BaSO4
Δραστήριο μέλος
Η Δρ. Βουλίδης αυτή τη στιγμή δεν είναι συνδεδεμένη. Είναι Φοιτήτρια του τμήματος Μηχανολόγων Μηχανικών ΑΠΘ. Έχει γράψει 752 μηνύματα.

12-08-22

16:34
Στο Δ2i δε θα μπορούσαμε να βρούμε πρώτα την αντίστροφη της f και το πεδίο ορισμού της f^-1 που είναι το σύνολο τιμών της f; (Μάλλον δε γίνεται όμως, γιατί πρώτα ίσως χρειαζόμαστε το πεδίο ορισμού της αντίστροφης.)Δ2i Αν στην δοσμένη περάσουμε limx->+oo προκύπτει limx->+oo (e^f(x)+lnf(x)+f(x))=+oo
Αν το limx->+oo του f(x) είναι:
- Πραγματικός διάφορος του μηδέν άτοπο, γιατί δεν θα παίρναμε άπειρο.
- Μηδέν άτοπο, γιατί θα παίρναμε -oo.
- +oo Πιθανό γιατί θα παίρναμε +oo.
Επειδή η μόνη δυνατή περίπτωση είναι η τρίτη, θα είναι και η σωστή.
Όμοια σκεφτόμαστε στο -oo και βγαίνει το ζητούμενο.
Και λόγω της μονοτονίας το σύνολο τιμών ισούται με (limx->-oo+,limx->+oo).
Cade
Πολύ δραστήριο μέλος
Ο Cade αυτή τη στιγμή δεν είναι συνδεδεμένος. Είναι Απόφοιτος λυκείου. Έχει γράψει 871 μηνύματα.

12-08-22

16:56
Αν εννοείς να ονομάσουμε συνάρτηση h την e^x + lnx + x + 2, xε(0,+00), να αποδείξουμε ότι είναι η αντιστροφη της f και μέσω αυτής να βρούμε το σύνολο τιμών ναι γίνεται.Στο Δ2i δε θα μπορούσαμε να βρούμε πρώτα την αντίστροφη της f και το πεδίο ορισμού της f^-1 που είναι το σύνολο τιμών της f; (Μάλλον δε γίνεται όμως, γιατί πρώτα ίσως χρειαζόμαστε το πεδίο ορισμού της αντίστροφης.)
Διαφορετικά
Alexandros28
Δραστήριο μέλος
Ο Alexandros28 αυτή τη στιγμή δεν είναι συνδεδεμένος. Έχει γράψει 750 μηνύματα.

12-08-22

17:16
Nai γίνεται και είναι πιο σωστά τεκμηριωμένη αυτή η λύσηΣτο Δ2i δε θα μπορούσαμε να βρούμε πρώτα την αντίστροφη της f και το πεδίο ορισμού της f^-1 που είναι το σύνολο τιμών της f; (Μάλλον δε γίνεται όμως, γιατί πρώτα ίσως χρειαζόμαστε το πεδίο ορισμού της αντίστροφης.)
Guest 586541
Επισκέπτης
αυτή τη στιγμή δεν είναι συνδεδεμέν. Δεν έχει γράψει κανένα μήνυμα.

