asdfqwerty
Πολύ δραστήριο μέλος
Ο asdfqwerty αυτή τη στιγμή δεν είναι συνδεδεμένος. Είναι Φοιτητής του τμήματος Πληροφορικής & Τηλεπικοινωνιών ΕΚΠΑ. Έχει γράψει 1.347 μηνύματα.

11-07-22

00:15
Μια αλλη λυση για το γ)
edit: εχει ενα λαθος.. πρεπει αν δειξεις οτι το u > 1 .. ισως γινεται ευκολα την σβηνω. θα το δω.
edit: εχει ενα λαθος.. πρεπει αν δειξεις οτι το u > 1 .. ισως γινεται ευκολα την σβηνω. θα το δω.
eukleidhs1821
Διάσημο μέλος
Ο eukleidhs1821 αυτή τη στιγμή δεν είναι συνδεδεμένος. Είναι Πτυχιούχος του τμήματος Ιατρικής Ιωαννίνων (Ιωάννινα) και μας γράφει από Καινούργιο (Ηράκλειο). Έχει γράψει 3.965 μηνύματα.

11-07-22

00:22
το u δεν ξες αν ειναι πανω απο 1.α το διορθωσες οκΜια αλλη λυση για το γ)
edit: εχει ενα λαθος.. πρεπει αν δειξεις οτι το u > 1 .. ισως γινεται ευκολα την σβηνω. θα το δω.
Αυτόματη ένωση συνεχόμενων μηνυμάτων:
εγω πιστευω οτι βγαζεις το πρωτο σκελος της ανισωσης λογω μονοτονιας και το δευτερο καταληγοντας σε κατι που ισχυει λυνοντας ως προς f(1) την αρχικη βγαζεις f^2(1)>1 ισχυει.αλλος τροπος πιο ευκολος δεν νομιζω να υπαρχει.Μια αλλη λυση για το γ)
edit: εχει ενα λαθος.. πρεπει αν δειξεις οτι το u > 1 .. ισως γινεται ευκολα την σβηνω. θα το δω.
ιδανικο θα ηταν να εβρισκες μια τιμη της f που να κανει 3/2 ετσι ωστε να κανεις τη μονοτονια αλλα δεν ειναι ευκολο.
Αυτόματη ένωση συνεχόμενων μηνυμάτων:
μεσα στο ολοκληρωμα ειναι (χ^2+1)/φ^2(χ)??? και θες να το βγαλεις πανω απο f(1)-1?
βρωμαει καποια παραγοντικη ολοκληρωση.για καντε την και πειτε μου
asdfqwerty
Πολύ δραστήριο μέλος
Ο asdfqwerty αυτή τη στιγμή δεν είναι συνδεδεμένος. Είναι Φοιτητής του τμήματος Πληροφορικής & Τηλεπικοινωνιών ΕΚΠΑ. Έχει γράψει 1.347 μηνύματα.

11-07-22

00:43
αν βαλεις στην σχεση g(f(x)) = x^3 + x + 4το u δεν ξες αν ειναι πανω απο 1.α το διορθωσες οκ
Αυτόματη ένωση συνεχόμενων μηνυμάτων:
εγω πιστευω οτι βγαζεις το πρωτο σκελος της ανισωσης λογω μονοτονιας και το δευτερο καταληγοντας σε κατι που ισχυει λυνοντας ως προς f(1) την αρχικη βγαζεις f^2(1)>1 ισχυει.αλλος τροπος πιο ευκολος δεν νομιζω να υπαρχει.
ιδανικο θα ηταν να εβρισκες μια τιμη της f που να κανει 3/2 ετσι ωστε να κανεις τη μονοτονια αλλα δεν ειναι ευκολο.
x-> u
g(f(u)) = u^3 + u + 4
g(3 / 2) = u^3 + u + 4
u^3 + u + 4 = 63 / 8 => u^3 + u - 31 / 8 = 0
Eστω h(x) = x^3 + x - 31 / 8
h γν. αυξουσα
h(1) = 2 - 31 / 8 < 0
h(1) < 0 = h(u) => u > 1
αλλα εχει δουλεια οποτε καλυτερα το δικο σου
Αυτόματη ένωση συνεχόμενων μηνυμάτων:
για το τελευταιο μια σκεψη ειναι;
f'(x) = 3x^2 + 1 / 3f^2(x) + 3 < 3x^2 + 3 / 3f^2(x) + 3 = x^2 + 1 / f^2(x) + 1 < x^2 + 1 / f^2(x)
και μετα απλως ολοκληρωνουμε
eukleidhs1821
Διάσημο μέλος
Ο eukleidhs1821 αυτή τη στιγμή δεν είναι συνδεδεμένος. Είναι Πτυχιούχος του τμήματος Ιατρικής Ιωαννίνων (Ιωάννινα) και μας γράφει από Καινούργιο (Ηράκλειο). Έχει γράψει 3.965 μηνύματα.

