ιωαννηs
Επιφανές μέλος
Ο ιωαννηs αυτή τη στιγμή δεν είναι συνδεδεμένος. Είναι 25 ετών, Φοιτητής του τμήματος Πρόγραμμα Ιερατικών Σπουδών και μας γράφει από Πειραιάς (Αττική). Έχει γράψει 15.275 μηνύματα.
14-09-23
19:48
Αυτόματη ένωση συνεχόμενων μηνυμάτων:
eukleidhs1821
Διάσημο μέλος
Ο eukleidhs1821 αυτή τη στιγμή δεν είναι συνδεδεμένος. Είναι Πτυχιούχος του τμήματος Ιατρικής Ιωαννίνων (Ιωάννινα) και μας γράφει από Καινούργιο (Ηράκλειο). Έχει γράψει 3.965 μηνύματα.
14-09-23
20:01
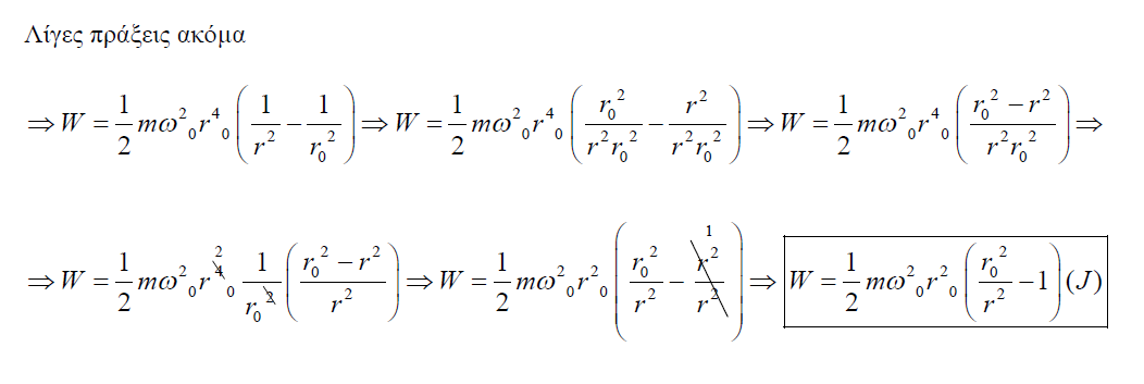
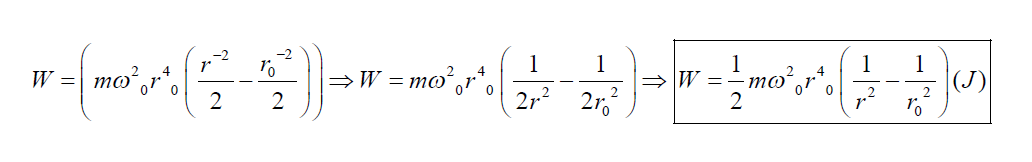
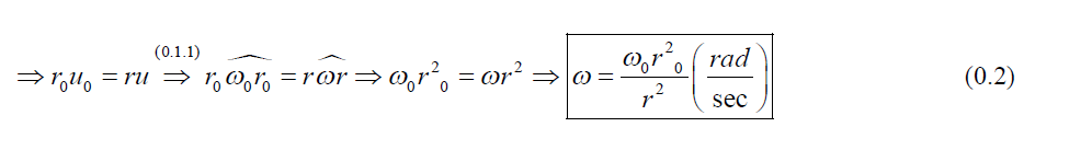
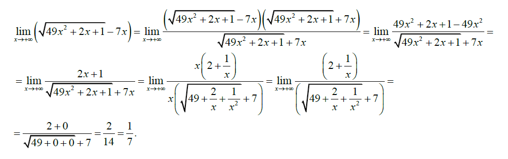
το πρωτο οριο δεν χρειαζονται ολα αυτα!ειναι γνωστο οτι το οριο στο +-00 μιας ρητης συναρτησης ειναι το οριο του πηλικου μεγιστοβαθμιων ορων.View attachment 121796
View attachment 121797
View attachment 121798
View attachment 121799
Αυτόματη ένωση συνεχόμενων μηνυμάτων:
View attachment 121800
View attachment 121801
View attachment 121802
ιωαννηs
Επιφανές μέλος
Ο ιωαννηs αυτή τη στιγμή δεν είναι συνδεδεμένος. Είναι 25 ετών, Φοιτητής του τμήματος Πρόγραμμα Ιερατικών Σπουδών και μας γράφει από Πειραιάς (Αττική). Έχει γράψει 15.275 μηνύματα.
