41%
Εκκολαπτόμενο μέλος
Ο 41% αυτή τη στιγμή δεν είναι συνδεδεμένος. Είναι 25 ετών και Μαθητής Δημοτικού. Έχει γράψει 250 μηνύματα.
18-09-23
01:06
Η απόδειξη είναι πλήρης.Εάν θέλουμε να αποδείξουμε ότι κάτι δεν ισχύει γενικά, πρέπει να κάνουμε πλήρη απόδειξη.
Το θέμα αυτό απευθύνονταν σε μαθητές αντίστοιχης α γυμνασίου.
41%
Εκκολαπτόμενο μέλος
Ο 41% αυτή τη στιγμή δεν είναι συνδεδεμένος. Είναι 25 ετών και Μαθητής Δημοτικού. Έχει γράψει 250 μηνύματα.
18-09-23
02:49
Μια πιο απλή άσκηση για καλύτερη κατανόηση του χειρισμού θεμάτων που δεν έχουν λύσεις.
Υπάρχει πραγματικός αριθμός λ τέτοιος ώστε οι αριθμοί λ + sqrt(3) και λ^3 + sqrt(3) να είναι και οι δύο ρητοί;
Υπάρχει πραγματικός αριθμός λ τέτοιος ώστε οι αριθμοί λ + sqrt(3) και λ^3 + sqrt(3) να είναι και οι δύο ρητοί;
Cade
Πολύ δραστήριο μέλος
Ο Cade αυτή τη στιγμή δεν είναι συνδεδεμένος. Είναι Απόφοιτος λυκείου. Έχει γράψει 872 μηνύματα.
18-09-23
04:22
Μια προσπάθεια: Έστω λ+√3=α εQ τότε λ^3+√3 =(α-√3)^3 + √3 = α(α^2+9) -√3(3α^2+2). Αν λ^3+√3=β εQ τότε -√3=[β-α(α^2+9)]/(3α^2+2) =κ εQ άτοπο, άρα δεν υπάρχειΥπάρχει πραγματικός αριθμός λ τέτοιος ώστε οι αριθμοί λ + sqrt(3) και λ^3 + sqrt(3) να είναι και οι δύο ρητοί;
Samael
Τιμώμενο Μέλος
Ο Samael αυτή τη στιγμή δεν είναι συνδεδεμένος. Είναι 26 ετών, Πτυχιούχος του τμήματος Ηλεκτρολόγων & Ηλεκτρονικών Μηχανικών ΠΑΔΑ και μας γράφει από Πειραιάς (Αττική). Έχει γράψει 12.124 μηνύματα.
18-09-23
04:41
Ο μόνος τρόπος ο λ + √3 να είναι ρητός είναι εαν ο λ είναι της μορφής : λ = α - √3 , με α E Q , γιατί τότε :Μια πιο απλή άσκηση για καλύτερη κατανόηση του χειρισμού θεμάτων που δεν έχουν λύσεις.
Υπάρχει πραγματικός αριθμός λ τέτοιος ώστε οι αριθμοί λ + sqrt(3) και λ^3 + sqrt(3) να είναι και οι δύο ρητοί;
λ + √3 = α -√3 + √3 = α Ε Q .
Για λ = α - √3 όμως : λ³ + √3 = (α - √3)³ + √3 , ο οποίος ξεκάθαρα είναι άρρητος .
Οπότε όχι , δεν υπάρχει λ με αυτή την ιδιότητα .
Cade
Πολύ δραστήριο μέλος
Ο Cade αυτή τη στιγμή δεν είναι συνδεδεμένος. Είναι Απόφοιτος λυκείου. Έχει γράψει 872 μηνύματα.
18-09-23
05:05
Εάν λ=1-√3 είναι επίσης ρητόςΟ μόνος τρόπος ο λ + √3 να είναι ρητός είναι εαν λ = -√3 , γιατί τότε : λ + √3 = -√3 + √3 = 0 .
Για λ = -√3 όμως : λ³ + √3 = (-√3)³ + √3 = -3 + √3 , ο οποίος ξεκάθαρα είναι άρρητος .
