της [LATEX]f^{ -1 }[/LATEX]στο Χο=-2
wuut? O_o
σα να δυσκολεψε φετος η γ-λυκ
Σημείωση: Το μήνυμα αυτό γράφτηκε 13 χρόνια πριν. Ο συντάκτης του πιθανόν να έχει αλλάξει απόψεις έκτοτε.
P@NT?LO$
Νεοφερμένο μέλος
 
								 
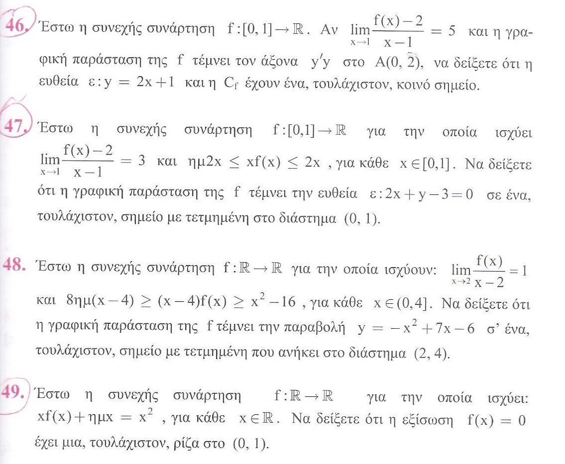
								παιδια αν γινετε ας λυσει καποιος τις 46,47,49 απο εδω...View attachment 49163 δεν βγαζω ακρη...εχω απελπιστει!!
Από το βοήθημα του Μπαρλα είναι αυτές ,φίλε?
Σημείωση: Το μήνυμα αυτό γράφτηκε 13 χρόνια πριν. Ο συντάκτης του πιθανόν να έχει αλλάξει απόψεις έκτοτε.
lowbaper92
Πολύ δραστήριο μέλος
 
								 
								παιδια αν γινετε ας λυσει καποιος τις 46,47,49 απο εδω...View attachment 49163 δεν βγαζω ακρη...εχω απελπιστει!!
46)
Καταρχάς απ' την εκφώνηση f(0)=2
Έστω
και
Bolzano στη g(x): ένα τουλάχιστον x0 στο (0,1) τέτοιο ώστε
47)
Με τον ίδιο τρόπο θα εκμεταλλευτείς το όριο που σου δίνεις και θα βρεις f(1)=2
Απ'την ανισοτική σχέση, για x διάφορο του 0, θα διαιρέσεις με x, και χρησιμοποιώντας το κριτήριο παρεμβολής θα βρεις το
lim f(x) για x-->0 , άρα και το f(0)
Μετά πάλι Bolzano για την k(x)=f(x)+2x-3 στο [0,1]
49)
Πάλι για x διάφορο του 0, διαιρείς με x, παίρνεις όρια για x-->0 και βρίσκεις f(0)=-1<0
Αν θέσεις x=1 στη αρχική, έχεις f(1)=1-ημ1 το οποίο με κομπιουτεράκι βγαίνει θετικό
Bolzano στην f στο [0,1]
Σημείωση: Το μήνυμα αυτό γράφτηκε 13 χρόνια πριν. Ο συντάκτης του πιθανόν να έχει αλλάξει απόψεις έκτοτε.
 
								 
								Ο, τι θες για διευκρινήσεις ρωτά παντλος

Σημείωση: Το μήνυμα αυτό γράφτηκε 13 χρόνια πριν. Ο συντάκτης του πιθανόν να έχει αλλάξει απόψεις έκτοτε.
 
								 
								να αποδειξετε,λεει,οτι ειναι γν.αυξουσα. πως γινεται?
Σημείωση: Το μήνυμα αυτό γράφτηκε 13 χρόνια πριν. Ο συντάκτης του πιθανόν να έχει αλλάξει απόψεις έκτοτε.
vimaproto
Πολύ δραστήριο μέλος
 
								 
								Δεν προσδιορίζεις το πεδίο ορισμού.Ερώτησή: έχουμε τη συνάρτησή f(x)=2ημx - συνx -1.
να αποδειξετε,λεει,οτι ειναι γν.αυξουσα. πως γινεται?
Θα λάβω 0<χ1<χ2<π/2
ημχ1<ημχ2 ==>2ημχ1<2ημχ2 (1) και συνχ1>συνχ2 ==> -συνχ1<-συνχ2 (2)
Προσθέτω κατά μέλη τις (1) και (2)
2ημχ1-συνχ1<2ημχ2-συνχ2 ==> 2ημχ1-συνχ1 -1<2ημχ2-συνχ2 -1 ==> f(x1)<f(x2) Γνησίως αύξουσα
Σημείωση: Το μήνυμα αυτό γράφτηκε 13 χρόνια πριν. Ο συντάκτης του πιθανόν να έχει αλλάξει απόψεις έκτοτε.
sokratis lyras
Νεοφερμένο μέλος
 
								 
								49)
Πάλι για x διάφορο του 0, διαιρείς με x, παίρνεις όρια για x-->0 και βρίσκεις f(0)=-1<0
Αν θέσεις x=1 στη αρχική, έχεις f(1)=1-ημ1 το οποίο με κομπιουτεράκι βγαίνει θετικό
Bolzano στην f στο [0,1]
Φυσικά δεν επιτρέπεται κομπιουτεράκι.
Σημείωση: Το μήνυμα αυτό γράφτηκε 13 χρόνια πριν. Ο συντάκτης του πιθανόν να έχει αλλάξει απόψεις έκτοτε.
 
