Lost in the Fog
Νεοφερμένο μέλος


Σημείωση: Το μήνυμα αυτό γράφτηκε 11 χρόνια πριν. Ο συντάκτης του πιθανόν να έχει αλλάξει απόψεις έκτοτε.
rebel
Πολύ δραστήριο μέλος


Για την τρίτη το Α ερώτημα.μια βοηθεια στις παρακατω ασκησεις...
α)
Δίνεται ότι
Παραγωγίζουμε και βγαίνει
Από την (1) και την (2) για
β)
Για να εφάπτεται η
να έχει λύση. Το
και λύνοντάς το ( αποφεύγω τις λεπτομέρειες ) βρίσκουμε
γ)
Μια που η
δ)
oπότε
αφού
Σημείωση: Το μήνυμα αυτό γράφτηκε 11 χρόνια πριν. Ο συντάκτης του πιθανόν να έχει αλλάξει απόψεις έκτοτε.
Mariaal
Εκκολαπτόμενο μέλος


Σημείωση: Το μήνυμα αυτό γράφτηκε 11 χρόνια πριν. Ο συντάκτης του πιθανόν να έχει αλλάξει απόψεις έκτοτε.
Civilara
Περιβόητο μέλος


Πώς αποδεικνυουμε οτι μια συναρτηση με πολυώνυμου 2ου βαθμου δε δεχεται ασύμπτωτες;
Μια πολυωνυμική συνάρτηση f(x)=αn*(x^n)+αn-1*(x^(n-1))+...+α1x+α0, αn διάφορο 0, οποιουδήποτε βαθμού n, n ανήκει N με n>=2 δεν έχει ασύμπτωτες. (Το ίδιο ισχύει και για την γραμμική συνάρτηση f(x)=α1*x+α0 και την σταθρή συνάρτηση f(x)=α0)
Επειδή η f είναι συνεχής στο R τότε η Cf δεν έχει κατακόρυφες ασύμπτωτες.
Αν αn>0 τότε lim(x->-oo)f(x)=-oo και lim(x->+oo)f(x)=+oo.
Αν αn<0 τότε lim(x->-oo)f(x)=+oo και lim(x->+oo)f(x)=-oo.
Άρα η Cf δεν έχει οριζόντιες ασύμπτωτες.
Αν αn>0 τότε lim(x->-oo)[f(x)/x]=+oo, lim(x->-oo)f(x)=-oo και lim(x->+oo)[f(x)/x]=0, lim(x->+oo)f(x)=+oo
Αν αn<0 τότε lim(x->-oo)[f(x)/x]=+oo, lim(x->-oo)f(x)=+oo και lim(x->+oo)[f(x)/x]=0, lim(x->+oo)f(x)=-oo
Άρα η Cf δεν έχει πλάγιες ασύμπτωτες.
Σημείωση: Το μήνυμα αυτό γράφτηκε 11 χρόνια πριν. Ο συντάκτης του πιθανόν να έχει αλλάξει απόψεις έκτοτε.
lowbaper92
Πολύ δραστήριο μέλος


Πώς αποδεικνυουμε οτι η συναρτηςη f(x) = (1+e^(2x))x+x^2+1 δε δεχεται ασύμπτωτες. Επιπλέον πως αποδεικνύω ότι η f(x)=0 ειπναι αδύνατη;
Επειδή το λάτεξ τα 'χει παίξει...

Σημείωση: Το μήνυμα αυτό γράφτηκε 11 χρόνια πριν. Ο συντάκτης του πιθανόν να έχει αλλάξει απόψεις έκτοτε.
Dream Theater
Εκκολαπτόμενο μέλος


εφαρμοζω αντικατασταση και δε μπορω να το βγαλω με τιποτα!
Σημείωση: Το μήνυμα αυτό γράφτηκε 11 χρόνια πριν. Ο συντάκτης του πιθανόν να έχει αλλάξει απόψεις έκτοτε.
rebel
Πολύ δραστήριο μέλος


Σημείωση: Το μήνυμα αυτό γράφτηκε 11 χρόνια πριν. Ο συντάκτης του πιθανόν να έχει αλλάξει απόψεις έκτοτε.
DumeNuke
Τιμώμενο Μέλος


Με αλλαγή των άκρων, μετά την αντικατάσταση:Με την αντικατάστασηγίνεται
κλπ
Σημείωση: Το μήνυμα αυτό γράφτηκε 11 χρόνια πριν. Ο συντάκτης του πιθανόν να έχει αλλάξει απόψεις έκτοτε.
rebel
Πολύ δραστήριο μέλος


