Korina 71
Νεοφερμένο μέλος
ε ενταξει το team δε μασαει!!λυνει τα παντα![]()
Έτσι ακριβώς!!!Ή είμαστε team ή δεν είμαστε!!
:xixi:
Σημείωση: Το μήνυμα αυτό γράφτηκε 16 χρόνια πριν. Ο συντάκτης του πιθανόν να έχει αλλάξει απόψεις έκτοτε.
John_Megadeth
Νεοφερμένο μέλος
Να δειξετε οτι: α) η f ειναι παραγωγισιμη στο 1 και
β) η εφαπτομενη της
γ)
δ) η εξισωση
Σημείωση: Το μήνυμα αυτό γράφτηκε 16 χρόνια πριν. Ο συντάκτης του πιθανόν να έχει αλλάξει απόψεις έκτοτε.
ledzeppelinick
Πολύ δραστήριο μέλος
εκανες εσυ τπτ??
Σημείωση: Το μήνυμα αυτό γράφτηκε 16 χρόνια πριν. Ο συντάκτης του πιθανόν να έχει αλλάξει απόψεις έκτοτε.
Korina 71
Νεοφερμένο μέλος
:no1:Σημείωση: Το μήνυμα αυτό γράφτηκε 16 χρόνια πριν. Ο συντάκτης του πιθανόν να έχει αλλάξει απόψεις έκτοτε.
John_Megadeth
Νεοφερμένο μέλος

Σημείωση: Το μήνυμα αυτό γράφτηκε 16 χρόνια πριν. Ο συντάκτης του πιθανόν να έχει αλλάξει απόψεις έκτοτε.
Korina 71
Νεοφερμένο μέλος

Σημείωση: Το μήνυμα αυτό γράφτηκε 16 χρόνια πριν. Ο συντάκτης του πιθανόν να έχει αλλάξει απόψεις έκτοτε.
ledzeppelinick
Πολύ δραστήριο μέλος
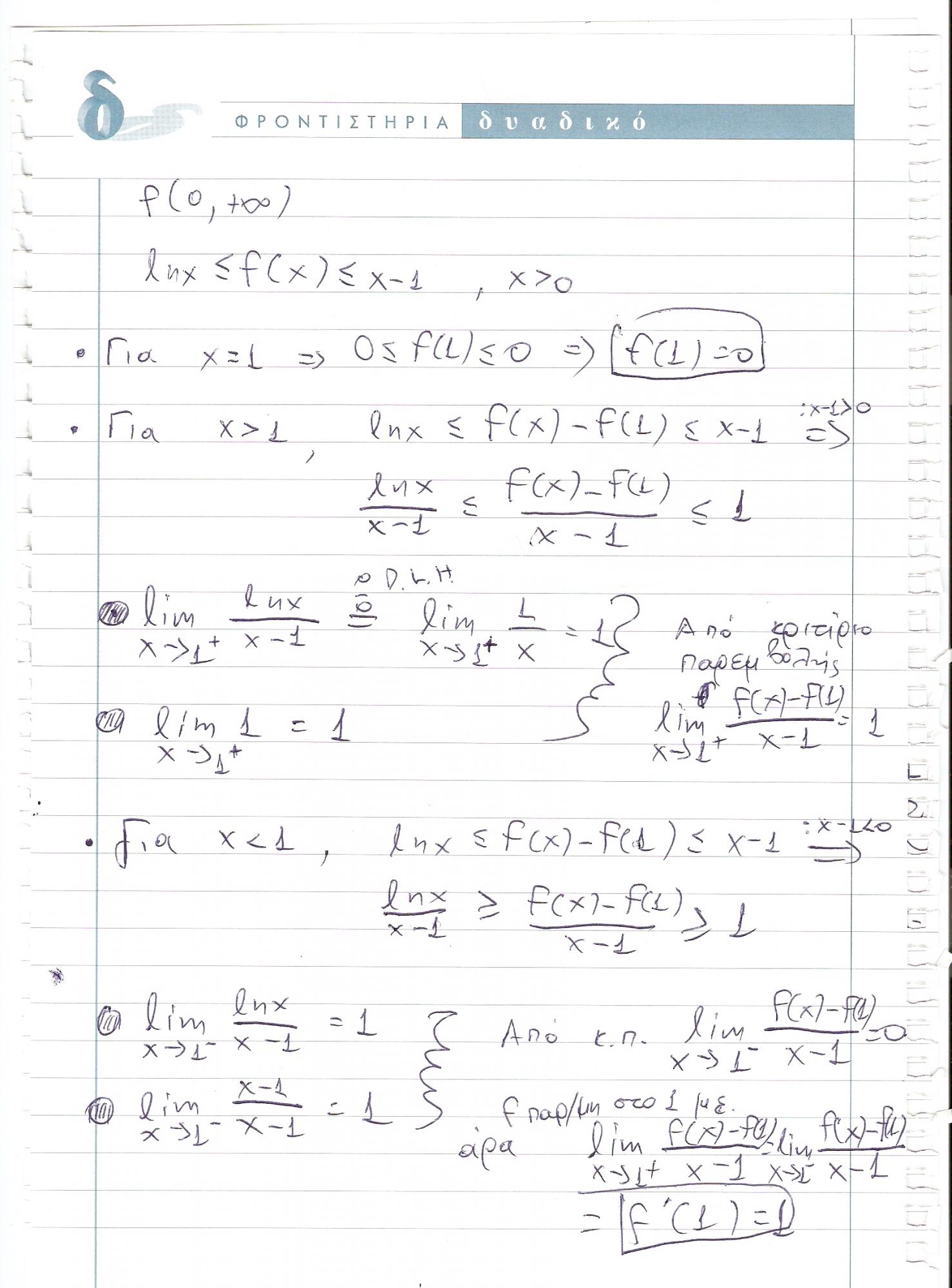
Να μια! Δινεται η συναρτησηγια την οποια ισχυουν τα παρακατω: ειναι συνεχης στο
και
.
Να δειξετε οτι: α) η f ειναι παραγωγισιμη στο 1 και
β) η εφαπτομενη τηςστο σημειο της
σχηματιζει με τους αξονες τριγωνο εμβαδου
γ)