14-09-23
20:05
Ευχαριστω πολυ που βασανιζεις το ειναι σου και τα διαβαζεις.το πρωτο οριο δεν χρειαζονται ολα αυτα!ειναι γνωστο οτι το οριο στο +-00 μιας ρητης συναρτησης ειναι το οριο του πηλικου μεγιστοβαθμιων ορων.
Ωχ ναι....
ε καλα πες το στο δασκαλο εσυ να φας καπαμα...καλα ενταξει μαζι θα τον φαμε
eukleidhs1821
Διάσημο μέλος
Ο eukleidhs1821 αυτή τη στιγμή δεν είναι συνδεδεμένος. Είναι Πτυχιούχος του τμήματος Ιατρικής Ιωαννίνων (Ιωάννινα) και μας γράφει από Καινούργιο (Ηράκλειο). Έχει γράψει 3.965 μηνύματα.
14-09-23
20:07
Ενταξει μωρε που να θυμασαι αν εχεις να ασχοληθεις χρονια.Ουσιαστικα αυτο που κανεις αποδεικνυεις αυτο που ειναι γνωστο και το παιρνουν ετοιμο σαν θεωρια.Μιας και εισαι στο πολυτεχνειο βαλε κανα ψαγμενο οριο που να βγαινει με ορισμο δ και ε να χει ενδιαφερον.Ωχ ναι....
ε καλα πες το στο δασκαλο εσυ να φας καπαμα...καλα ενταξει μαζι θα τον φαμε
Αυτόματη ένωση συνεχόμενων μηνυμάτων:
Το τριτο οριο που βαλες ειναι ωραια σαν τακτικη και παροτι ολοι το δουλευουν μου κανει εντυπωση οτι δεν εχει τεθει στις πανελλαδικες
ιωαννηs
Επιφανές μέλος
Ο ιωαννηs αυτή τη στιγμή δεν είναι συνδεδεμένος. Είναι 25 ετών, Φοιτητής του τμήματος Πρόγραμμα Ιερατικών Σπουδών και μας γράφει από Πειραιάς (Αττική). Έχει γράψει 15.275 μηνύματα.
14-09-23
20:15
Αυτες τις ταρζανιες τις κανεται εσεις ..εμεις σεβομαστε τα μαθηματικαΕνταξει μωρε που να θυμασαι αν εχεις να ασχοληθεις χρονια.Ουσιαστικα αυτο που κανεις αποδεικνυεις αυτο που ειναι γνωστο και το παιρνουν ετοιμο σαν θεωρια.Μιας και εισαι στο πολυτεχνειο βαλε κανα ψαγμενο οριο που να βγαινει με ορισμο δ και ε να χει ενδιαφερον.
Αυτόματη ένωση συνεχόμενων μηνυμάτων:
Το τριτο οριο που βαλες ειναι ωραια σαν τακτικη και παροτι ολοι το δουλευουν μου κανει εντυπωση οτι δεν εχει τεθει στις πανελλαδικες
Εχω αλλα διεγερτικα να βαλω αμα θες ...αλλα εχω θεμα..ξεφεύγουν απο το λυκειο
τι να κανω..τι λες?
Samael
Τιμώμενο Μέλος
Ο Samael αυτή τη στιγμή δεν είναι συνδεδεμένος. Είναι 26 ετών, Πτυχιούχος του τμήματος Ηλεκτρολόγων & Ηλεκτρονικών Μηχανικών ΠΑΔΑ και μας γράφει από Πειραιάς (Αττική). Έχει γράψει 12.075 μηνύματα.