Για το ολοκλήρωμα
Το αρχικό ολοκλήρωμα τελικά είναι
Σημείωση: Το μήνυμα αυτό γράφτηκε 11 χρόνια πριν. Ο συντάκτης του πιθανόν να έχει αλλάξει απόψεις έκτοτε.
Mariaal
Εκκολαπτόμενο μέλος


Σημείωση: Το μήνυμα αυτό γράφτηκε 11 χρόνια πριν. Ο συντάκτης του πιθανόν να έχει αλλάξει απόψεις έκτοτε.
aris-bas
Νεοφερμένο μέλος


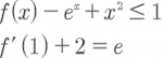
1)Έστω μια συνάρτηση f παραγωγισιμη στο (0,+00) με f(1)=e και

Να αποδειχθεί ότι f ' (1)+2=e
2)

i)Nα βρεθούν οι τιμές του α για τις οποίες η f δεν παρουσιαζει ακροτατα
ii)Για α=2 να βρεθεί το πλήθος των ριζών της f(x)=0
Σημείωση: Το μήνυμα αυτό γράφτηκε 11 χρόνια πριν. Ο συντάκτης του πιθανόν να έχει αλλάξει απόψεις έκτοτε.
rebel
Πολύ δραστήριο μέλος


2)
i) Είναι
ii)
Έυκολα βρίσκουμε ότι
Σημείωση: Το μήνυμα αυτό γράφτηκε 11 χρόνια πριν. Ο συντάκτης του πιθανόν να έχει αλλάξει απόψεις έκτοτε.
Victoria Hislop
Νεοφερμένο μέλος



Σημείωση: Το μήνυμα αυτό γράφτηκε 11 χρόνια πριν. Ο συντάκτης του πιθανόν να έχει αλλάξει απόψεις έκτοτε.
aris-bas
Νεοφερμένο μέλος


1) Εφαρμογή του θεωρήματος Fermat για την
2)
i) Είναιμε διακρίνουσα
οπότε η πρόταση «η f δεν έχει ακρότατα» είναι ισοδύναμη με τις προτάσεις
ii)
Έυκολα βρίσκουμε ότιοπότε η f έχει τουλάχιστον μία ρίζα στο διάστημα
. Η f επιπλέον είναι γνησίως αύξουσα για
οπότε η προηγούμενη ρίζα είναι και μοναδική.
Ευχαριστώ πολύ

Σημείωση: Το μήνυμα αυτό γράφτηκε 11 χρόνια πριν. Ο συντάκτης του πιθανόν να έχει αλλάξει απόψεις έκτοτε.
vimaproto
Πολύ δραστήριο μέλος


Έχω ένα μεγάλο πρόβλημα. Οι εξετάσεις πλησιάζουν και εγώ δεν μπορω ακομα να μαθω απεξω τα τριγωνομετρικά (πχ ημπ/6=1/2 ). Ποτε δεν κατάφερα να τα μάθω. Έχετε καμια ιδέα για το πώς να βγαινουν αυτόματα;![]()
γωνία 0° 30° 45° 60° 90°
ημ √0/2 √1/2 √2/2 √3/2 √4/2
συν √4/2 √3/2 √2/2 √1/2 √0/2
Πιστεύω να καταλαβαίνεις τον πίνακα που απομνημονεύεται εύκολα
Για την εφαπτομένει διαιρείς τους δύο αντίστοιχους όρους του ημιτόνου και του συνημιτόνου
Σημείωση: Το μήνυμα αυτό γράφτηκε 11 χρόνια πριν. Ο συντάκτης του πιθανόν να έχει αλλάξει απόψεις έκτοτε.


Σημείωση: Το μήνυμα αυτό γράφτηκε 11 χρόνια πριν. Ο συντάκτης του πιθανόν να έχει αλλάξει απόψεις έκτοτε.
Effort
Εκκολαπτόμενο μέλος


Aφου η συναρτηση ειναι συνεχης και γνησιως αυξουσα τοτε εχει μοναδικη ριζα.Αρα η προφανης ριζα (που στην προκειμενη περιπτωση ειναι το 0) ειναι και μοναδικη.
Ετσι εχουμε:
-x>0 τοτε αφου η f ειναι γν.αυξουσα προκυπτει οτι f(x)>f(0)=0
-x<0 τοτε αφου η f ειναι γν,αυξουσα προκυπτει οτι f(x)<f(0)=0
-x=0 f(0)=0.
Eτσι εχεις το προσημο της f στο R.
Σημείωση: Το μήνυμα αυτό γράφτηκε 11 χρόνια πριν. Ο συντάκτης του πιθανόν να έχει αλλάξει απόψεις έκτοτε.
methexys
Τιμώμενο Μέλος


x>0 => (επειδή f αύξουσα) f(x)>f(0) => f(x)>0
Σημείωση: Το μήνυμα αυτό γράφτηκε 11 χρόνια πριν. Ο συντάκτης του πιθανόν να έχει αλλάξει απόψεις έκτοτε.


