ιωαννηs
Επιφανές μέλος
Ο ιωαννηs αυτή τη στιγμή δεν είναι συνδεδεμένος. Είναι 25 ετών, Φοιτητής του τμήματος Πρόγραμμα Ιερατικών Σπουδών και μας γράφει από Πειραιάς (Αττική). Έχει γράψει 15.424 μηνύματα.
16-11-23
09:22
Επιλυση πολυ μεγαλου συστηματος..αυτα ειναι πολυ μεγαλα για το μυαλο και τα λυνουν οι κομπιουτεραδες με την μεθοδο των πινακων και την αλγεβρα τους,γιατι με το μυαλο το λαθος παραμονευει
και εγω βεβαια το τερματισα σε βαρεμαρα
Σημ* Διαγωνιο πινακα λεμε εκεινο που τα στοιχεια κατω και πανω απο την διαγωνιο ειναι μηδεν
και εγω βεβαια το τερματισα σε βαρεμαρα
Σημ* Διαγωνιο πινακα λεμε εκεινο που τα στοιχεια κατω και πανω απο την διαγωνιο ειναι μηδεν
Dias
Επιφανές μέλος
Ο Dias αυτή τη στιγμή δεν είναι συνδεδεμένος. Είναι Καθηγητής κι έχει σπουδάσει στο τμήμα Φυσικής ΕΚΠΑ (Αθήνα). Έχει γράψει 10.743 μηνύματα.
16-11-23
19:46
Πανελλήνιες 2005. Πανικός. Το 4ο θέμα δεν μπορεί να χαρακτηριστεί "δύσκολο", όμως ήθελε ένα διαφορετικό τρόπο σκέψης από αυτόν που είχαν συνηθίσει οι τότε υποψήφιοι. Το να μην είναι η θερμότητα απώλεια και τι σημαίνει να είναι ένα κλάσμα ίσο με μηδέν δεν ήταν οικεία για τελειόφοιτο λυκείου. Αργότερα μαθεύτηκε ότι τα θέματα τα έβαλε πανεπιστημιακός καθηγητής. Τώρα έχουν κυκλοφορήσει αρκετά τέτοια προβλήματα και σήμερα ένα τέτοιο θέμα δεν θα ήταν δυσάρεστη έκπληξη. Η άσκηση είναι στην κρούση και μπορεί να λυθεί και από μαθητές της Γ, αλλά και της Β λυκείου. Απολαύστε την...
ΛΥΣΗ
ΛΥΣΗ
eukleidhs1821
Διάσημο μέλος
Ο eukleidhs1821 αυτή τη στιγμή δεν είναι συνδεδεμένος. Είναι Πτυχιούχος του τμήματος Ιατρικής Ιωαννίνων (Ιωάννινα) και μας γράφει από Καινούργιο (Ηράκλειο). Έχει γράψει 3.965 μηνύματα.
16-11-23
20:50
Ποοοο τριτη γυμνασιου πηγαινα το 2005 και θυμαμαι τι μαυρο δακρυ ειχε πεσει τοτε με αυτο το θεμα.Πρεπει να σημειωθηκε ιστορικο αρνητικο ρεκορ στη φυσικη.....Θυμαμαι οτι το 95% δεν το ελυσε και εφτανε με βαθμολογιες μεχρι το 15.Πανελλήνιες 2005. Πανικός. Το 4ο θέμα δεν μπορεί να χαρακτηριστεί "δύσκολο", όμως ήθελε ένα διαφορετικό τρόπο σκέψης από αυτόν που είχαν συνηθίσει οι τότε υποψήφιοι. Το να μην είναι η θερμότητα απώλεια και τι σημαίνει να είναι ένα κλάσμα ίσο με μηδέν δεν ήταν οικεία για τελειόφοιτο λυκείου. Αργότερα μαθεύτηκε ότι τα θέματα τα έβαλε πανεπιστημιακός καθηγητής. Τώρα έχουν κυκλοφορήσει αρκετά τέτοια προβλήματα και σήμερα ένα τέτοιο θέμα δεν θα ήταν δυσάρεστη έκπληξη. Η άσκηση είναι στην κρούση και μπορεί να λυθεί και από μαθητές της Γ, αλλά και της Β λυκείου. Απολαύστε την...