Οπότε όχι , δεν υπάρχει λ με αυτή την ιδιότητα .
Samael
Τιμώμενο Μέλος
Ο Samael αυτή τη στιγμή δεν είναι συνδεδεμένος. Είναι 26 ετών, Πτυχιούχος του τμήματος Ηλεκτρολόγων & Ηλεκτρονικών Μηχανικών ΠΑΔΑ και μας γράφει από Πειραιάς (Αττική). Έχει γράψει 12.124 μηνύματα.
18-09-23
05:59
Το διόρθωσα , ευχαριστώ για την παρατήρησηΕάν λ=1-√3 είναι επίσης ρητός
.Παραθέτω και μια μικρή απόδειξη για το "προφανές" οτι ο (α - √3)³ + √3 είναι άρρητος .
Για λ = α - √3 :
λ³ + √3 =
(α - √3)³ + √3 =
α³ - 3α²√3 + 3α(√3)² - 3^(3/2) + √3 =
α³ + 9α - 3α²√3 - 3√3 + √3 =
= α³ + 9α - √3( 3α² + 2)
Ο οποίος είναι άρρητος εφόσον α³ + 9α και 3α² + 2 ρητοί .
Οπότε όχι , δεν υπάρχει λ με αυτή την ιδιότητα .
41%
Εκκολαπτόμενο μέλος
Ο 41% αυτή τη στιγμή δεν είναι συνδεδεμένος. Είναι 25 ετών και Μαθητής Δημοτικού. Έχει γράψει 250 μηνύματα.
18-09-23
10:28
ολόσωστος!Μια προσπάθεια: Έστω λ+√3=α εQ τότε λ^3+√3 =(α-√3)^3 + √3 = α(α^2+9) -√3(3α^2+2). Αν λ^3+√3=β εQ τότε -√3=[β-α(α^2+9)]/(3α^2+2) =κ εQ άτοπο, άρα δεν υπάρχει
Καταλαβαίνω τη σκέψη σου είναι σωστά δομημένη, παρόλα αυτά δεν αποτελεί μαθηματική απόδειξη.Ο οποίος είναι άρρητος εφόσον α³ + 9α και 3α² + 2 ρητοί .
Οπότε όχι , δεν υπάρχει λ με αυτή την ιδιότητα .
Dias
Επιφανές μέλος
Ο Dias αυτή τη στιγμή δεν είναι συνδεδεμένος. Είναι Καθηγητής κι έχει σπουδάσει στο τμήμα Φυσικής ΕΚΠΑ (Αθήνα). Έχει γράψει 10.743 μηνύματα.
18-09-23
11:55
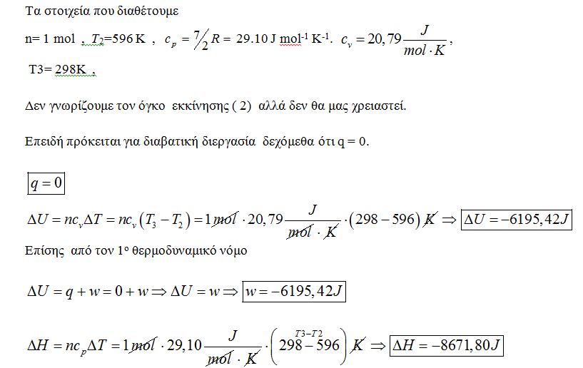
Πύραυλος έχει μαζί με τα καύσιμά του αρχική μάζα ΜΟ και εκτοξεύει τη στιγμή tO=0 καυσαέρια με σταθερή ταχύτητα V ως προς τον πύραυλο. Ο ρυθμός κατανάλωσης καυσίμου είναι dΜ/dt = α = σταθερός. Η κίνηση γίνεται κατακόρυφα και θεωρούμε την επίδραση της βαρύτητας αμελητέα. Να βρεθεί η ταχύτητα υ του πυραύλου τη χρονική στιγμή t.