12-08-22

17:18
Μια χαρά μπορείς.Στο Δ2i δε θα μπορούσαμε να βρούμε πρώτα την αντίστροφη της f και το πεδίο ορισμού της f^-1 που είναι το σύνολο τιμών της f; (Μάλλον δε γίνεται όμως, γιατί πρώτα ίσως χρειαζόμαστε το πεδίο ορισμού της αντίστροφης.)
Είναι δυνατό να θέσεις μονομιάς x=f^-1(x) στην δοθείσα σχέση (για x που ανήκει στο σύνολο τιμών της f) .Αφού το f^-1(x) είναι το σύνολο τιμών της f^-1, δηλαδή το πεδίο ορισμού της f, δηλαδή το x. Όλα αυτά με την προϋπόθεση πως έχεις αποδείξει ότι είναι αντιστρέψιμη. Ο εμπνευστής του θέματος είχε κάποια άλλη λύση στο μυαλό του και για αυτό έβαλε το ερώτημα με την αντίστροφη μετά, σίγουρα όχι την δικιά μου γιατί φαίνεται πολύ μπακαλέ και αιτιολογείται δύσκολα, για το Δ2i.
Αυτόματη ένωση συνεχόμενων μηνυμάτων:
Όλες τεκμηριωμένες είναι -η δικιά μου απαγωγή σε άτοπο είναι ουσιαστικά- αλλά διαφέρουν στην δυσκολία παρουσίασής τους. Έχει νόημα να μιλάμε για λιγότερο και περισσότερο τεκμηριωμένη σωστή απάντηση;Nai γίνεται και είναι πιο σωστά τεκμηριωμένη αυτή η λύση
BaSO4
Δραστήριο μέλος
Η Δρ. Βουλίδης αυτή τη στιγμή δεν είναι συνδεδεμένη. Είναι Φοιτήτρια του τμήματος Μηχανολόγων Μηχανικών ΑΠΘ. Έχει γράψει 752 μηνύματα.

12-08-22

17:53
Πρακτικά, μια απάντηση μπορεί να είναι σωστή ή λανθασμένη. Αν είναι λανθασμένη, τότε μπορεί να είναι λιγότερο τεκμηριωμένη ή περισσότερο τεκμηριωμένη (αν λάβουμε υπόψη τον αριθμό των -απαραίτητων για τη λύση- βημάτων που παραλείφθηκαν). Κι αυτό, γιατί, εφόσον δεν είναι μια ολοκληρωμένη απάντηση, είναι ελλιπής και άρα όχι σωστή.Όλες τεκμηριωμένες είναι -η δικιά μου απαγωγή σε άτοπο είναι ουσιαστικά- αλλά διαφέρουν στην δυσκολία παρουσίασής τους. Έχει νόημα να μιλάμε για λιγότερο και περισσότερο τεκμηριωμένη σωστή απάντηση;
Αν ο οποιοσδήποτε τρόπος επίλυσης είναι σωστός (άρα και "σωστά τεκμηριωμένη απάντηση") και έχει αποδειχθεί επαρκώς το ζητούμενο, τότε μαθηματικά πρέπει να γίνει αποδεκτός. Από 'κει και πέρα, νομίζω ότι τίθεται θέμα αισθητικής και όχι μαθηματικής δεοντολογίας.
(Μπορεί να λέω ό,τι να 'ναι και να μη βγάζω νόημα, 'σχωρέστε με

Guest 586541
Επισκέπτης
αυτή τη στιγμή δεν είναι συνδεδεμέν. Δεν έχει γράψει κανένα μήνυμα.