Dias
Επιφανές μέλος
Ο Dias αυτή τη στιγμή δεν είναι συνδεδεμένος. Είναι Καθηγητής κι έχει σπουδάσει στο τμήμα Φυσικής ΕΚΠΑ (Αθήνα). Έχει γράψει 10.743 μηνύματα.
17-11-23
10:56
Κλασική ασκησούλα για Α λυκείου...
ΛΥΣΗ
ΛΥΣΗ
eukleidhs1821
Διάσημο μέλος
Ο eukleidhs1821 αυτή τη στιγμή δεν είναι συνδεδεμένος. Είναι Πτυχιούχος του τμήματος Ιατρικής Ιωαννίνων (Ιωάννινα) και μας γράφει από Καινούργιο (Ηράκλειο). Έχει γράψει 3.965 μηνύματα.
17-11-23
18:08
Απο περιεργεια το εχουν στην υλη τους το κριτηριο της δευτερης παραγωγου στη γ λυκειου??Γτ θυμαμαι σε πανεπιστημιακο επιπεδο χρησιμοποιειται κατα κορον
Cade
Πολύ δραστήριο μέλος
Ο Cade αυτή τη στιγμή δεν είναι συνδεδεμένος. Είναι Απόφοιτος λυκείου. Έχει γράψει 872 μηνύματα.
18-11-23
01:33
Είναι εκτόςΑπο περιεργεια το εχουν στην υλη τους το κριτηριο της δευτερης παραγωγου στη γ λυκειου?
ιωαννηs
Επιφανές μέλος
Ο ιωαννηs αυτή τη στιγμή δεν είναι συνδεδεμένος. Είναι 25 ετών, Φοιτητής του τμήματος Πρόγραμμα Ιερατικών Σπουδών και μας γράφει από Πειραιάς (Αττική). Έχει γράψει 15.424 μηνύματα.
18-11-23
09:26
Οταν τα μαθηματικα θελουν να ειναι απλα και γλυκα ..δηλαδη εκει που ανοικουν.
Ευρεση ογκου με την μεθοδο μπαλαρινα ( περιστροφη)
Ευρεση ογκου με την μεθοδο μπαλαρινα ( περιστροφη)
Dias
Επιφανές μέλος
Ο Dias αυτή τη στιγμή δεν είναι συνδεδεμένος. Είναι Καθηγητής κι έχει σπουδάσει στο τμήμα Φυσικής ΕΚΠΑ (Αθήνα). Έχει γράψει 10.743 μηνύματα.
18-11-23
16:45
Κάτι πιο δύσκολο;
ΛΥΣΗ
ΛΥΣΗ
ιωαννηs
Επιφανές μέλος
Ο ιωαννηs αυτή τη στιγμή δεν είναι συνδεδεμένος. Είναι 25 ετών, Φοιτητής του τμήματος Πρόγραμμα Ιερατικών Σπουδών και μας γράφει από Πειραιάς (Αττική). Έχει γράψει 15.424 μηνύματα.
19-11-23
10:32
Το ερωτημα β) εχει απαντηθει με ενα μη ανεκτο λαθος στην διαδικασια αν και σωθηκε στο τελος ..μην το κανεται στις εξετασεις θα πατε κουβα.
Dias
Επιφανές μέλος
Ο Dias αυτή τη στιγμή δεν είναι συνδεδεμένος. Είναι Καθηγητής κι έχει σπουδάσει στο τμήμα Φυσικής ΕΚΠΑ (Αθήνα). Έχει γράψει 10.743 μηνύματα.
19-11-23
12:50
ΛΥΣΗ
ιωαννηs
Επιφανές μέλος
Ο ιωαννηs αυτή τη στιγμή δεν είναι συνδεδεμένος. Είναι 25 ετών, Φοιτητής του τμήματος Πρόγραμμα Ιερατικών Σπουδών και μας γράφει από Πειραιάς (Αττική). Έχει γράψει 15.424 μηνύματα.