11-07-22

01:13
Ναι εχεις δικιο.απλα κανεις το κολπο ενισχυοντας ειτε αριθμητη ειτε παρονομαστη για να καταληξεις εκει που θες.παντα με σκαλωνει αυτο το κολπο και δεν μου ρχεται αυτοματα στο μυαλο και ειναι τοσο ευκολοαν βαλεις στην σχεση g(f(x)) = x^3 + x + 4
x-> u
g(f(u)) = u^3 + u + 4
g(3 / 2) = u^3 + u + 4
u^3 + u + 4 = 63 / 8 => u^3 + u - 31 / 8 = 0
Eστω h(x) = x^3 + x - 31 / 8
h γν. αυξουσα
h(1) = 2 - 31 / 8 < 0
h(1) < 0 = h(u) => u > 1
αλλα εχει δουλεια οποτε καλυτερα το δικο σου
Αυτόματη ένωση συνεχόμενων μηνυμάτων:
για το τελευταιο μια σκεψη ειναι;
f'(x) = 3x^2 + 1 / 3f^2(x) + 3 < 3x^2 + 3 / 3f^2(x) + 3 = x^2 + 1 / f^2(x) + 1 < x^2 + 1 / f^2(x)
και μετα απλως ολοκληρωνουμε
asdfqwerty
Πολύ δραστήριο μέλος
Ο asdfqwerty αυτή τη στιγμή δεν είναι συνδεδεμένος. Είναι Φοιτητής του τμήματος Πληροφορικής & Τηλεπικοινωνιών ΕΚΠΑ. Έχει γράψει 1.347 μηνύματα.

11-07-22

18:10
Νομιζω το f(1) - 1 = [f(x)] απο 0 εως 1 = ολοκληρωμα της f'(x) απο 0 εως 1 σε βαζει σε σκεψεις οτι πρεπει να φραξεις την παραγωγο.Ναι εχεις δικιο.απλα κανεις το κολπο ενισχυοντας ειτε αριθμητη ειτε παρονομαστη για να καταληξεις εκει που θες.παντα με σκαλωνει αυτο το κολπο και δεν μου ρχεται αυτοματα στο μυαλο και ειναι τοσο ευκολο
eukleidhs1821
Διάσημο μέλος
Ο eukleidhs1821 αυτή τη στιγμή δεν είναι συνδεδεμένος. Είναι Πτυχιούχος του τμήματος Ιατρικής Ιωαννίνων (Ιωάννινα) και μας γράφει από Καινούργιο (Ηράκλειο). Έχει γράψει 3.965 μηνύματα.

11-07-22

18:20
ναι σιγουρα απλα σε επιπεδο λυκειου δεν ξερω αν καποιος μπορει ευκολα να χει ευχερεια σε τετοιες κινησεις αν δεν τον εχουν δασκαλεψει οσο και αν φαινεται προφανης κινηση.Νομιζω το f(1) - 1 = [f(x)] απο 0 εως 1 = ολοκληρωμα της f'(x) απο 0 εως 1 σε βαζει σε σκεψεις οτι πρεπει να φραξεις την παραγωγο.
asdfqwerty
Πολύ δραστήριο μέλος
Ο asdfqwerty αυτή τη στιγμή δεν είναι συνδεδεμένος. Είναι Φοιτητής του τμήματος Πληροφορικής & Τηλεπικοινωνιών ΕΚΠΑ. Έχει γράψει 1.347 μηνύματα.