14-09-23
21:00
Και απο το πανεπιστήμιο να μην ξεφεύγουν και καλά θα είμαστε πιστεύω , βάζεΕχω αλλα διεγερτικα να βαλω αμα θες ...αλλα εχω θεμα..ξεφεύγουν απο το λυκειο
.
Αυτόματη ένωση συνεχόμενων μηνυμάτων:
Μικρό side note . Το θέμα δεν είναι υποχρεωτικό να αφορά θέματα του λυκείου . Ίσα ίσα προσωπικά θα με χαροποιούσε ιδιαίτερα να βλέπω και θέματα εκτός του λυκείου και όσο γίνεται πρακτικά . Φυσικά εαν θέλετε να βάλετε έξυπνα προβλήματα που απευθύνονται καθαρά σε λύκειο και έχουν κάποια ιδιαιτερότητα you're more than welcome . Στην περίπτωση που κάτι ξεφεύγει απο το λύκειο , καλό θα ήταν να κάνετε μια μικρή εισαγωγή σε οποιαδήποτε γνώση θεωρείτε οτι χρειάζεται , στον βαθμό που είναι εφικτό φυσικά , ώστε να είναι όσο γίνεται πιο κατανοητά τα πρβολήματα και σε παιδιά του λυκείου . Άλλωστε δεν κρύβω πως θα ήταν πολύ ωραίο να αποτελούσε έμπνευση το θέμα για τους νέους υποψηφίους έτσι ώστε να προβληματιστούν και να ψάξουν καλύτερες και σχολές .
ιωαννηs
Επιφανές μέλος
Ο ιωαννηs αυτή τη στιγμή δεν είναι συνδεδεμένος. Είναι 25 ετών, Φοιτητής του τμήματος Πρόγραμμα Ιερατικών Σπουδών και μας γράφει από Πειραιάς (Αττική). Έχει γράψει 15.275 μηνύματα.
14-09-23
21:30
Αυτόματη ένωση συνεχόμενων μηνυμάτων:
Αυτόματη ένωση συνεχόμενων μηνυμάτων:
Dias
Επιφανές μέλος
Ο Dias αυτή τη στιγμή δεν είναι συνδεδεμένος. Είναι Καθηγητής κι έχει σπουδάσει στο τμήμα Φυσικής ΕΚΠΑ (Αθήνα). Έχει γράψει 10.664 μηνύματα.
14-09-23
22:10
Η άσκηση 4, λύνεται και με γνώσεις Γ' γυμνασίου:
ιωαννηs
Επιφανές μέλος
Ο ιωαννηs αυτή τη στιγμή δεν είναι συνδεδεμένος. Είναι 25 ετών, Φοιτητής του τμήματος Πρόγραμμα Ιερατικών Σπουδών και μας γράφει από Πειραιάς (Αττική). Έχει γράψει 15.275 μηνύματα.
15-09-23
00:09
Αυτόματη ένωση συνεχόμενων μηνυμάτων:
Εδω εχουμε μια κλασσικη ασκηση και του λυκειου φυσικα.
Micro
Συντονιστής
Ο Micro αυτή τη στιγμή δεν είναι συνδεδεμένος. Είναι Φοιτητής. Έχει γράψει 6.192 μηνύματα.
15-09-23
00:24
Είπα να ρίξω μια ματιά τι λέτε εδώ και με έπιασε ptsd
@γιαννης_00 ωραίες ασκησουλες φτιάχνεις , έχεις ασχοληθεί με την εκπαίδευση ;
@γιαννης_00 ωραίες ασκησουλες φτιάχνεις , έχεις ασχοληθεί με την εκπαίδευση ;
ιωαννηs
Επιφανές μέλος
Ο ιωαννηs αυτή τη στιγμή δεν είναι συνδεδεμένος. Είναι 25 ετών, Φοιτητής του τμήματος Πρόγραμμα Ιερατικών Σπουδών και μας γράφει από Πειραιάς (Αττική). Έχει γράψει 15.275 μηνύματα.
15-09-23
00:29
Αυτόματη ένωση συνεχόμενων μηνυμάτων:
μπα οχι...δεν το 'χω ειμαι νευρικοςΕίπα να ρίξω μια ματιά τι λέτε εδώ και με έπιασε ptsd
@γιαννης_00 ωραίες ασκησουλες φτιάχνεις , έχεις ασχοληθεί με την εκπαίδευση ;
τι ειναι ptsd?..καλο ειναι?