12-08-22

18:35
Αυτό ακριβώς, ρητορική ήταν η ερώτησή μου. Το μόνο δυνητικό πρόβλημα των μη μεθοδολογικών λύσεων είναι ότι ενδέχεται να υπάρχει κάποιο άγνωστο σε αυτόν που τις διατυπώνει θεώρημα που να τις καθιστά ανεπαρκείς. Αν και ο καθένας δύναται να θέσει διαφορετικά standards για το πότε μία λύση καθίσταται άκρως εμπεριεστατομένη, μπορούμε διαισθητικά να αντιληφθούμε πότε κάποια είναι.Πρακτικά, μια απάντηση μπορεί να είναι σωστή ή λανθασμένη. Αν είναι λανθασμένη, τότε μπορεί να είναι λιγότερο τεκμηριωμένη ή περισσότερο τεκμηριωμένη (αν λάβουμε υπόψη τον αριθμό των -απαραίτητων για τη λύση- βημάτων που παραλείφθηκαν). Κι αυτό, γιατί, εφόσον δεν είναι μια ολοκληρωμένη απάντηση, είναι ελλιπής και άρα όχι σωστή.
Αν ο οποιοσδήποτε τρόπος επίλυσης είναι σωστός (άρα και "σωστά τεκμηριωμένη απάντηση") και έχει αποδειχθεί επαρκώς το ζητούμενο, τότε μαθηματικά πρέπει να γίνει αποδεκτός. Από 'κει και πέρα, νομίζω ότι τίθεται θέμα αισθητικής και όχι μαθηματικής δεοντολογίας.
(Μπορεί να λέω ό,τι να 'ναι και να μη βγάζω νόημα, 'σχωρέστε με)
Cade
Πολύ δραστήριο μέλος
Ο Cade αυτή τη στιγμή δεν είναι συνδεδεμένος. Είναι Απόφοιτος λυκείου. Έχει γράψει 871 μηνύματα.

12-08-22

19:33
Κάποια στιγμή (ίσως και σήμερα
) όταν θα έχω όρεξη θα συνθεσω μόνος μου μια άσκηση (απο διαφορους συγγραφείς + υλικό από ίντερνετ) για να ναι πιο τσιμπημένη και θα την ανεβάσω. Γιατί με τα έτοιμα θέματα όλο και κάτι με χαλάει

BaSO4
Δραστήριο μέλος
Η Δρ. Βουλίδης αυτή τη στιγμή δεν είναι συνδεδεμένη. Είναι Φοιτήτρια του τμήματος Μηχανολόγων Μηχανικών ΑΠΘ. Έχει γράψει 752 μηνύματα.

12-08-22

20:30
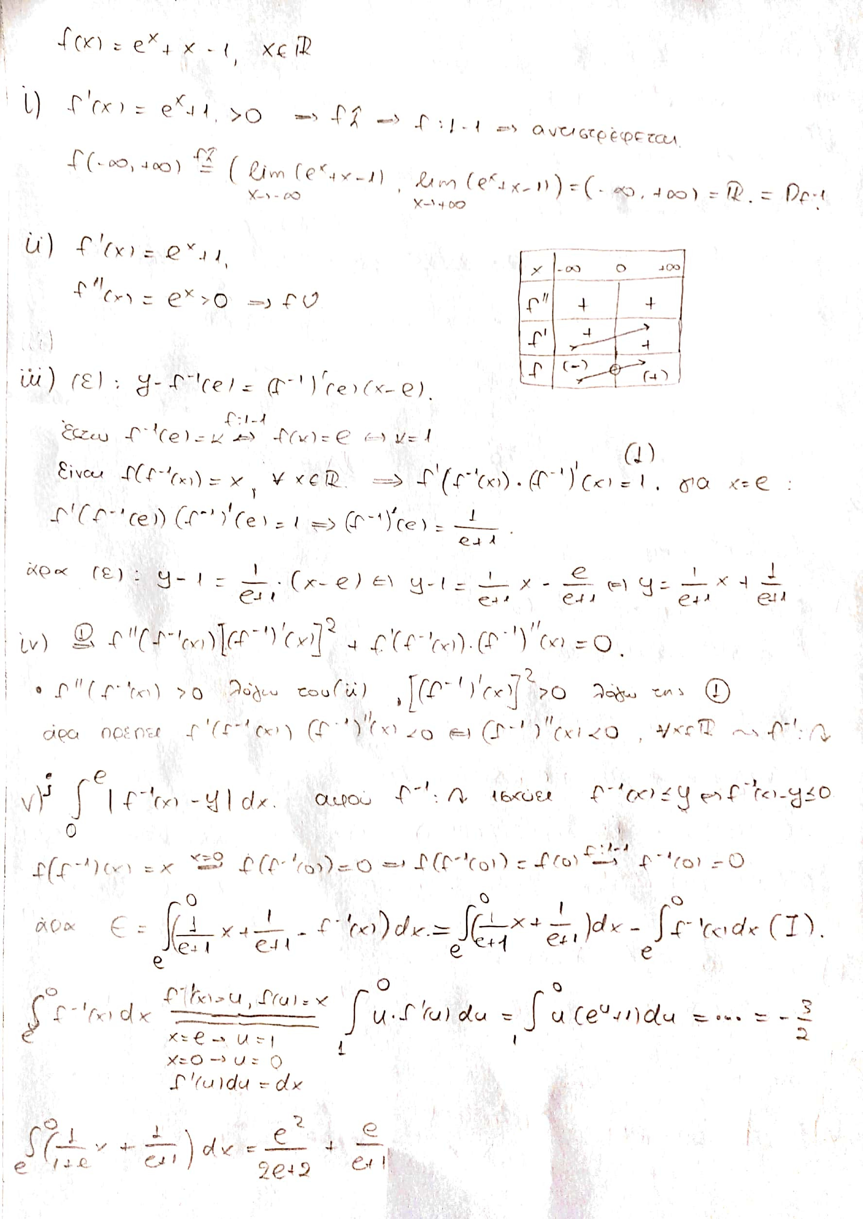
Μια από τις επαναληπτικές του φροντιστηρίου που μου είχε κάψει λίγο το μυαλό στα τελευταία.
Cade
Πολύ δραστήριο μέλος
Ο Cade αυτή τη στιγμή δεν είναι συνδεδεμένος. Είναι Απόφοιτος λυκείου. Έχει γράψει 871 μηνύματα.

