Dias
Επιφανές μέλος
Ο Dias αυτή τη στιγμή δεν είναι συνδεδεμένος. Είναι Καθηγητής κι έχει σπουδάσει στο τμήμα Φυσικής ΕΚΠΑ (Αθήνα). Έχει γράψει 10.743 μηνύματα.
08-11-23
11:40
Μια ωραία (κατά τη γνώμη μου) άσκηση στις κρούσεις:
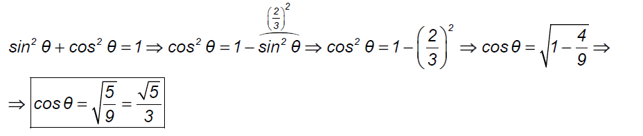
ΛΥΣΗ
ΛΥΣΗ
eukleidhs1821
Διάσημο μέλος
Ο eukleidhs1821 αυτή τη στιγμή δεν είναι συνδεδεμένος. Είναι Πτυχιούχος του τμήματος Ιατρικής Ιωαννίνων (Ιωάννινα) και μας γράφει από Καινούργιο (Ηράκλειο). Έχει γράψει 3.965 μηνύματα.
08-11-23
14:43
Γιαννη απαγορευεται να ειναι αρνητικο το ημιτονο και παιρνεις μονο τη θετικη λυση??Εκτος και εχεις ορισει που ανηκει η γωνια θ οποτε παω πασοback to school... μια κρυα νυχτα οπου τελειωσε παραδοξως η μπαταρια του casio που δεν τελειωνει ποτε
View attachment 125159
Αυτόματη ένωση συνεχόμενων μηνυμάτων:
View attachment 125164
Αυτόματη ένωση συνεχόμενων μηνυμάτων:
Γιαννη μια πιο αμεση λυση ειναι την παρασταση ημχ+συνχ=ριζα2ημ(χ+π/4)
επομενως λυνεις την ριζα2ημ(χ+π/4)=ριζα2/2 ημ(χ+π/4)=1/2
χ+π/4=2κπ+π/6 χ=2κπ-π/12
ή χ+π/4=2κπ+π-π/6=2κπ+5π/6 δηλαδη χ=2κπ+7π/12
Αρα 2 τυποι λυσεων χ=2κπ-π/2 ή χ=2κπ+7π/12
ιωαννηs
Επιφανές μέλος
Ο ιωαννηs αυτή τη στιγμή δεν είναι συνδεδεμένος. Είναι 25 ετών, Φοιτητής του τμήματος Πρόγραμμα Ιερατικών Σπουδών και μας γράφει από Πειραιάς (Αττική). Έχει γράψει 15.424 μηνύματα.
09-11-23
09:25
Ευκλειδη κατ αρχη σε ευχαριστω που τα διαβαζεις ,,οσο νανε νιωθω μια μοναξια
Τωρα για το πρωτο που λες
Γιαννη απαγορευεται να ειναι αρνητικο το ημιτονο και παιρνεις μονο τη θετικη λυση??Εκτος και εχεις ορισει που ανηκει η γωνια θ οποτε παω πασο
Η εκφωνηση λεει γωνιες στο 1ο τεταρτημοριο και αν βαλεις και τα αθροισμα τους μπορει να πας και στο 2ο..και στα δυο βεβαια τα ημιτονα ειναι θετικα..
Αλλα δεν σε πιανω ,,για κανε καμια σχεση κοπυ πεϊστ να δω..
Για το δευτερο
Γιαννη μια πιο αμεση λυση ειναι την παρασταση ημχ+συνχ=ριζα2ημ(χ+π/4)
Λες οτι η παρακατω σχεση ειναι πιο γρηγορη
ΟΚ πολυ ωραια... αλλα εγω πρωτη φορα την βλεπω αυτη...ε τι να κανουμε ?..αμα πηδηξουνε τους τριγωνομετρες εγω θα υπογραψω χαρτι μεταμέλειας.
Τωρα βεβαια εμεις στην φυσικη ειμαστε και καπως ψιλοπαραξενοι ολα τα αρχιζουμε απο τους ορισμους.