Samael
Τιμώμενο Μέλος
Ο Samael αυτή τη στιγμή δεν είναι συνδεδεμένος. Είναι 26 ετών, Πτυχιούχος του τμήματος Ηλεκτρολόγων & Ηλεκτρονικών Μηχανικών ΠΑΔΑ και μας γράφει από Πειραιάς (Αττική). Έχει γράψει 12.124 μηνύματα.
18-09-23
13:57
Γιατί όχι ; Δεν υπάρχει κανένα "σκοτεινό" σημείο στην απόδειξη . Είναι στην ουσία σχεδόν η ίδια απόδειξη με του Cade απλώς εκφρασμένη λίγο διαφορετικά + το γεγονός οτι στο τέλος δηλώνω κατευθείαν μετά το ανάπτυγμα του κύβου οτι ο αριθμός είναι άρρητος λόγω της κλειστότητας του Q σε πρόσθεση και πολλαπλασιασμό .ολόσωστος!
Καταλαβαίνω τη σκέψη σου είναι σωστά δομημένη, παρόλα αυτά δεν αποτελεί μαθηματική απόδειξη.
ιωαννηs
Επιφανές μέλος
Ο ιωαννηs αυτή τη στιγμή δεν είναι συνδεδεμένος. Είναι 25 ετών, Φοιτητής του τμήματος Πρόγραμμα Ιερατικών Σπουδών και μας γράφει από Πειραιάς (Αττική). Έχει γράψει 15.422 μηνύματα.
18-09-23
15:29
Τωρα δεν ξερω αν πρεπει ...αλλα θελω να πω οτι η χημεια ειναι μια εξαιρετικη επιστημη ...ειναι η επιστημη της υλης και δινει πολλα στην φυσικη που ειναι η επιστημη της ενεργειας... χερι χερι πανε ασχετα αν δεν το ξερουν... ειδικα οι ηλεκτρολογοι και οι μηχανολογοι θα ηταν ζαβοι αν δεν μας εφτιαχναν οι χημικες τους ημιαγωγους και τα κραματα μεταλων.
Ειχα ασχοληθει λιγο απο περιεργεια και λογω κολλητου ..και διαπιστωσα οτι οτι ζητανε να ξερεις και να λυσεις βρισκονται μεσα στα βιβλια αν τα ξεψαχνισεις ..κατι που ειναι πολυ καλο..
Εχω κατι ασκησουλες γενικης χημειας και θα ειθελα να τις βαλω ετσι προς τιμη των παιδιων που ασχολουνται με την χημεια.
Αν ειναι παρατερο με το νημα ..το κόβω
Ειχα ασχοληθει λιγο απο περιεργεια και λογω κολλητου ..και διαπιστωσα οτι οτι ζητανε να ξερεις και να λυσεις βρισκονται μεσα στα βιβλια αν τα ξεψαχνισεις ..κατι που ειναι πολυ καλο..
Εχω κατι ασκησουλες γενικης χημειας και θα ειθελα να τις βαλω ετσι προς τιμη των παιδιων που ασχολουνται με την χημεια.
Αν ειναι παρατερο με το νημα ..το κόβω
Αυτόματη ένωση συνεχόμενων μηνυμάτων:
Samael
Τιμώμενο Μέλος
Ο Samael αυτή τη στιγμή δεν είναι συνδεδεμένος. Είναι 26 ετών, Πτυχιούχος του τμήματος Ηλεκτρολόγων & Ηλεκτρονικών Μηχανικών ΠΑΔΑ και μας γράφει από Πειραιάς (Αττική). Έχει γράψει 12.124 μηνύματα.
18-09-23
15:39
Μμμ είναι οκει να ανεβάζεις και για χημεία εδώ αρκεί να αφορά κυρίως τον κλάδο της φυσικοχημείας .Τωρα δεν ξερω αν πρεπει ...αλλα θελω να πω οτι η χημεια ειναι μια εξαιρετικη επιστημη ...ειναι η επιστημη της υλης και δινει πολλα στην φυσικη που ειναι η επιστημη της ενεργειας... χερι χερι πανε ασχετα αν δεν το ξερουν... ειδικα οι ηλεκτρολογοι και οι μηχανολογοι θα ηταν ζαβοι αν δεν μας εφτιαχναν οι χημικες τους ημιαγωγους και τα κραματα μεταλων.