11-07-22

18:24
Σιγουρα θα πρεπει να εχει εξασκηθει με ασκησεις που μετατρεπει κατι => σε ολοκληρωμα για να του φανει λογικο κατι τετοιο να το σκεφτει.ναι σιγουρα απλα σε επιπεδο λυκειου δεν ξερω αν καποιος μπορει ευκολα να χει ευχερεια σε τετοιες κινησεις αν δεν τον εχουν δασκαλεψει οσο και αν φαινεται προφανης κινηση.
eukleidhs1821
Διάσημο μέλος
Ο eukleidhs1821 αυτή τη στιγμή δεν είναι συνδεδεμένος. Είναι Πτυχιούχος του τμήματος Ιατρικής Ιωαννίνων (Ιωάννινα) και μας γράφει από Καινούργιο (Ηράκλειο). Έχει γράψει 3.965 μηνύματα.

11-07-22

18:26
η βλακεια ειναι οτι κατι τετοια κολπα με ανισοτητες διδασκονται στην πρωτη λυκειου.δεν ξερω αν βαζουνε τετοια ασκηση που κανεις αυτο το κολπο για να σε βαζουν στην σκεψη.αυτο παντως η ασκηση που βαλες με το f(1) μπορουσε να λυθει με μεθοδολογια πρωτης λυκειου με το που ισχυει.για αυτο λεμε τα μαθηματικα ειναι αλυσιδα.και χτιζεις σιγα σιγα.Σιγουρα θα πρεπει να εχει εξασκηθει με ασκησεις που μετατρεπει κατι => σε ολοκληρωμα για να του φανει λογικο κατι τετοιο να το σκεφτει.
asdfqwerty
Πολύ δραστήριο μέλος
Ο asdfqwerty αυτή τη στιγμή δεν είναι συνδεδεμένος. Είναι Φοιτητής του τμήματος Πληροφορικής & Τηλεπικοινωνιών ΕΚΠΑ. Έχει γράψει 1.347 μηνύματα.

11-07-22

18:31
φυσικα πολλα πραγματα σε ασκησεις λυνονται ευκολοτερα με ιδεες που εχουμε δουλεψει σε μικροτερες ταξεις..η βλακεια ειναι οτι κατι τετοια κολπα με ανισοτητες διδασκονται στην πρωτη λυκειου.δεν ξερω αν βαζουνε τετοια ασκηση που κανεις αυτο το κολπο για να σε βαζουν στην σκεψη.αυτο παντως η ασκηση που βαλες με το f(1) μπορουσε να λυθει με μεθοδολογια πρωτης λυκειου με το που ισχυει.για αυτο λεμε τα μαθηματικα ειναι αλυσιδα.και χτιζεις σιγα σιγα.
Cade
Πολύ δραστήριο μέλος
Ο Cade αυτή τη στιγμή δεν είναι συνδεδεμένος. Είναι Απόφοιτος λυκείου. Έχει γράψει 871 μηνύματα.

29-07-22

21:50
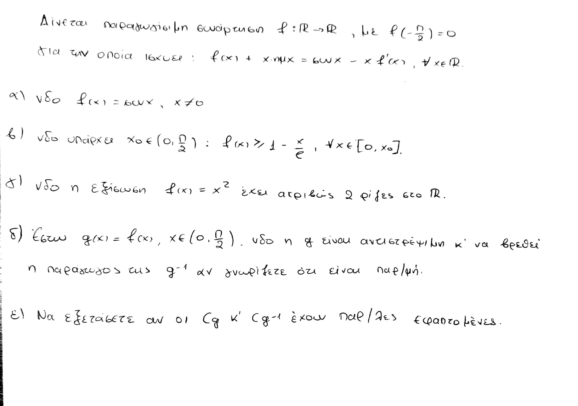
μια άσκηση να ζεσταθούμε
BaSO4
Δραστήριο μέλος
Η Δρ. Βουλίδης αυτή τη στιγμή δεν είναι συνδεδεμένη. Είναι Φοιτήτρια του τμήματος Μηχανολόγων Μηχανικών ΑΠΘ. Έχει γράψει 752 μηνύματα.