12-08-22

21:27
Βγαίνει ωραίο νούμερο το v?Μια από τις επαναληπτικές του φροντιστηρίου που μου είχε κάψει λίγο το μυαλό στα τελευταία.
View attachment 106519
BaSO4
Δραστήριο μέλος
Η Δρ. Βουλίδης αυτή τη στιγμή δεν είναι συνδεδεμένη. Είναι Φοιτήτρια του τμήματος Μηχανολόγων Μηχανικών ΑΠΘ. Έχει γράψει 752 μηνύματα.

12-08-22

21:49
Καλό είναι. Έχει e μέσα, αλλά είναι απλά τα νούμερα.Βγαίνει ωραίο νούμερο το v?
Cade
Πολύ δραστήριο μέλος
Ο Cade αυτή τη στιγμή δεν είναι συνδεδεμένος. Είναι Απόφοιτος λυκείου. Έχει γράψει 871 μηνύματα.

12-08-22

21:57
Αουτς...θα το ξαναπροσπαθήσω αύριο αν δεν έχει απαντηθεί, τώρα βαριέμαι άπειραΚαλό είναι. Έχει e μέσα, αλλά είναι απλά τα νούμερα.
@eukleidhs1821 κάνε τα μαγικά σου
Samael
Τιμώμενο Μέλος
Ο Samael αυτή τη στιγμή δεν είναι συνδεδεμένος. Είναι 26 ετών, Πτυχιούχος του τμήματος Ηλεκτρολόγων & Ηλεκτρονικών Μηχανικών ΠΑΔΑ και μας γράφει από Πειραιάς (Αττική). Έχει γράψει 12.055 μηνύματα.

12-08-22

22:03
Ρε'σεις το τελειώσατε το λύκειο. Αφήστε τα αυτά και πηγαίντε μάθετε καμιά python να ολοκληρώνετε και της Παναγιάς τα μάτια
.

Cade
Πολύ δραστήριο μέλος
Ο Cade αυτή τη στιγμή δεν είναι συνδεδεμένος. Είναι Απόφοιτος λυκείου. Έχει γράψει 871 μηνύματα.