δ) η εξισωσηεχει μοναδικη ριζα στο
![]()
απλα μια διορθωση λιγο στο γ ειναι χ-1 και ολο στο τετραγωνο!!:no1:
Σημείωση: Το μήνυμα αυτό γράφτηκε 16 χρόνια πριν. Ο συντάκτης του πιθανόν να έχει αλλάξει απόψεις έκτοτε.
Συνημμένα
Civilara
Περιβόητο μέλος
Αν η συνάρτηση f είναι κοίλη στο R τότε υπάρχει τουλάχιστον ένα x0 στο R τέτοιο ώστε f(x0)<0
-----------------------------------------
Σωστό ή Λάθος
Έστω συνάρτηση f παραγωγίσιμη στο Α(x0,f(x0)). Αν η εφαπτομένη της γραφικής παράστασης της f στο Α είναι ασύμπτωτη της γραφικής παράστασης της συνάρτησης g στο +άπειρο, τότε
Σωστό ή Λάθος
i) Αν f παραγωγίσιμη και γνησίως αύξουσα σε ένα διάστημα Δ, τότε f΄(x)>0 για κάθε x στο Δ.
ii) Αν f παραγωγίσιμη και γνησίως φθίνουσα σε ένα διάστημα Δ, τότε f΄(x)<0 για κάθε x στο Δ.
-----------------------------------------
Σωστό ή Λάθος
Αν f συνεχής στο [α,β] και f(α)+f(β)=0 τότε υπάρχει τουλάχιστον ένα x0 στο (α,β) τέτοιο ώστε f(x0)=0
-----------------------------------------
Σωστό ή Λάθος
Αν g,h παραγωγίσιμες συνερτήσεις σε ένα διάστημα Δ και f συνεχής στο f(Δ)Ug(Δ) τότε η F(x)=S(g(x),h(x))f(t)dt είναι παραγωγίσιμη στο Δ με
Σωστό ή Λάθος
Αν μία συνάρτηση f είναι δύο φορές παραγωγίσιμη σε ένα διάστημα Δ και f΄΄(x) διάφορο 0 για κάθε x στο Δ τότε δεν υπάρχουν σημεία στο Δ στα οποία οι εφαπτομένες της γραφικής παράστασης της f να είναι παράλληλες.