20-11-23
02:55
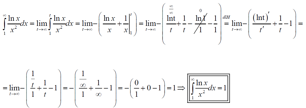
Γενικευμενο ολοκληρωμα ...συμπραξη ορισμενου ολοκληρωματος και οριου..( γιατι τα θελουμε δεν ξερω).
Σημ* Γενικευμενο ολοκληρωμα α ειδους ειναι αυτο που τα ορια του εχουν και το απειρο μεσα
Γενικευμενο ολοκληρωμα β ειδους ειναι αυτο που τα ορια του ειναι αριθμοι.
Συγκλινει σημαινει οτι το οριο του ειναι αριθμος ...αν ειναι απειρο δεν συγκλινει
Σημ* Γενικευμενο ολοκληρωμα α ειδους ειναι αυτο που τα ορια του εχουν και το απειρο μεσα
Γενικευμενο ολοκληρωμα β ειδους ειναι αυτο που τα ορια του ειναι αριθμοι.
Συγκλινει σημαινει οτι το οριο του ειναι αριθμος ...αν ειναι απειρο δεν συγκλινει
Αυτόματη ένωση συνεχόμενων μηνυμάτων:
Ειναι ωραια τελικα η ηλεκτρολογια
eukleidhs1821
Διάσημο μέλος
Ο eukleidhs1821 αυτή τη στιγμή δεν είναι συνδεδεμένος. Είναι Πτυχιούχος του τμήματος Ιατρικής Ιωαννίνων (Ιωάννινα) και μας γράφει από Καινούργιο (Ηράκλειο). Έχει γράψει 3.965 μηνύματα.
20-11-23
11:11
Χωρις να τα υπολογιζεις παντως υπαρχουν καποια κριτηρια τα οποια σου λενε αν συγκλινει ή αποκλινει ενα γενικευμενο ολοκληρωμαΓενικευμενο ολοκληρωμα ...συμπραξη ορισμενου ολοκληρωματος και οριου..( γιατι τα θελουμε δεν ξερω).
Σημ* Γενικευμενο ολοκληρωμα α ειδους ειναι αυτο που τα ορια του εχουν και το απειρο μεσα
Γενικευμενο ολοκληρωμα β ειδους ειναι αυτο που τα ορια του ειναι αριθμοι.
Συγκλινει σημαινει οτι το οριο του ειναι αριθμος ...αν ειναι απειρο δεν συγκλινει
View attachment 125767
Αυτόματη ένωση συνεχόμενων μηνυμάτων:
Ειναι ωραια τελικα η ηλεκτρολογια
Dias
Επιφανές μέλος
Ο Dias αυτή τη στιγμή δεν είναι συνδεδεμένος. Είναι Καθηγητής κι έχει σπουδάσει στο τμήμα Φυσικής ΕΚΠΑ (Αθήνα). Έχει γράψει 10.743 μηνύματα.
20-11-23
11:48
ΛΥΣΗ
eukleidhs1821
Διάσημο μέλος
Ο eukleidhs1821 αυτή τη στιγμή δεν είναι συνδεδεμένος. Είναι Πτυχιούχος του τμήματος Ιατρικής Ιωαννίνων (Ιωάννινα) και μας γράφει από Καινούργιο (Ηράκλειο). Έχει γράψει 3.965 μηνύματα.
20-11-23
11:52
Νομος ιδανικων αεριων!!!Ποσα χρονια πισω με γυρισες!Κανε και ενα νομο snell τωρα
Dias
Επιφανές μέλος
Ο Dias αυτή τη στιγμή δεν είναι συνδεδεμένος. Είναι Καθηγητής κι έχει σπουδάσει στο τμήμα Φυσικής ΕΚΠΑ (Αθήνα). Έχει γράψει 10.743 μηνύματα.