12-08-22

23:00
Και μια πιο σωστή προσέγγιση του iv, η άλλη ήταν λανθασμένη
Cade
Πολύ δραστήριο μέλος
Ο Cade αυτή τη στιγμή δεν είναι συνδεδεμένος. Είναι Απόφοιτος λυκείου. Έχει γράψει 871 μηνύματα.

13-08-22

14:05
Πείραξα λίγο τα ερωτήματα και έβγαλα μερικά βοηθητικά για να ναι πιο δύσκολη.
Ενδεχομένως κάποια να βγαίνουν και με άλλους τρόπους απ' αυτούς που σκέφτηκα εγω
BaSO4
Δραστήριο μέλος
Η Δρ. Βουλίδης αυτή τη στιγμή δεν είναι συνδεδεμένη. Είναι Φοιτήτρια του τμήματος Μηχανολόγων Μηχανικών ΑΠΘ. Έχει γράψει 752 μηνύματα.

14-08-22

18:01
Στο v) ερώτημα το εμβαδό Ε περικλείεται από 3 συναρτήσεις.Αουτς...θα το ξαναπροσπαθήσω αύριο αν δεν έχει απαντηθεί, τώρα βαριέμαι άπειρα
View attachment 106522
View attachment 106523 Στο ν) έχει γίνει ζημιά σίγουρα
@eukleidhs1821 κάνε τα μαγικά σου
Cade
Πολύ δραστήριο μέλος
Ο Cade αυτή τη στιγμή δεν είναι συνδεδεμένος. Είναι Απόφοιτος λυκείου. Έχει γράψει 871 μηνύματα.

14-08-22

20:00
Είτε αυτό είναι το σωστό εμβαδόν είτε εγώ έχω σκουριάσει τελείωςΣτο v) ερώτημα το εμβαδό Ε περικλείεται από 3 συναρτήσεις.
Δεν παίζει όμως γιατί αυτή τη φορά έκανα σχήμα
BaSO4
Δραστήριο μέλος
Η Δρ. Βουλίδης αυτή τη στιγμή δεν είναι συνδεδεμένη. Είναι Φοιτήτρια του τμήματος Μηχανολόγων Μηχανικών ΑΠΘ. Έχει γράψει 752 μηνύματα.

14-08-22

21:49
Σύμφωνα με το σχήμα, κάπως έτσι πρέπει να βγαίνει το εμβαδό.Είτε αυτό είναι το σωστό εμβαδόν είτε εγώ έχω σκουριάσει τελείως
View attachment 106708
Δεν παίζει όμως γιατί αυτή τη φορά έκανα σχήμα
Εγώ πήρα το τρίγωνο ΑΒΔ από το εμβαδό του οποίου αφαίρεσα το (ΟΒΔ). Δεν ξέρω αν βγαίνει πιο εύκολα έτσι.
Αυτό που με είχε παραξενέψει στο v ήταν το πώς θα σχεδιάζαμε τη γραφική παράσταση της αντίστροφης της f, για να βρούμε το εμβαδό του Ε που περικλείεται από 3 συναρτήσεις (και άρα χρειάζεται σχήμα), εφόσον δε μπορούμε να βρούμε τον τύπο της.
Με τον κλασικό τρόπο δύσκολα γίνεται, μπορεί όμως να χρησιμοποιηθεί η συμμετρία, που εμφανίζεται ανάμεσα στις f και f^-1, ως προς την ευθεία y=x (μάλλον κι εσύ αυτό έκανες) και με την κυρτότητα βλέπουμε ότι η f^-1 είναι κάτω από την εφαπτόμενη της.
Υ.Γ. Μπα, δε νομίζω να έχεις σκουριάσει, το πολύ πολύ να έχεις χαλαρώσει και με το δίκιο σου. Εδώ παίζει να είμαστε οι μόνοι που ασχολούμαστε με αυτά, αντί να παρτάρουμε


Cade
Πολύ δραστήριο μέλος
Ο Cade αυτή τη στιγμή δεν είναι συνδεδεμένος. Είναι Απόφοιτος λυκείου. Έχει γράψει 871 μηνύματα.