Ευχαριστω πολυ παντως
back to the school... οταν οι μαθηματικοι δεν εχουν δουλεια και παιδευουν τα παιδακια
Τωρα για το πρωτο που λες
Γιαννη απαγορευεται να ειναι αρνητικο το ημιτονο και παιρνεις μονο τη θετικη λυση??Εκτος και εχεις ορισει που ανηκει η γωνια θ οποτε παω πασο
Η εκφωνηση λεει γωνιες στο 1ο τεταρτημοριο και αν βαλεις και τα αθροισμα τους μπορει να πας και στο 2ο..και στα δυο βεβαια τα ημιτονα ειναι θετικα..
Αλλα δεν σε πιανω ,,για κανε καμια σχεση κοπυ πεϊστ να δω..
Για το δευτερο
Γιαννη μια πιο αμεση λυση ειναι την παρασταση ημχ+συνχ=ριζα2ημ(χ+π/4)
Λες οτι η παρακατω σχεση ειναι πιο γρηγορη
ΟΚ πολυ ωραια... αλλα εγω πρωτη φορα την βλεπω αυτη...ε τι να κανουμε ?..αμα πηδηξουνε τους τριγωνομετρες εγω θα υπογραψω χαρτι μεταμέλειας.
Τωρα βεβαια εμεις στην φυσικη ειμαστε και καπως ψιλοπαραξενοι ολα τα αρχιζουμε απο τους ορισμους.
Ευχαριστω πολυ παντως
Αυτόματη ένωση συνεχόμενων μηνυμάτων:
back to the school... οταν οι μαθηματικοι δεν εχουν δουλεια και παιδευουν τα παιδακια
Αυτόματη ένωση συνεχόμενων μηνυμάτων:
eukleidhs1821
Διάσημο μέλος
Ο eukleidhs1821 αυτή τη στιγμή δεν είναι συνδεδεμένος. Είναι Πτυχιούχος του τμήματος Ιατρικής Ιωαννίνων (Ιωάννινα) και μας γράφει από Καινούργιο (Ηράκλειο). Έχει γράψει 3.965 μηνύματα.
09-11-23
13:34
Ειπα ριζα2 επι ημ(χ+π/4).οχι και το ημ(χ+π/4) μεσα στη ριζα.Αυτη την μετατροπη την εκανα για να βγει πιο ευκολα η λυση της εξισωσης.Δες το και μονος σου πως βγαινει.ημχ+συνχ=ημχ+εφπ/4 συνχ=(ημχσυνπ/4 +ημπ/4συνχ)/συνπ/4=ημ(χ+π/4)/ριζα2/2=ριζα2ημ(χ+π/4).Ετσι αναγεσαι σε μια πιο βατη εξισωση απο το να υψωνεις σε τετραγωνα που ειναι και επισφαλης τροπος γτ για να πας ισοδυναμα θες οπωσδηποτε θετικα και τα 2 μελη που κατι τετοιο δεν ισχυει επομενως πας με συνεπαγεται που δεν ειναι και οτι καλυτερο.
Για την πρωτη ασκηση εγω δεν ειδα να γραφεις γωνιες στο πρωτο τεταρτημοριο αλλα γενικα και αοριστα κατι που σημαινει οτι μπορεις να παρεις και τη λυση με το μειον!A σορρυ τωρα το διαβασα λες πρωτο τεταρτημοριο!!!Στραβομαρα!!!Οποτε εισαι οκ αφου ολα ειναι θετικα στο πρωτο τεταρτημοριο.
Για την πρωτη ασκηση εγω δεν ειδα να γραφεις γωνιες στο πρωτο τεταρτημοριο αλλα γενικα και αοριστα κατι που σημαινει οτι μπορεις να παρεις και τη λυση με το μειον!A σορρυ τωρα το διαβασα λες πρωτο τεταρτημοριο!!!Στραβομαρα!!!Οποτε εισαι οκ αφου ολα ειναι θετικα στο πρωτο τεταρτημοριο.
Dias
Επιφανές μέλος
Ο Dias αυτή τη στιγμή δεν είναι συνδεδεμένος. Είναι Καθηγητής κι έχει σπουδάσει στο τμήμα Φυσικής ΕΚΠΑ (Αθήνα). Έχει γράψει 10.743 μηνύματα.
09-11-23
16:20
ΛΥΣΗ
Guest 691153
Επισκέπτης
αυτή τη στιγμή δεν είναι συνδεδεμέν. Δεν έχει γράψει κανένα μήνυμα.
09-11-23
20:12
Εαν εχω κανει λαθος εννοείται παρακαλώ διορθώστε
Eίπα να προσθέσω και εγώ μια ασκησούλα που βρήκα ενδιαφέρουσα...