Ειχα ασχοληθει λιγο απο περιεργεια και λογω κολλητου ..και διαπιστωσα οτι οτι ζητανε να ξερεις και να λυσεις βρισκονται μεσα στα βιβλια αν τα ξεψαχνισεις ..κατι που ειναι πολυ καλο..
Εχω κατι ασκησουλες γενικης χημειας και θα ειθελα να τις βαλω ετσι προς τιμη των παιδιων που ασχολουνται με την χημεια.
Αν ειναι παρατερο με το νημα ..το κόβω
View attachment 122028
View attachment 122029
View attachment 122030
View attachment 122031
ιωαννηs
Επιφανές μέλος
Ο ιωαννηs αυτή τη στιγμή δεν είναι συνδεδεμένος. Είναι 25 ετών, Φοιτητής του τμήματος Πρόγραμμα Ιερατικών Σπουδών και μας γράφει από Πειραιάς (Αττική). Έχει γράψει 15.422 μηνύματα.
41%
Εκκολαπτόμενο μέλος
Ο 41% αυτή τη στιγμή δεν είναι συνδεδεμένος. Είναι 25 ετών και Μαθητής Δημοτικού. Έχει γράψει 250 μηνύματα.
18-09-23
15:47
Όπως είπα, δεν είναι λάθος η σκέψη σου απλά μαθηματικά πιο "σωστά" είναι να έχεις ένα ρητό κλάσμα ίσο με έναν άρρητο άρα άτοπο παρά να καθίσεις και να εξηγείς το γιατί, υπάρχουν πολλά πράματα που πρέπει να ελέγξουμε, να αναφέρουμε και που μπορεί να μας ξεφύγουν. Όπως με το λ=1-√3 ή έπρεπε να γίνει έλεγχος ότι (3α² + 2) != 0 προφανής θα μου πεις στη συγκεκριμένη περίπτωση ή έπρεπε να εξηγήσουμε και ίσως να αποδείξουμε ότι άθροισμα, γινόμενο ρητών με άρρητων μας δίνει... κτλ. Για λόγους όπως οι παραπάνω αφού υπήρχε η δυνατότητα να το κάνεις κλάσμα θα ήταν αρκετά πιο σίγουρη η λύση.δεν υπάρχει λ με αυτή την ιδιότητα .
Samael
Τιμώμενο Μέλος
Ο Samael αυτή τη στιγμή δεν είναι συνδεδεμένος. Είναι 26 ετών, Πτυχιούχος του τμήματος Ηλεκτρολόγων & Ηλεκτρονικών Μηχανικών ΠΑΔΑ και μας γράφει από Πειραιάς (Αττική). Έχει γράψει 12.124 μηνύματα.
18-09-23
15:52
Για το (3α²+2) χρειαζόταν να ειπωθεί πράγματι οτι είναι διάφορο του μηδενός εδώ δεν θα διαφωνήσουμε . Αυτό δεν κάνει την απόδειξη μη μαθηματική όμως , την κάνει απλώς μη πλήρης . Άλλο το ένα , άλλο το άλλο . Τώρα για την κλειστότητα θα διαφωνήσω . Δεν μπορείς σε κάθε απόδειξη να αποδεικνύεις τα πάντα απο την αρχή . Με την ίδια λογική πρέπει να δείξεις και οτι 1>0 και όλες τις άλλες ιδιότητες που πηγάζουν απο τα αξιώματα . Είναι βασική ιδιότητα των ρητών η κλειστότητα , οπότε το επικαλούμαι , δεν το ισχυρίζομαι , και για αυτό είναι valid . Ομοίως και το γεγονός πως μη μηδενικός ρητός επί άρρητος είναι άρρητος .Όπως είπα, δεν είναι λάθος η σκέψη σου απλά μαθηματικά πιο "σωστά" είναι να έχεις ένα ρητό κλάσμα ίσο με έναν άρρητο άρα άτοπο παρά να καθίσεις και να εξηγείς το γιατί, υπάρχουν πολλά πράματα που πρέπει να ελέγξουμε, να αναφέρουμε και που μπορεί να μας ξεφύγουν. Όπως με το λ=1-√3 ή έπρεπε να γίνει έλεγχος ότι (3α² + 2) != 0 προφανής θα μου πεις στη συγκεκριμένη περίπτωση ή έπρεπε να εξηγήσουμε και ίσως να αποδείξουμε ότι άθροισμα, γινόμενο ρητών με άρρητων μας δίνει... κτλ. Για λόγους όπως οι παραπάνω αφού υπήρχε η δυνατότητα να το κάνεις κλάσμα θα ήταν αρκετά πιο σίγουρη η λύση.