20-11-23
13:46
Νομίζεις ότι δεν έχω;Κανε και ενα νομο snell τωρα
ΛΥΣΗ
eukleidhs1821
Διάσημο μέλος
Ο eukleidhs1821 αυτή τη στιγμή δεν είναι συνδεδεμένος. Είναι Πτυχιούχος του τμήματος Ιατρικής Ιωαννίνων (Ιωάννινα) και μας γράφει από Καινούργιο (Ηράκλειο). Έχει γράψει 3.965 μηνύματα.
20-11-23
15:17
αυτος ο νομος για καποιον λογο παντα μου αρεσε οταν τον διαβαζα τοτε!Ισως επειδη ειχε ημιτονα ηταν κατι ξεχωριστο για φυσικηΝομίζεις ότι δεν έχω;
Dias
Επιφανές μέλος
Ο Dias αυτή τη στιγμή δεν είναι συνδεδεμένος. Είναι Καθηγητής κι έχει σπουδάσει στο τμήμα Φυσικής ΕΚΠΑ (Αθήνα). Έχει γράψει 10.743 μηνύματα.
20-11-23
15:25
Οι πιο πολλοί μαθητές μισούσαν την Οπτική, γιατί ήθελε άψογα σχήματα και βασικές γνώσεις Γεωμετρίας. Εμένα ήταν το πιο αγαπημένο μου κομμάτι της Φυσικής. Τώρα (νομίζω) έχει (δυστυχώς) βγει από την ύλη των πανελληνίων.αυτος ο νομος για καποιον λογο παντα μου αρεσε οταν τον διαβαζα τοτε!Ισως επειδη ειχε ημιτονα ηταν κατι ξεχωριστο για φυσικη
eukleidhs1821
Διάσημο μέλος
Ο eukleidhs1821 αυτή τη στιγμή δεν είναι συνδεδεμένος. Είναι Πτυχιούχος του τμήματος Ιατρικής Ιωαννίνων (Ιωάννινα) και μας γράφει από Καινούργιο (Ηράκλειο). Έχει γράψει 3.965 μηνύματα.
20-11-23
15:38
To 2007 ειχε πεσει ερωτημα κρισεως στο β θεμα περι ηλιου που κοιταει ο ανθρωπος και οτι το ανθρωπινο ματι κοιταει ευθυγραμμα και δεν το λυσε κανεις.....Οι πιο πολλοί μαθητές μισούσαν την Οπτική, γιατί ήθελε άψογα σχήματα και βασικές γνώσεις Γεωμετρίας. Εμένα ήταν το πιο αγαπημένο μου κομμάτι της Φυσικής. Τώρα (νομίζω) έχει (δυστυχώς) βγει από την ύλη των πανελληνίων.
Dias
Επιφανές μέλος
Ο Dias αυτή τη στιγμή δεν είναι συνδεδεμένος. Είναι Καθηγητής κι έχει σπουδάσει στο τμήμα Φυσικής ΕΚΠΑ (Αθήνα). Έχει γράψει 10.743 μηνύματα.
20-11-23
16:07
Πράγματι. Να το:
Πανεύκολο, κι όμως είχε αρκετή αποτυχία. Το παν ήταν το σχήμα.
Είχα μάθει ότι πάρα πολλοί έκαναν ανάποδα την πορεία του φωτός, δηλαδή από το μάτι προς τον ήλιο!!!!
Η Οπτική ήταν στην ύλη πολλά χρόνια. Όμως, 3ο ή 4ο θέμα από Οπτική δεν έβαλαν ποτέ.
Η Οπτική ήταν στην ύλη πολλά χρόνια. Όμως, 3ο ή 4ο θέμα από Οπτική δεν έβαλαν ποτέ.