14-08-22

22:06
Ναι ο τρόπος σου είναι καλύτερος και βγαίνει και πιο γρήγορα. Επίσης εύγε για το σχήμαΣύμφωνα με το σχήμα, κάπως έτσι πρέπει να βγαίνει το εμβαδό.
Εγώ πήρα το τρίγωνο ΑΒΔ από το εμβαδό του οποίου αφαίρεσα το (ΟΒΔ). Δεν ξέρω αν βγαίνει πιο εύκολα έτσι.
View attachment 106714

Εγώ όταν την έλυσα πρώτη φορά πήγα να το παίξω μάγκας και δεν έκανα σχήμα επειδή νόμιζα πως το εμβαδόν περικλείονταν από τις 2 συναρτήσεις μόνο και την πάτησα άσχημαΑυτό που με είχε παραξενέψει στο v ήταν το πώς θα σχεδιάζαμε τη γραφική παράσταση της αντίστροφης της f, για να βρούμε το εμβαδό του Ε που περικλείεται από 3 συναρτήσεις (και άρα χρειάζεται σχήμα), εφόσον δε μπορούμε να βρούμε τον τύπο της.
Με τον κλασικό τρόπο δύσκολα γίνεται, μπορεί όμως να χρησιμοποιηθεί η συμμετρία, που εμφανίζεται ανάμεσα στις f και f^-1, ως προς την ευθεία y=x (μάλλον κι εσύ αυτό έκανες) και με την κυρτότητα βλέπουμε ότι η f^-1 είναι κάτω από την εφαπτόμενη της.

Πάντως μπορούμε να σχεδιάσουμε ακριβώς την εφαπτομένη και έπειτα ξέρουμε πως η αντιστροφη περνάει από την αρχή των αξόνων, τέμνει την συνάρτηση στο e και είναι κοίλη, οπότε καπως βγαίνει η άκρη.
BaSO4
Δραστήριο μέλος
Η Δρ. Βουλίδης αυτή τη στιγμή δεν είναι συνδεδεμένη. Είναι Φοιτήτρια του τμήματος Μηχανολόγων Μηχανικών ΑΠΘ. Έχει γράψει 752 μηνύματα.