Γιάννη, να, σου κάνουμε παρέα εγω και ο Διας
Dias
Επιφανές μέλος
Ο Dias αυτή τη στιγμή δεν είναι συνδεδεμένος. Είναι Καθηγητής κι έχει σπουδάσει στο τμήμα Φυσικής ΕΚΠΑ (Αθήνα). Έχει γράψει 10.743 μηνύματα.
10-11-23
12:40
ΛΥΣΗ
Guest 691153
Επισκέπτης
αυτή τη στιγμή δεν είναι συνδεδεμέν. Δεν έχει γράψει κανένα μήνυμα.
10-11-23
21:01
Αυτόματη ένωση συνεχόμενων μηνυμάτων:
Mια αρκετα ευκολη ασκηση απλα μου αρεσει γιατι συνδιάζει οριζοντια βολή και κρούση. Γενικά λατρεύω τις συνθετες ασκήσεις
Dias
Επιφανές μέλος
Ο Dias αυτή τη στιγμή δεν είναι συνδεδεμένος. Είναι Καθηγητής κι έχει σπουδάσει στο τμήμα Φυσικής ΕΚΠΑ (Αθήνα). Έχει γράψει 10.743 μηνύματα.
10-11-23
23:04
Χμμμ....Mια αρκετα ευκολη ασκηση απλα μου αρεσει γιατι συνδιάζει οριζοντια βολή και κρούση. Γενικά λατρεύω τις συνθετες ασκήσεις
ΛΥΣΗ
ιωαννηs
Επιφανές μέλος
Ο ιωαννηs αυτή τη στιγμή δεν είναι συνδεδεμένος. Είναι 25 ετών, Φοιτητής του τμήματος Πρόγραμμα Ιερατικών Σπουδών και μας γράφει από Πειραιάς (Αττική). Έχει γράψει 15.424 μηνύματα.
11-11-23
11:59
εξαιρετικα
να που τα μαθηματικα βγαζουν αλλο αποτελεσμα απο τις αισθησεις.
Dias
Επιφανές μέλος
Ο Dias αυτή τη στιγμή δεν είναι συνδεδεμένος. Είναι Καθηγητής κι έχει σπουδάσει στο τμήμα Φυσικής ΕΚΠΑ (Αθήνα). Έχει γράψει 10.743 μηνύματα.
11-11-23
16:43
ΛΥΣΗ
ιωαννηs
Επιφανές μέλος
Ο ιωαννηs αυτή τη στιγμή δεν είναι συνδεδεμένος. Είναι 25 ετών, Φοιτητής του τμήματος Πρόγραμμα Ιερατικών Σπουδών και μας γράφει από Πειραιάς (Αττική). Έχει γράψει 15.424 μηνύματα.
12-11-23
12:36
Χτες ηρθαν εδω 3 γερανοι να αλλαξουν μια μεγαλη δεξαμενη οξυγονου και τους χαζευα θαυμαζοντας την υδραυλικη τεχνολογια και την απλοτητα της βασικης σκεψης... τα υγρα ειναι ασυμπιεστα και η πιεση ειναι δυναμη δια επιφανεια και εφτιαξαν αυτα τα θαυμαστα μηχανηματα τους υδραυλικους γερανους.
Βεβαια οι αρχαιοι ελληνες ειχαν δωσει αινωνες πριν πιο απλες χειροκινητες λυσεις που ακομα ειναι βασικες και λειτουργικες κατα κορον.. Το παλαγκο
Μου ειρθε λοιπον η ορεξη για ρευστα αλλα τετοια ασκηση δεν εχω.. οποτε βαζω μια ασχετη... αλλα με ρευστα
Βεβαια οι αρχαιοι ελληνες ειχαν δωσει αινωνες πριν πιο απλες χειροκινητες λυσεις που ακομα ειναι βασικες και λειτουργικες κατα κορον.. Το παλαγκο
Μου ειρθε λοιπον η ορεξη για ρευστα αλλα τετοια ασκηση δεν εχω.. οποτε βαζω μια ασχετη... αλλα με ρευστα
Dias
Επιφανές μέλος
Ο Dias αυτή τη στιγμή δεν είναι συνδεδεμένος. Είναι Καθηγητής κι έχει σπουδάσει στο τμήμα Φυσικής ΕΚΠΑ (Αθήνα). Έχει γράψει 10.743 μηνύματα.