ιωαννηs
Επιφανές μέλος
Ο ιωαννηs αυτή τη στιγμή δεν είναι συνδεδεμένος. Είναι 25 ετών, Φοιτητής του τμήματος Πρόγραμμα Ιερατικών Σπουδών και μας γράφει από Πειραιάς (Αττική). Έχει γράψει 15.422 μηνύματα.
18-09-23
15:52
οκ sam... εχω και κατι απο την γλυκουλα την φυσικοχημεια... οποτε σταματω εχω την καθαρη χημεια και παμε στην συμπραξη.Μμμ είναι οκει να ανεβάζεις και για χημεία εδώ αρκεί να αφορά κυρίως τον κλάδο της φυσικοχημείας .
41%
Εκκολαπτόμενο μέλος
Ο 41% αυτή τη στιγμή δεν είναι συνδεδεμένος. Είναι 25 ετών και Μαθητής Δημοτικού. Έχει γράψει 250 μηνύματα.
ιωαννηs
Επιφανές μέλος
Ο ιωαννηs αυτή τη στιγμή δεν είναι συνδεδεμένος. Είναι 25 ετών, Φοιτητής του τμήματος Πρόγραμμα Ιερατικών Σπουδών και μας γράφει από Πειραιάς (Αττική). Έχει γράψει 15.422 μηνύματα.
18-09-23
16:12
ασκηση φυσικοχημειας
ιωαννηs
Επιφανές μέλος
Ο ιωαννηs αυτή τη στιγμή δεν είναι συνδεδεμένος. Είναι 25 ετών, Φοιτητής του τμήματος Πρόγραμμα Ιερατικών Σπουδών και μας γράφει από Πειραιάς (Αττική). Έχει γράψει 15.422 μηνύματα.
Dias
Επιφανές μέλος
Ο Dias αυτή τη στιγμή δεν είναι συνδεδεμένος. Είναι Καθηγητής κι έχει σπουδάσει στο τμήμα Φυσικής ΕΚΠΑ (Αθήνα). Έχει γράψει 10.743 μηνύματα.
18-09-23
22:02
@ γιαννης_00
Μισό λεπτό παλικάρι μου γιατί με μπέρδεψες. Τον 1ο θερμοδυναμικό νόμο εμένα μου τον μάθανε:Q = ΔU + W
και έτσι υπάρχει και στα σχολικά βιβλία. Αυτό έχει σαν συνέπεια το έργο στην εκτόνωση να είναι θετικό και στη συμπίεση αρνητικό.