Σημείωση: Το μήνυμα αυτό γράφτηκε 16 χρόνια πριν. Ο συντάκτης του πιθανόν να έχει αλλάξει απόψεις έκτοτε.
manos66
Εκκολαπτόμενο μέλος
μονο προσεγγιστικα αλλα λογικα δεν γινεται ετσι.. οποτε θα ηθελα να δω την λυση! Ευχαριστω!!:thanks:
Για x > 1
θέτουμε όπου x το x^2
Σημείωση: Το μήνυμα αυτό γράφτηκε 16 χρόνια πριν. Ο συντάκτης του πιθανόν να έχει αλλάξει απόψεις έκτοτε.
Civilara
Περιβόητο μέλος
Σημείωση: Το μήνυμα αυτό γράφτηκε 16 χρόνια πριν. Ο συντάκτης του πιθανόν να έχει αλλάξει απόψεις έκτοτε.
m3Lt3D
Πολύ δραστήριο μέλος
Σωστο.(μην πω γιατι. το εβαλα χθες ασκησηΣωστό ή Λάθος
Αν η συνάρτηση f είναι κοίλη στο R τότε υπάρχει τουλάχιστον ένα x0 στο R τέτοιο ώστε f(x0)<0
-----------------------------------------
Σωστό ή Λάθος
)Σωστο.(lim[g(x)-λχ]=β)Έστω συνάρτηση f παραγωγίσιμη στο Α(x0,f(x0)). Αν η εφαπτομένη της γραφικής παράστασης της f στο Α είναι ασύμπτωτη της γραφικής παράστασης της συνάρτησης g στο +άπειρο, τότε
lim(x->+άπειρο)[g(x)-xf΄(x0)]=f(x0)-x0f΄(x0)-----------------------------------------
Σωστό ή Λάθος
Λαθος.(π.χ. χ^3)i) Αν f παραγωγίσιμη και γνησίως αύξουσα σε ένα διάστημα Δ, τότε f΄(x)>0 για κάθε x στο Δ.
Λαθος.(π.χ. -χ^3)ii) Αν f παραγωγίσιμη και γνησίως φθίνουσα σε ένα διάστημα Δ, τότε f΄(x)<0 για κάθε x στο Δ.
-----------------------------------------
Σωστό ή Λάθος
Λαθος.(υπαχει στο [α,β])Αν f συνεχής στο [α,β] και f(α)+f(β)=0 τότε υπάρχει τουλάχιστον ένα x0 στο (α,β) τέτοιο ώστε f(x0)=0
-----------------------------------------
Σωστό ή Λάθος
Τωρα σε αυτο το κατω ακρο του ολοκληρωματος ειναι g(x) και το πανω h(x) ή το αναποδο;Αν g,h παραγωγίσιμες συνερτήσεις σε ένα διάστημα Δ και f συνεχής στο f(Δ)Ug(Δ) τότε η F(x)=S(g(x),h(x))f(t)dt είναι παραγωγίσιμη στο Δ με
F΄(x)=f(g(x))g΄(x)-f(h(x))h΄(x) για κάθε x στο Δ-----------------------------------------
Σωστό ή Λάθος
Σωστο.(ατοπο με Rolle)Αν μία συνάρτηση f είναι δύο φορές παραγωγίσιμη σε ένα διάστημα Δ και f΄΄(x) διάφορο 0 για κάθε x στο Δ τότε δεν υπάρχουν σημεία στο Δ στα οποία οι εφαπτομένες της γραφικής παράστασης της f να είναι παράλληλες.