12-11-23
17:10
ΛΥΣΗ
ιωαννηs
Επιφανές μέλος
Ο ιωαννηs αυτή τη στιγμή δεν είναι συνδεδεμένος. Είναι 25 ετών, Φοιτητής του τμήματος Πρόγραμμα Ιερατικών Σπουδών και μας γράφει από Πειραιάς (Αττική). Έχει γράψει 15.424 μηνύματα.
13-11-23
07:49
Back to the school ..Διανυσματα ...το 1ο ερωτημα παιζει για λυκειο , το 2ο ξεφευγει λογω οριζουσων...ειναι το εξωτερικο και μικτο γινομενο που υπολογιζεται βασικα μονο με οριζουσες.Εδω οι οριζουσες 3x3 υπολογιζονται με την μεθοδο saurus και το συστημα κατα Crammer.
H μεθοδος οριζουσων 3χ3 saurus ειναι απλη επαναλαμβανεις τις 2 αριστερες στηλες και μετα παιρνεις 3 θετικα γινομενα διαγωνιων και 3 αρνητικα...φαινεται στο σχημα.
H μεθοδος οριζουσων 3χ3 saurus ειναι απλη επαναλαμβανεις τις 2 αριστερες στηλες και μετα παιρνεις 3 θετικα γινομενα διαγωνιων και 3 αρνητικα...φαινεται στο σχημα.
Συνημμένα
Dias
Επιφανές μέλος
Ο Dias αυτή τη στιγμή δεν είναι συνδεδεμένος. Είναι Καθηγητής κι έχει σπουδάσει στο τμήμα Φυσικής ΕΚΠΑ (Αθήνα). Έχει γράψει 10.743 μηνύματα.
13-11-23
13:39
ΛΥΣΗ
Dias
Επιφανές μέλος
Ο Dias αυτή τη στιγμή δεν είναι συνδεδεμένος. Είναι Καθηγητής κι έχει σπουδάσει στο τμήμα Φυσικής ΕΚΠΑ (Αθήνα). Έχει γράψει 10.743 μηνύματα.
14-11-23
00:50
Δώρο στο Γιάννη...
ΛΥΣΗ
ΛΥΣΗ
ιωαννηs
Επιφανές μέλος
Ο ιωαννηs αυτή τη στιγμή δεν είναι συνδεδεμένος. Είναι 25 ετών, Φοιτητής του τμήματος Πρόγραμμα Ιερατικών Σπουδών και μας γράφει από Πειραιάς (Αττική). Έχει γράψει 15.424 μηνύματα.
14-11-23
12:01
Εξαιρετικη ασκηση ευγε Δια...το car ειναι λιγο catch me if you can... αλλα οκ.
Και παω που λες στο μαστορα τον ταρζαν να του αλλαξει τακακια εμπρος .. Τον σηκωνει στο υδραυλικο και παει απο κατω.
Ε του λεω δεν θα το ασφαλισεις ?
Οχι ασφαλιζει απο μονο του...υδραυλικο ειναι
Τον Βernouli τον ξερεις ρωταω?
Οχι μου λεει... που τραγουδαει?
Οχι εκει παντως που μερακλωνεις εσυ.
Τα φρενα ομως τζαμι.
ιωαννηs
Επιφανές μέλος
Ο ιωαννηs αυτή τη στιγμή δεν είναι συνδεδεμένος. Είναι 25 ετών, Φοιτητής του τμήματος Πρόγραμμα Ιερατικών Σπουδών και μας γράφει από Πειραιάς (Αττική). Έχει γράψει 15.424 μηνύματα.
14-11-23
13:12
Εδω εχουμε ενα μεγαλο συστημα που ομως δεν εχει την λυση που θα επιθυμουσαμε.
*Ανω τριγωνικος πινακας σημαινει οτι ολοι οι αριθμοι κατω απο την διαγωνιο ειναι μηδεν
Dias
Επιφανές μέλος
Ο Dias αυτή τη στιγμή δεν είναι συνδεδεμένος. Είναι Καθηγητής κι έχει σπουδάσει στο τμήμα Φυσικής ΕΚΠΑ (Αθήνα). Έχει γράψει 10.743 μηνύματα.