Χρήστες Βρείτε παρόμοια
-
Τα παρακάτω 0 μέλη και 0 επισκέπτες διαβάζουν μαζί με εσάς αυτό το θέμα:Tα παρακάτω 278 μέλη διάβασαν αυτό το θέμα:
- Cocobolo
- Salomon Jonas
- many of Filip
- ChrisG152
- ether--net
- Hased Babis
- GNick06
- Marildrea
- globglogabgalab
- Georgiaaa_
- Bonaparte
- Ilias__
- Kabamaru Hayate
- panosalex7
- eukleidhs1821
- SlimShady
- jYanniss
- Drscientist
- Corfu kitty
- bak07
- Kate1914
- aris65
- jellojina
- Unboxholics
- sakplat
- Chrisphys
- bigguy
- love_to_learn
- tsiobieman
- Wonderkid
- Tolis211
- suaimhneas
- Indecisive2
- bibliofagos
- Hecticism
- ggl
- panosT436
- rseven
- Debugging_Demon
- andromaxh07
- Scandal
- georgetherrr
- antonis97
- BatGuin
- thesmilingchild
- iiTzArismaltor_
- Μήτσος10
- Orfano
- charmander
- eirinipap
- exotic xo
- Giorgosvr
- Qwerty 0
- Than003
- angela_k
- Jomo
- Joji
- kost28
- redpointer
- Albert.123
- Leo komm
- P.Dam.
- Steliosgkougkou
- chjan
- Evangeloz
- wmaria
- Maynard
- χημεια4λαιφ
- donut_daddy
- marikakitsou16
- physicscrazy
- Lia 2006
- chester20080
- panaman
- Msp1
- Sotis
- mirara
- melver
- grad778
- nickd
- V@Per
- ssalex
- catlover033
- carnage
- Μιχαήλ
- vas2017
- beatrixx
- phleidhs
- gegeorgiou90
- Dr. Gl. Luminous
- agg41
- thepigod762
- Helen06
- math2arch
- MrDragonboy
- chrismpd
- bill09876
- Paragontas7000
- ikigai
- Marel
- soleilst
- Startx0
- marilenaaa
- EllieKal
- gzois
- EFAKIT
- Φινεύς
- estrela
- Lifelong Learner
- Annie
- Panatha mono
- Mitsaras23
- Isa
- BiteTheDust
- Chris180
- aplalew
- user111
- Chemwizard
- giannhs2001
- Mukumbura
- MR WHITE
- SIAmia
- supertom4000
- J.Cameron
- persour
- Totreno
- sotirislk
- Specon
- Mariosm.
- Claire05
- Giorgos216
- Jimpower
- shezza94
- kwstasloul
- kan3nas
- dmav
- Obi-Wan Kenobi
- Nancysmilkyway
- Νομάρχης
- ogigidi
- ένας τυχαίος
- Hmmytheos
- constansn
- cannot_log_in
- hello1234
- ilal1200
- Alessandra Eliza
- Giannis327
- phoni
- aggorf
- Nala
- Frozensun
- xrisamikol
- Ilovemycats27
- PanosApo
- nik64
- angies
- dimitris_eee
- mike19
- angeloskar
- eltqt
- CrusaderKingsIII
- flaura
- elevag
- Patroklos
- Anonymous1
- IcedBreaje
- kiyoshi
- nicole1982
- Lost_In_Life
- Γατέχων
- AggelikiGr
- Nansytsg
- Lathy
- k4t
- Maria_Xagorari
- suuuuiiii
- SoyN
- thecrazycretan
- Jesse_
- A350
- Ιωάννης1234
- george777
- Abiogenesis
- Enhypen
- Mary06
- arko
- Giorgkalo
- velentzakoss
- Giota_pel
- AnnaRd
- Νικολινα
- NikNik1995
- BillyTheKid
- Nick_nt
- a namaves
- xristarac
- ilovekpop
- GeorgePap2003
- Sofos Gerontas
- topg
- Γιώτα Γιαννακού
- plantbee
- Peter Pan13
- Ness
- MrDna
- Jojo K
- Mewmaw
-
Φορτώνει...
-
Το forum μας χρησιμοποιεί cookies για να βελτιστοποιήσει την εμπειρία σας.
Συνεχίζοντας την περιήγησή σας, συναινείτε στη χρήση cookies στον περιηγητή σας.
Αρχική Forum
Ρωτήστε κάτι
Προσωπικές Συζητήσεις
Πανελλαδικές
Αγγελίες
Συνδεδεμένοι Χρήστες
Λίστα Αποκλεισμένων
Υπεύθυνοι του Forum
e-steki