Σημείωση: Το μήνυμα αυτό γράφτηκε 16 χρόνια πριν. Ο συντάκτης του πιθανόν να έχει αλλάξει απόψεις έκτοτε.
vasilis008
Νεοφερμένο μέλος
Δίνεται
Δίνεται επίσης ότι για την f ισχύει:
Σημείωση: Το μήνυμα αυτό γράφτηκε 16 χρόνια πριν. Ο συντάκτης του πιθανόν να έχει αλλάξει απόψεις έκτοτε.
John_Megadeth
Νεοφερμένο μέλος
Σημείωση: Το μήνυμα αυτό γράφτηκε 16 χρόνια πριν. Ο συντάκτης του πιθανόν να έχει αλλάξει απόψεις έκτοτε.
vasilis008
Νεοφερμένο μέλος
καλημέρα και σε εσένα. Όχι δυστυχώς δεν ξέρουμε τίποτα ούτε καν αν είναι συνεχής...Καλημερα!Βασιλη, ξερουμε αν η f ειναι παραγωγισιμη;
Σημείωση: Το μήνυμα αυτό γράφτηκε 16 χρόνια πριν. Ο συντάκτης του πιθανόν να έχει αλλάξει απόψεις έκτοτε.
John_Megadeth
Νεοφερμένο μέλος

Σημείωση: Το μήνυμα αυτό γράφτηκε 16 χρόνια πριν. Ο συντάκτης του πιθανόν να έχει αλλάξει απόψεις έκτοτε.
Korina 71
Νεοφερμένο μέλος
καλημέρα και σε εσένα. Όχι δυστυχώς δεν ξέρουμε τίποτα ούτε καν αν είναι συνεχής...
Ουπς!Προβληματάκι!Αλλά ελπίζω βγαίνει με ορισμό

I'll try it now!Σημείωση: Το μήνυμα αυτό γράφτηκε 16 χρόνια πριν. Ο συντάκτης του πιθανόν να έχει αλλάξει απόψεις έκτοτε.
vasilis008
Νεοφερμένο μέλος
Σημείωση: Το μήνυμα αυτό γράφτηκε 16 χρόνια πριν. Ο συντάκτης του πιθανόν να έχει αλλάξει απόψεις έκτοτε.
Korina 71
Νεοφερμένο μέλος

Σημείωση: Το μήνυμα αυτό γράφτηκε 16 χρόνια πριν. Ο συντάκτης του πιθανόν να έχει αλλάξει απόψεις έκτοτε.
ledzeppelinick
Πολύ δραστήριο μέλος
)..!! άρε κορινα σ ευχαριστω πολυ my team mate!!!

θα δω κ εγω την ασκηση λιγο κ αν δεν μπορω σας λεω!!
Σημείωση: Το μήνυμα αυτό γράφτηκε 16 χρόνια πριν. Ο συντάκτης του πιθανόν να έχει αλλάξει απόψεις έκτοτε.
James Fallen
Νεοφερμένο μέλος
Εφόσον η f 1-1 από την σχέση θα ισχύει:
f^(-1)(f(x))=f^(-1)(x^5+x^3+x) <=>
f^(-1)(x^5+x^3+x)=x
Επειδή η x είναι παραγωγίσιμη στο R επομένως και η f^(-1)(x^5+x^3+x) είναι παραγωγίσιμη... Άρα:
(5x^4+3x^2+1)f'^(-1)(x^5+x^3+x)=1 <=> (για χ=1)
9f'^(-1)(3)=1 <=>
f'^(-1)(3)=1/9 και μετα συνεχίζουμε...
Αλλιώς δεν μπορούμε να αποδείξουμε την παραγωγισιμώτητα της f^(-1)(x)
Στηριζόμαστε στα στοιχεία που μας δίνει...
Καλή μας επιτυχία και όχι άγχος! Θα προσπαθήσω να ανεβάσω την λύση και σε word αργότερα. :no1:
Σημείωση: Το μήνυμα αυτό γράφτηκε 16 χρόνια πριν. Ο συντάκτης του πιθανόν να έχει αλλάξει απόψεις έκτοτε.