Micro
Συντονιστής
Ο Micro αυτή τη στιγμή δεν είναι συνδεδεμένος. Είναι Φοιτητής. Έχει γράψει 6.192 μηνύματα.
15-09-23
00:38
Δεν πιστεύω ότι είσαι νευρικός , φαίνεται ότι έχεις υπομονή από την βοήθεια που δίνεις στα παιδιά εδώ μέσαΑυτόματη ένωση συνεχόμενων μηνυμάτων:
μπα οχι...δεν το 'χω ειμαι νευρικος
τι ειναι ptsd?..καλο ειναι?
ιωαννηs
Επιφανές μέλος
Ο ιωαννηs αυτή τη στιγμή δεν είναι συνδεδεμένος. Είναι 25 ετών, Φοιτητής του τμήματος Πρόγραμμα Ιερατικών Σπουδών και μας γράφει από Πειραιάς (Αττική). Έχει γράψει 15.275 μηνύματα.
15-09-23
02:16
καλος γιατρος θα γινεις ...χρησιμοςΔεν πιστεύω ότι είσαι νευρικός , φαίνεται ότι έχεις υπομονή από την βοήθεια που δίνεις στα παιδιά εδώ μέσα
Cade
Πολύ δραστήριο μέλος
Ο Cade αυτή τη στιγμή δεν είναι συνδεδεμένος. Είναι Απόφοιτος λυκείου. Έχει γράψει 871 μηνύματα.
15-09-23
03:19
Έστω κυρτή συνάρτηση f: R->R, τέτοια, ώστε να υπάρχουν a, b στο R με a<b και
Να δείξετε ότι η f έχει ελάχιστη τιμή, η οποία είναι αρνητική.
Να δείξετε ότι η f έχει ελάχιστη τιμή, η οποία είναι αρνητική.
love_to_learn
Νεοφερμένο μέλος
Ο love_to_learn αυτή τη στιγμή δεν είναι συνδεδεμένος. Είναι 25 ετών και Πτυχιούχος του τμήματος Πολιτικών Μηχανικών Πατρών. Έχει γράψει 25 μηνύματα.
15-09-23
13:24
τι σπουδάζεις αν επιτρέπεται;;View attachment 121849
View attachment 121850
View attachment 121851
View attachment 121852
View attachment 121853
View attachment 121854
View attachment 121855
View attachment 121856
View attachment 121857
View attachment 121858
Αυτόματη ένωση συνεχόμενων μηνυμάτων:
μπα οχι...δεν το 'χω ειμαι νευρικος
τι ειναι ptsd?..καλο ειναι?
ιωαννηs
Επιφανές μέλος
Ο ιωαννηs αυτή τη στιγμή δεν είναι συνδεδεμένος. Είναι 25 ετών, Φοιτητής του τμήματος Πρόγραμμα Ιερατικών Σπουδών και μας γράφει από Πειραιάς (Αττική). Έχει γράψει 15.275 μηνύματα.
15-09-23
13:26
Φυσικη ειθελα... αλλα ηλεκρολογος..εχει λενε δουλεια.τι σπουδάζεις αν επιτρέπεται;;
και πραγματι με προσελαβαν.
love_to_learn
Νεοφερμένο μέλος
Ο love_to_learn αυτή τη στιγμή δεν είναι συνδεδεμένος. Είναι 25 ετών και Πτυχιούχος του τμήματος Πολιτικών Μηχανικών Πατρών. Έχει γράψει 25 μηνύματα.
15-09-23
14:10
Οι ηλεκτρολόγοι λένε ότι μυρίζουν, ισχύει;;Φυσικη ειθελα... αλλα ηλεκρολογος..εχει λενε δουλεια.
και πραγματι με προσελαβαν.