14-11-23
17:38
ΛΥΣΗ
Χρήστες Βρείτε παρόμοια
-
Τα παρακάτω 0 μέλη και 0 επισκέπτες διαβάζουν μαζί με εσάς αυτό το θέμα:Tα παρακάτω 278 μέλη διάβασαν αυτό το θέμα:
- Cocobolo
- Salomon Jonas
- many of Filip
- ChrisG152
- ether--net
- Hased Babis
- GNick06
- Marildrea
- globglogabgalab
- Georgiaaa_
- Bonaparte
- Ilias__
- Kabamaru Hayate
- panosalex7
- eukleidhs1821
- SlimShady
- jYanniss
- Drscientist
- Corfu kitty
- bak07
- Kate1914
- aris65
- jellojina
- Unboxholics
- sakplat
- Chrisphys
- bigguy
- love_to_learn
- tsiobieman
- Wonderkid
- Tolis211
- suaimhneas
- Indecisive2
- bibliofagos
- Hecticism
- ggl
- panosT436
- rseven
- Debugging_Demon
- andromaxh07
- Scandal
- georgetherrr
- antonis97
- BatGuin
- thesmilingchild
- iiTzArismaltor_
- Μήτσος10
- Orfano
- charmander
- eirinipap
- exotic xo
- Giorgosvr
- Qwerty 0
- Than003
- angela_k
- Jomo
- Joji
- kost28
- redpointer
- Albert.123
- Leo komm
- P.Dam.
- Steliosgkougkou
- chjan
- Evangeloz
- wmaria
- Maynard
- χημεια4λαιφ
- donut_daddy
- marikakitsou16
- physicscrazy
- Lia 2006
- chester20080
- panaman
- Msp1
- Sotis
- mirara
- melver
- grad778
- nickd
- V@Per
- ssalex
- catlover033
- carnage
- Μιχαήλ
- vas2017
- beatrixx
- phleidhs
- gegeorgiou90
- Dr. Gl. Luminous
- agg41
- thepigod762
- Helen06
- math2arch
- MrDragonboy
- chrismpd
- bill09876
- Paragontas7000
- ikigai
- Marel
- soleilst
- Startx0
- marilenaaa
- EllieKal
- gzois
- EFAKIT
- Φινεύς
- estrela
- Lifelong Learner
- Annie
- Panatha mono
- Mitsaras23
- Isa
- BiteTheDust
- Chris180
- aplalew
- user111
- Chemwizard
- giannhs2001
- Mukumbura
- MR WHITE
- SIAmia
- supertom4000
- J.Cameron
- persour
- Totreno
- sotirislk
- Specon
- Mariosm.
- Claire05
- Giorgos216
- Jimpower
- shezza94
- kwstasloul
- kan3nas
- dmav
- Obi-Wan Kenobi
- Nancysmilkyway
- Νομάρχης
- ogigidi
- ένας τυχαίος
- Hmmytheos
- constansn
- cannot_log_in
- hello1234
- ilal1200
- Alessandra Eliza
- Giannis327
- phoni
- aggorf
- Nala
- Frozensun
- xrisamikol
- Ilovemycats27
- PanosApo
- nik64
- angies
- dimitris_eee
- mike19
- angeloskar
- eltqt
- CrusaderKingsIII
- flaura
- elevag
- Patroklos
- Anonymous1
- IcedBreaje
- kiyoshi
- nicole1982
- Lost_In_Life
- Γατέχων
- AggelikiGr
- Nansytsg
- Lathy
- k4t
- Maria_Xagorari
- suuuuiiii
- SoyN
- thecrazycretan
- Jesse_
- A350
- Ιωάννης1234
- george777
- Abiogenesis
- Enhypen
- Mary06
- arko
- Giorgkalo
- velentzakoss
- Giota_pel
- AnnaRd
- Νικολινα
- NikNik1995
- BillyTheKid
- Nick_nt
- a namaves
- xristarac
- ilovekpop
- GeorgePap2003
- Sofos Gerontas
- topg
- Γιώτα Γιαννακού
- plantbee
- Peter Pan13
- Ness
- MrDna
- Jojo K
- Mewmaw
-
Φορτώνει...
-
Το forum μας χρησιμοποιεί cookies για να βελτιστοποιήσει την εμπειρία σας.
Συνεχίζοντας την περιήγησή σας, συναινείτε στη χρήση cookies στον περιηγητή σας.
Αρχική Forum
Ρωτήστε κάτι
Προσωπικές Συζητήσεις
Πανελλαδικές
Αγγελίες
Συνδεδεμένοι Χρήστες
Λίστα Αποκλεισμένων
Υπεύθυνοι του Forum
e-steki