Σημείωση: Το μήνυμα αυτό γράφτηκε 11 χρόνια πριν. Ο συντάκτης του πιθανόν να έχει αλλάξει απόψεις έκτοτε.
aris-bas
Νεοφερμένο μέλος


στην 1η ασκηση εχω κολλησει στο (γ) ερωτημα

και στην δευτερη παιρνω τις σχεσεις f(1)=2
f ' (0)=1
f(0)=0
ειναι σωστες ή κανω κατι λαθος??

υ.γ στη δευτερη ασκηση η f(x)=α(χ^3)+β(χ^2)+γχ
Σημείωση: Το μήνυμα αυτό γράφτηκε 11 χρόνια πριν. Ο συντάκτης του πιθανόν να έχει αλλάξει απόψεις έκτοτε.
Χρήστες Βρείτε παρόμοια
-
Τα παρακάτω 0 μέλη και 14 επισκέπτες διαβάζουν μαζί με εσάς αυτό το θέμα:Tα παρακάτω 230 μέλη διάβασαν αυτό το θέμα:
- giorgos5002
- giannis06
- Panagiwths12
- mikke
- hristosdab
- trifasikodiavasma
- haji
- thepigod762
- Mariosm.
- soulatso
- oteletampis
- phleidhs
- Hased Babis
- AggelikiGr
- sir ImPeCaBlE
- veiNqh
- Scandal
- alekos
- Debugging_Demon
- just some guy
- xristosgkm
- ismember
- Apocalypse
- arrow25
- rempelos42
- ggl
- GStef
- QWERTY23
- xrisamikol
- Σωτηρία
- nikoletaz57
- _Aggelos123
- Mariam38
- SlimShady
- strsismos88
- Georgekk
- Lia 2006
- igeorgeoikonomo
- marian
- tsiobieman
- constansn
- Xristosdimitra
- Panagiotis849
- ρενακι 13
- Memetchi
- eukleidhs1821
- Nikkkpat
- Unboxholics
- korlef
- kwstaseL
- Thanos_D
- the purge
- T C
- Giii
- Papachrist
- liaiscool
- Αννα Τσιτα
- globglogabgalab
- Pharmacist01
- thanahss
- abcdefg12345
- nicole1982
- thecrazycretan
- kvstas92
- KingOfPop
- maria301
- papa2g
- stefan
- Κλημεντίνη
- TonyMontanaEse
- Lathy
- Alexecon1991
- Μάρκος Βασίλης
- Cortes
- το κοριτσι του μαη
- calliope
- ale
- panagiotis G
- Kleanth
- aggelosst9
- BioChemical
- spring day
- nucomer
- Georgia110
- LeoDel
- pink_panther
- Alexandros973
- marsenis
- den antexw allh apotyxia
- KaterinaL
- kiyoshi
- drosos
- Λαμπρινηη
- Bill22
- Chrysablac.
- giorgosp97
- Βλα
- Monster Hunter
- jul25
- xxxtolis
- Stroka
- nicks1999
- totiloz
- Earendil
- mitsakos
- tasost
- lnesb
- ssalex
- alan09
- Livaja10
- χημεια4λαιφ
- Viedo
- UncleJ
- Kostakis45
- Infrared
- Zgian
- pepatogourounaki
- hirasawayui
- GeoCommand
- Eleni54
- American Economist
- EiriniS20
- ΘανάσοςG4
- stamoul1s
- Αριάνα123
- uni77
- Libertus
- tasoss
- PanosCh002
- Unseen skygge
- Νικόλας Ραπ.
- cel123
- The Limit Does Not Exist
- don_vito
- suaimhneas
- Αλκης Κ.
- alexrami
- Baggelitsa36
- Νομικάριος13
- spinalgr1990
- d_th
- Adolfo valencia
- Πα.Κ
- Vasilis25
- Johnman97
- Steffie88
- rekcoR
- gwgw_5
- fockos
- Mariahj
- roud
- kostas83
- Cpt.Philips
- Makis45
- Χρησλου
- Panos_02
- Vold
- tymvorixos
- GiorgosAsi
- Neos167
- theodoraooo
- George187
- Άρτεμις Α.
- Μαρία2222
- christos87
- Idontknoww
- jimis2001
- Metamorph
- Γατόπαρδος.
- Johnsk
- mitsos14
- johnsiak
- Elel
- Dreamer_SW
- Γιαννης1987Θεσσ
-
Φορτώνει...
-
Το forum μας χρησιμοποιεί cookies για να βελτιστοποιήσει την εμπειρία σας.
Συνεχίζοντας την περιήγησή σας, συναινείτε στη χρήση cookies στον περιηγητή σας.