ιωαννηs
Επιφανές μέλος
Ο ιωαννηs αυτή τη στιγμή δεν είναι συνδεδεμένος. Είναι 25 ετών, Φοιτητής του τμήματος Πρόγραμμα Ιερατικών Σπουδών και μας γράφει από Πειραιάς (Αττική). Έχει γράψει 15.275 μηνύματα.
15-09-23
14:47
ε βεβαια δεν πλένονται γιατι το νερο τους βραχυκυκλωνειΟι ηλεκτρολόγοι λένε ότι μυρίζουν, ισχύει;;![]()
που να ξερω ρε μπρο?..η σχολη παντως μυριζει λεμοναθο
Dias
Επιφανές μέλος
Ο Dias αυτή τη στιγμή δεν είναι συνδεδεμένος. Είναι Καθηγητής κι έχει σπουδάσει στο τμήμα Φυσικής ΕΚΠΑ (Αθήνα). Έχει γράψει 10.664 μηνύματα.
15-09-23
17:30
Μια ξανθιά, μια μέρα με καύσωνα άνοιξε την πόρτα του ψυγείου και κάθισε εκεί για να δροσίζεται. Τι λέτε; Κατάφερε να δροσιστεί ή όχι;
eukleidhs1821
Διάσημο μέλος
Ο eukleidhs1821 αυτή τη στιγμή δεν είναι συνδεδεμένος. Είναι Πτυχιούχος του τμήματος Ιατρικής Ιωαννίνων (Ιωάννινα) και μας γράφει από Καινούργιο (Ηράκλειο). Έχει γράψει 3.965 μηνύματα.
15-09-23
18:58
Ποοο ασκησαρα για δ3!!!Καταρχην εκμεταλλευεσαι την κυρτη συναρτηση και την ιδιοτητα την εφαπτομενης.Έστω κυρτή συνάρτηση f: R->R, τέτοια, ώστε να υπάρχουν a, b στο R με a<b καιView attachment 121867
Να δείξετε ότι η f έχει ελάχιστη τιμή, η οποία είναι αρνητική.
Εφαπτομενη στο (α,f(a).f(x)>=f(a)+f'(a)(x-a) για καθε χ στο R με την ισοτητα μονο για χ=α.
Βαζεις οπου χ το f(b)+a και εχεις f(f(b)+a)>=f(a)+f'(a)f(b) (1)
Oμοια για την εφαπτομενη στο (β,f(b) f(x)>=f(b)+f'(b)(x-b) για καθε χ στο R με την ισοτητα μονο για χ=b.
Βαζεις οπου χ το f(a)+b και εχεις f(f(a)+b)>=f(b)+f'(b)f(a) (2)
Προσθετεις κατα μελη τις (1) και (2) και δημιουργειται η σχεση f(f(b)+a)+ f(f(a)+b)>=f(a)+f'(a)f(b)+f(b)+f'(b)f(a)
H σχεση αυτη ισχυει ως ισοτητα επομενως για να ισχυει ως ισοτητα πρεπει f(a)+b=b f(a)=0 και f(b)+a=a f(b)=0
Aρα βγαλαμε οτι f(a)=f(b)=0 επομενως η ασκηση λυθηκε επι της ουσιας.
Κανουμε rolle στο [a,b] κατα τα γνωστα και εχουμε ξ στο (α,β) f'(ξ)=0
Εφοσον f κυρτη η f' ειναι γν αυξουσα αρα χ<ξ f'(x)<0 x>ξ f'(x)>0 αρα αποδεικνυουμε οτι το ξ ειναι θεση ελαχιστου της f. Παμε τωρα να βγαλουμε και την αρνητικοτητα του f(ξ). Στο [α,ξ] ειναι γν φθινουσα.
α<ξ f(ξ)<f(a)=0 αρα f(ξ)<0.