Χρήστες Βρείτε παρόμοια
-
Τα παρακάτω 0 μέλη και 2 επισκέπτες διαβάζουν μαζί με εσάς αυτό το θέμα:Tα παρακάτω 278 μέλη διάβασαν αυτό το θέμα:
- Cocobolo
- Salomon Jonas
- many of Filip
- ChrisG152
- ether--net
- Hased Babis
- GNick06
- Marildrea
- globglogabgalab
- Georgiaaa_
- Bonaparte
- Ilias__
- Kabamaru Hayate
- panosalex7
- eukleidhs1821
- SlimShady
- jYanniss
- Drscientist
- Corfu kitty
- bak07
- Kate1914
- aris65
- jellojina
- Unboxholics
- sakplat
- Chrisphys
- bigguy
- love_to_learn
- tsiobieman
- Wonderkid
- Tolis211
- suaimhneas
- Indecisive2
- bibliofagos
- Hecticism
- ggl
- panosT436
- rseven
- Debugging_Demon
- andromaxh07
- Scandal
- georgetherrr
- antonis97
- BatGuin
- thesmilingchild
- iiTzArismaltor_
- Μήτσος10
- Orfano
- charmander
- eirinipap
- exotic xo
- Giorgosvr
- Qwerty 0
- Than003
- angela_k
- Jomo
- Joji
- kost28
- redpointer
- Albert.123
- Leo komm
- P.Dam.
- Steliosgkougkou
- chjan
- Evangeloz
- wmaria
- Maynard
- χημεια4λαιφ
- donut_daddy
- marikakitsou16
- physicscrazy
- Lia 2006
- chester20080
- panaman
- Msp1
- Sotis
- mirara
- melver
- grad778
- nickd
- V@Per
- ssalex
- catlover033
- carnage
- Μιχαήλ
- vas2017
- beatrixx
- phleidhs
- gegeorgiou90
- Dr. Gl. Luminous
- agg41
- thepigod762
- Helen06
- math2arch
- MrDragonboy
- chrismpd
- bill09876
- Paragontas7000
- ikigai
- Marel
- soleilst
- Startx0
- marilenaaa
- EllieKal
- gzois
- EFAKIT
- Φινεύς
- estrela
- Lifelong Learner
- Annie
- Panatha mono
- Mitsaras23
- Isa
- BiteTheDust
- Chris180
- aplalew
- user111
- Chemwizard
- giannhs2001
- Mukumbura
- MR WHITE
- SIAmia
- supertom4000
- J.Cameron
- persour
- Totreno
- sotirislk
- Specon
- Mariosm.
- Claire05
- Giorgos216
- Jimpower
- shezza94
- kwstasloul
- kan3nas
- dmav
- Obi-Wan Kenobi
- Nancysmilkyway
- Νομάρχης
- ogigidi
- ένας τυχαίος
- Hmmytheos
- constansn
- cannot_log_in
- hello1234
- ilal1200
- Alessandra Eliza
- Giannis327
- phoni
- aggorf
- Nala
- Frozensun
- xrisamikol
- Ilovemycats27
- PanosApo
- nik64
- angies
- dimitris_eee
- mike19
- angeloskar
- eltqt
- CrusaderKingsIII
- flaura
- elevag
- Patroklos
- Anonymous1
- IcedBreaje
- kiyoshi
- nicole1982
- Lost_In_Life
- Γατέχων
- AggelikiGr
- Nansytsg
- Lathy
- k4t
- Maria_Xagorari
- suuuuiiii
- SoyN
- thecrazycretan
- Jesse_
- A350
- Ιωάννης1234
- george777
- Abiogenesis
- Enhypen
- Mary06
- arko
- Giorgkalo
- velentzakoss
- Giota_pel
- AnnaRd
- Νικολινα
- NikNik1995
- BillyTheKid
- Nick_nt
- a namaves
- xristarac
- ilovekpop
- GeorgePap2003
- Sofos Gerontas
- topg
- Γιώτα Γιαννακού
- plantbee
- Peter Pan13
- Ness
- MrDna
- Jojo K
- Mewmaw
-
Φορτώνει...
-
Το forum μας χρησιμοποιεί cookies για να βελτιστοποιήσει την εμπειρία σας.
Συνεχίζοντας την περιήγησή σας, συναινείτε στη χρήση cookies στον περιηγητή σας.
Αρχική Forum
Ρωτήστε κάτι
Προσωπικές Συζητήσεις
Πανελλαδικές
Αγγελίες
Συνδεδεμένοι Χρήστες
Λίστα Αποκλεισμένων
Υπεύθυνοι του Forum
e-steki