14-08-22

22:11
Αν βρεις αποτέλεσμα, πες μήπως βρήκαμε το ίδιο, γιατί μπορεί να έχω κάνει κάνα αριθμητικό :p.Ναι ο τρόπος σου είναι καλύτερος και βγαίνει και πιο γρήγορα. Επίσης εύγε για το σχήμα.
Εγώ όταν την έλυσα πρώτη φορά πήγα να το παίξω μάγκας και δεν έκανα σχήμα επειδή νόμιζα πως το εμβαδόν περικλείονταν από τις 2 συναρτήσεις μόνο και την πάτησα άσχημα.
Πάντως μπορούμε να σχεδιάσουμε ακριβώς την εφαπτομένη και έπειτα ξέρουμε πως η αντίστροφη περνάει από την αρχή των αξόνων, τέμνει την συνάρτηση στο e και είναι κοίλη, οπότε κάπως βγαίνει η άκρη.
βρήκα (e-2)/2 τ.μ.
Χρήστες Βρείτε παρόμοια
-
Τα παρακάτω 0 μέλη και 1 επισκέπτες διαβάζουν μαζί με εσάς αυτό το θέμα:Tα παρακάτω 289 μέλη διάβασαν αυτό το θέμα:
- Maynard
- foxypup
- Pars3c
- mikke
- thepigod762
- 98.8%chimpanzee
- trifasikodiavasma
- ggl
- ioanna2007
- Hased Babis
- Mariosm.
- infection54
- Jesse_
- topg
- eukleidhs1821
- bill09876
- Debugging_Demon
- mali
- Joji
- Ness
- Helen06
- Scandal
- synthnightingale
- arko
- BillyTheKid
- Magigi
- Paragontas7000
- Unboxholics
- just some guy
- george777
- Wonderkid
- IceCream05
- Abiogenesis
- GeorgePap2003
- katia.m
- giannhs2001
- paul
- Praxis
- Apocalypse
- shezza94
- desp1naa
- rempelos42
- Sherlockina
- oups
- Dimgeb
- spring day
- KingOfPop
- mpapa
- Chrisa
- Physicsstudent
- tsiobieman
- P.Dam.
- persi
- theodoraooo
- PanosBat
- kost28
- mikriarchitectonissa
- BILL KEXA
- Dr. Gl. Luminous
- Eleftheria2
- Lathy
- bruh_234
- Miranda32
- SlimShady
- kallikd
- nucomer
- alpha.kappa
- Eeeee
- J.Cameron
- Marple
- Kitana
- F1L1PAS
- sophiaa
- VFD59
- papa2g
- το κοριτσι του μαη
- srg96
- Hopeful22
- Φινεύς
- Phys39
- Anta2004
- fairyelly
- Pharmacist01
- jYanniss
- Panagiotis849
- Kokro
- augustine
- Nikoletaant
- Mashiro@Iberan
- margik
- Mammy Nun
- Pastramis
- Σωτηρία
- Appolon
- panosveki
- Nickt23
- igeorgeoikonomo
- Steliosgkougkou
- QWERTY23
- Ameliak
- aladdin
- nimbus
- Φωτεινη Τζα.
- marian
- Georgekk
- xrisamikol
- the purge
- Dora140303
- Machris
- s93060
- Nikitas18
- Stif6
- stav.mdp
- damn
- aekaras 21
- Anthropaki
- Angelos12345
- ioannam
- Μάρκος Βασίλης
- skyway
- Nick2325
- Nala
- Manolo165
- Ryuzaki
- T C
- Devilshjoker
- El_
- George9989
- TonyMontanaEse
- globglogabgalab
- constansn
- barkos
- katerinavld
- fenia
- An_uknown_world
- Jimmis18
- maria2001
- KingPoul
- Xara
- thecrazycretan
- abcdefg12345
- Κλημεντίνη
- ale
- panagiotis G
- mechaniceng
- Giii
- calliope
- Tequila
- natalix
- Cortes
- Alexecon1991
- pepsoula
- Mariaathens
- Lia 2006
- 1205
- παιδι για κλαματα
- Alexandros36k
- alexd99
- chembam
- Specon
- Dr House
- panagiotis23
- Johnman97
- rhymeasylum
- Αννα Τσιτα
- KaterinaL
- Libertus
- LeoDel
- iminspain
- den antexw allh apotyxia
- Λαμπρινηη
- Mendel2003
- Ijt
- drosos
- Κορώνα
- JohnGreek
- Αρχηγος_β3
- alexandra_
- ΘανάσοςG4
- Dimitris9
- Birtjan
- george7cr7
- NickT
- Bgpanos
- JKTHEMAN
- nicole1982
- χημεια4λαιφ
- Stroka
- Kostakis45
- charmander
- leo41
- EiriniS20
- Αριάνα123
- MarilynSt
- iManosX13
- Nefh_
- Viedo
- Βλα
- suaimhneas
- george pol
- kristinbacktoschool
- fearless
- Rene2004
- Steffie88
- Slytherin
- jimnikol21
- Unseen skygge
- cel123
- jul25
- Thanos_D
- Ireneeneri
- tasost
- Mukumbura
- xxxtolis
-
Φορτώνει...
-
Το forum μας χρησιμοποιεί cookies για να βελτιστοποιήσει την εμπειρία σας.
Συνεχίζοντας την περιήγησή σας, συναινείτε στη χρήση cookies στον περιηγητή σας.