Χρήστες Βρείτε παρόμοια
-
Τα παρακάτω 0 μέλη και 1 επισκέπτες διαβάζουν μαζί με εσάς αυτό το θέμα:Tα παρακάτω 277 μέλη διάβασαν αυτό το θέμα:
- ChrisG152
- ether--net
- Hased Babis
- GNick06
- Marildrea
- globglogabgalab
- Georgiaaa_
- Bonaparte
- Ilias__
- Kabamaru Hayate
- panosalex7
- eukleidhs1821
- SlimShady
- jYanniss
- Drscientist
- Corfu kitty
- bak07
- Kate1914
- aris65
- jellojina
- Unboxholics
- sakplat
- Chrisphys
- bigguy
- kelyphos
- love_to_learn
- tsiobieman
- Wonderkid
- Tolis211
- suaimhneas
- Indecisive2
- madness83828
- bibliofagos
- Hecticism
- ggl
- panosT436
- rseven
- Debugging_Demon
- andromaxh07
- Scandal
- georgetherrr
- antonis97
- BatGuin
- thesmilingchild
- iiTzArismaltor_
- Μήτσος10
- Orfano
- charmander
- eirinipap
- exotic xo
- Giorgosvr
- Qwerty 0
- Than003
- angela_k
- Jomo
- Joji
- kost28
- redpointer
- Albert.123
- Leo komm
- P.Dam.
- Steliosgkougkou
- chjan
- Evangeloz
- wmaria
- Maynard
- χημεια4λαιφ
- donut_daddy
- marikakitsou16
- physicscrazy
- Lia 2006
- chester20080
- panaman
- Msp1
- Sotis
- mirara
- melver
- grad778
- nickd
- V@Per
- ssalex
- catlover033
- carnage
- Μιχαήλ
- vas2017
- beatrixx
- phleidhs
- gegeorgiou90
- Dr. Gl. Luminous
- agg41
- thepigod762
- Helen06
- math2arch
- MrDragonboy
- chrismpd
- bill09876
- Paragontas7000
- ikigai
- Marel
- soleilst
- Startx0
- marilenaaa
- EllieKal
- gzois
- EFAKIT
- Φινεύς
- estrela
- Lifelong Learner
- Annie
- Panatha mono
- Mitsaras23
- Isa
- BiteTheDust
- Chris180
- aplalew
- user111
- Chemwizard
- giannhs2001
- Mukumbura
- MR WHITE
- SIAmia
- supertom4000
- J.Cameron
- persour
- Totreno
- sotirislk
- Specon
- Mariosm.
- Claire05
- Giorgos216
- Jimpower
- shezza94
- kwstasloul
- kan3nas
- dmav
- Obi-Wan Kenobi
- Nancysmilkyway
- Νομάρχης
- ogigidi
- ένας τυχαίος
- Hmmytheos
- constansn
- cannot_log_in
- hello1234
- ilal1200
- Alessandra Eliza
- Giannis327
- phoni
- aggorf
- Nala
- Frozensun
- xrisamikol
- Ilovemycats27
- PanosApo
- nik64
- angies
- dimitris_eee
- mike19
- angeloskar
- eltqt
- CrusaderKingsIII
- flaura
- elevag
- Patroklos
- Anonymous1
- IcedBreaje
- kiyoshi
- nicole1982
- Lost_In_Life
- Γατέχων
- AggelikiGr
- Nansytsg
- Lathy
- k4t
- Maria_Xagorari
- suuuuiiii
- SoyN
- thecrazycretan
- Jesse_
- A350
- Ιωάννης1234
- george777
- Abiogenesis
- Enhypen
- Mary06
- arko
- Giorgkalo
- velentzakoss
- Giota_pel
- AnnaRd
- Νικολινα
- NikNik1995
- BillyTheKid
- Nick_nt
- a namaves
- xristarac
- ilovekpop
- GeorgePap2003
- Sofos Gerontas
- topg
- Γιώτα Γιαννακού
- plantbee
- Peter Pan13
- Ness
- MrDna
- Jojo K
- Mewmaw
-
Φορτώνει...
-
Το forum μας χρησιμοποιεί cookies για να βελτιστοποιήσει την εμπειρία σας.
Συνεχίζοντας την περιήγησή σας, συναινείτε στη χρήση cookies στον περιηγητή σας.
Αρχική Forum
Ρωτήστε κάτι
Προσωπικές Συζητήσεις
Πανελλαδικές
Αγγελίες
Συνδεδεμένοι Χρήστες
Λίστα Αποκλεισμένων
Υπεύθυνοι του Forum
e-steki