								 
								Δεν προσδιορίζεις το πεδίο ορισμού.
Θα λάβω 0<χ1<χ2<π/2
ημχ1<ημχ2 ==>2ημχ1<2ημχ2 (1) και συνχ1>συνχ2 ==> -συνχ1<-συνχ2 (2)
Προσθέτω κατά μέλη τις (1) και (2)
2ημχ1-συνχ1<2ημχ2-συνχ2 ==> 2ημχ1-συνχ1 -1<2ημχ2-συνχ2 -1 ==> f(x1)<f(x2) Γνησίως αύξουσα
Ναι,είχα ξεχάσει να το προσθέσω.
Τελικά τη βρήκα τη λύση.Ευχαριστώ

Σημείωση: Το μήνυμα αυτό γράφτηκε 13 χρόνια πριν. Ο συντάκτης του πιθανόν να έχει αλλάξει απόψεις έκτοτε.
Χρήστες Βρείτε παρόμοια
- 
				Τα παρακάτω 0 μέλη και 13 επισκέπτες διαβάζουν μαζί με εσάς αυτό το θέμα:Tα παρακάτω 231 μέλη διάβασαν αυτό το θέμα:- ChrisG152
- giorgos5002
- giannis06
- Panagiwths12
- mikke
- hristosdab
- trifasikodiavasma
- haji
- thepigod762
- Mariosm.
- soulatso
- oteletampis
- phleidhs
- Hased Babis
- AggelikiGr
- sir ImPeCaBlE
- veiNqh
- Scandal
- alekos
- Debugging_Demon
- just some guy
- xristosgkm
- ismember
- Apocalypse
- arrow25
- rempelos42
- ggl
- GStef
- QWERTY23
- xrisamikol
- Σωτηρία
- nikoletaz57
- _Aggelos123
- Mariam38
- SlimShady
- strsismos88
- Georgekk
- Lia 2006
- igeorgeoikonomo
- marian
- tsiobieman
- constansn
- Xristosdimitra
- Panagiotis849
- ρενακι 13
- Memetchi
- eukleidhs1821
- Nikkkpat
- Unboxholics
- korlef
- kwstaseL
- Thanos_D
- the purge
- T C
- Giii
- Papachrist
- liaiscool
- Αννα Τσιτα
- globglogabgalab
- Pharmacist01
- thanahss
- abcdefg12345
- nicole1982
- thecrazycretan
- kvstas92
- KingOfPop
- maria301
- papa2g
- stefan
- Κλημεντίνη
- TonyMontanaEse
- Lathy
- Alexecon1991
- Μάρκος Βασίλης
- Cortes
- το κοριτσι του μαη
- calliope
- ale
- panagiotis G
- Kleanth
- aggelosst9
- BioChemical
- spring day
- nucomer
- Georgia110
- LeoDel
- pink_panther
- Alexandros973
- marsenis
- den antexw allh apotyxia
- KaterinaL
- kiyoshi
- drosos
- Λαμπρινηη
- Bill22
- Chrysablac.
- giorgosp97
- Βλα
- Monster Hunter
- jul25
- xxxtolis
- Stroka
- nicks1999
- totiloz
- Earendil
- mitsakos
- tasost
- lnesb
- ssalex
- alan09
- Livaja10
- χημεια4λαιφ
- Viedo
- UncleJ
- Kostakis45
- Infrared
- Zgian
- pepatogourounaki
- hirasawayui
- GeoCommand
- Eleni54
- American Economist
- EiriniS20
- ΘανάσοςG4
- stamoul1s
- Αριάνα123
- uni77
- Libertus
- tasoss
- PanosCh002
- Unseen skygge
- Νικόλας Ραπ.
- cel123
- The Limit Does Not Exist
- don_vito
- suaimhneas
- Αλκης Κ.
- alexrami
- Baggelitsa36
- Νομικάριος13
- spinalgr1990
- d_th
- Adolfo valencia
- Πα.Κ
- Vasilis25
- Johnman97
- Steffie88
- rekcoR
- gwgw_5
- fockos
- Mariahj
- roud
- kostas83
- Cpt.Philips
- Makis45
- Χρησλου
- Panos_02
- Vold
- tymvorixos
- GiorgosAsi
- Neos167
- theodoraooo
- George187
- Άρτεμις Α.
- Μαρία2222
- christos87
- Idontknoww
- jimis2001
- Metamorph
- Γατόπαρδος.
- Johnsk
- mitsos14
- johnsiak
- Elel
- Dreamer_SW
- Γιαννης1987Θεσσ
 
- 
				 Φορτώνει...
- 
		
		Το forum μας χρησιμοποιεί cookies για να βελτιστοποιήσει την εμπειρία σας.
 Συνεχίζοντας την περιήγησή σας, συναινείτε στη χρήση cookies στον περιηγητή σας.
 Αρχική Forum
 Αρχική Forum
					 Ρωτήστε κάτι
 Ρωτήστε κάτι
					 Προσωπικές Συζητήσεις
 Προσωπικές Συζητήσεις
					 Πανελλαδικές
 Πανελλαδικές
						 Αγγελίες
 Αγγελίες
						 Συνδεδεμένοι Χρήστες
 Συνδεδεμένοι Χρήστες
					 Λίστα Αποκλεισμένων
 Λίστα Αποκλεισμένων
					 Υπεύθυνοι του Forum
 Υπεύθυνοι του Forum
					 e-steki
e-steki 
	
	 
 
		 
 
		 
 
		
 
 
		 
 
		