Χρήστες Βρείτε παρόμοια
-
Τα παρακάτω 0 μέλη και 1 επισκέπτες διαβάζουν μαζί με εσάς αυτό το θέμα:Tα παρακάτω 232 μέλη διάβασαν αυτό το θέμα:
- Hased Babis
- ChrisG152
- giorgos5002
- Kougami
- giannis06
- Panagiwths12
- mikke
- hristosdab
- trifasikodiavasma
- haji
- thepigod762
- Mariosm.
- soulatso
- oteletampis
- phleidhs
- AggelikiGr
- sir ImPeCaBlE
- veiNqh
- Scandal
- alekos
- Debugging_Demon
- just some guy
- xristosgkm
- ismember
- Apocalypse
- arrow25
- rempelos42
- ggl
- GStef
- QWERTY23
- xrisamikol
- Σωτηρία
- nikoletaz57
- _Aggelos123
- Mariam38
- SlimShady
- strsismos88
- Georgekk
- Lia 2006
- igeorgeoikonomo
- marian
- tsiobieman
- constansn
- Xristosdimitra
- Panagiotis849
- ρενακι 13
- Memetchi
- eukleidhs1821
- Nikkkpat
- Unboxholics
- korlef
- kwstaseL
- Thanos_D
- the purge
- T C
- Giii
- Papachrist
- liaiscool
- Αννα Τσιτα
- globglogabgalab
- Pharmacist01
- otinanai123
- abcdefg12345
- nicole1982
- thecrazycretan
- Ουριήλ
- kvstas92
- KingOfPop
- maria301
- Poirot
- papa2g
- stefan
- Κλημεντίνη
- TonyMontanaEse
- Lathy
- Alexecon1991
- Μάρκος Βασίλης
- Cortes
- το κοριτσι του μαη
- calliope
- ale
- panagiotis G
- Kleanth
- aggelosst9
- BioChemical
- spring day
- nucomer
- Georgia110
- LeoDel
- pink_panther
- Alexandros973
- marsenis
- den antexw allh apotyxia
- KaterinaL
- kiyoshi
- drosos
- Λαμπρινηη
- Bill22
- Chrysablac.
- giorgosp97
- Βλα
- Monster Hunter
- jul25
- xxxtolis
- Stroka
- nicks1999
- totiloz
- Earendil
- mitsakos
- tasost
- lnesb
- ssalex
- alan09
- Livaja10
- χημεια4λαιφ
- Viedo
- UncleJ
- Kostakis45
- Infrared
- Zgian
- pepatogourounaki
- hirasawayui
- GeoCommand
- Eleni54
- American Economist
- EiriniS20
- ΘανάσοςG4
- stamoul1s
- Αριάνα123
- uni77
- Libertus
- tasoss
- PanosCh002
- Unseen skygge
- Νικόλας Ραπ.
- cel123
- The Limit Does Not Exist
- don_vito
- suaimhneas
- Αλκης Κ.
- alexrami
- Baggelitsa36
- Νομικάριος13
- spinalgr1990
- d_th
- Adolfo valencia
- Πα.Κ
- Vasilis25
- Johnman97
- Steffie88
- rekcoR
- gwgw_5
- fockos
- Mariahj
- roud
- kostas83
- Cpt.Philips
- Makis45
- Χρησλου
- Panos_02
- Vold
- tymvorixos
- GiorgosAsi
- Neos167
- theodoraooo
- George187
- Άρτεμις Α.
- Μαρία2222
- christos87
- Idontknoww
- jimis2001
- Metamorph
- Γατόπαρδος.
- Johnsk
- mitsos14
- johnsiak
- Elel
- Dreamer_SW
- Γιαννης1987Θεσσ
-
Φορτώνει...
-
Το forum μας χρησιμοποιεί cookies για να βελτιστοποιήσει την εμπειρία σας.
Συνεχίζοντας την περιήγησή σας, συναινείτε στη χρήση cookies στον περιηγητή σας.
Αρχική Forum
Ρωτήστε κάτι
Προσωπικές Συζητήσεις
Πανελλαδικές
Αγγελίες
Συνδεδεμένοι Χρήστες
Λίστα Αποκλεισμένων
Υπεύθυνοι του Forum
e-steki