30-07-22

00:51
Αχ τώρα με βάζεις σε πειρασμούςμια άσκηση να ζεσταθούμε
View attachment 105833

hl_amhxanos
Πολύ δραστήριο μέλος
Ο Νίκος Κούκος αυτή τη στιγμή δεν είναι συνδεδεμένος. Είναι 26 ετών, Φοιτητής του τμήματος Λογιστικής & Χρηματοοικονομικής ΟΠΑ και μας γράφει από Αγία Παρασκευή (Αττική). Έχει γράψει 824 μηνύματα.

30-07-22

00:53
Είναι αργά Βάσω
BaSO4
Δραστήριο μέλος
Η Δρ. Βουλίδης αυτή τη στιγμή δεν είναι συνδεδεμένη. Είναι Φοιτήτρια του τμήματος Μηχανολόγων Μηχανικών ΑΠΘ. Έχει γράψει 752 μηνύματα.

30-07-22

00:54
Ποτέ δεν είναι αργά για μαθηματικάΕίναι αργά Βάσω

Επίσης, δεν έχω να κάνω κάτι πιο ενδιαφέρον τώρα.
asdfqwerty
Πολύ δραστήριο μέλος
Ο asdfqwerty αυτή τη στιγμή δεν είναι συνδεδεμένος. Είναι Φοιτητής του τμήματος Πληροφορικής & Τηλεπικοινωνιών ΕΚΠΑ. Έχει γράψει 1.347 μηνύματα.

30-07-22

02:21
γιατι δεν την ορισες στο 0μια άσκηση να ζεσταθούμε
View attachment 105833

Cade
Πολύ δραστήριο μέλος
Ο Cade αυτή τη στιγμή δεν είναι συνδεδεμένος. Είναι Απόφοιτος λυκείου. Έχει γράψει 871 μηνύματα.

30-07-22

09:45
γιατί σε κάποια στιγμή για να βρεις τον τύπο πρέπει να πάρεις περιορισμόγιατι δεν την ορισες στο 0, ή χανω κατι βραδυατικα
Joji
Επιφανές μέλος
Η Ιωάννα αυτή τη στιγμή δεν είναι συνδεδεμένη. Είναι 22 ετών και Φοιτήτρια του τμήματος Επιστημών της Εκπαίδευσης & Κοινωνικής Εργασίας Πατρών. Έχει γράψει 8.705 μηνύματα.

30-07-22

09:53
Θα στο κάνω εγώ περίμενε 

Alexandros28
Δραστήριο μέλος
Ο Alexandros28 αυτή τη στιγμή δεν είναι συνδεδεμένος. Έχει γράψει 750 μηνύματα.

30-07-22

10:45
Πέρασες πολιτικούς ΕΜΠ ρε @Cade ? Καλο πήξιμο

Cade
Πολύ δραστήριο μέλος
Ο Cade αυτή τη στιγμή δεν είναι συνδεδεμένος. Είναι Απόφοιτος λυκείου. Έχει γράψει 871 μηνύματα.

30-07-22

10:47
για πληροφορική θα πήγαινα, αλλά αναθεώρησα. να σαι καλάΠέρασες πολιτικούς ΕΜΠ ρε @Cade ? Καλο πήξιμο![]()

Alexandros28
Δραστήριο μέλος
Ο Alexandros28 αυτή τη στιγμή δεν είναι συνδεδεμένος. Έχει γράψει 750 μηνύματα.

30-07-22

10:48
σωστή επιλογή έκανες συνάδελφε 

asdfqwerty
Πολύ δραστήριο μέλος
Ο asdfqwerty αυτή τη στιγμή δεν είναι συνδεδεμένος. Είναι Φοιτητής του τμήματος Πληροφορικής & Τηλεπικοινωνιών ΕΚΠΑ. Έχει γράψει 1.347 μηνύματα.

30-07-22

11:26
ναι αλλα δεν βγαινει κανονικα f(x) = συνx παντου? αφου ειναι παραγωγισιμη στο Rγιατί σε κάποια στιγμή για να βρεις τον τύπο πρέπει να πάρεις περιορισμό
Χρήστες Βρείτε παρόμοια
-
Τα παρακάτω 0 μέλη και 1 επισκέπτες διαβάζουν μαζί με εσάς αυτό το θέμα:Tα παρακάτω 289 μέλη διάβασαν αυτό το θέμα:
- Maynard
- foxypup
- Pars3c
- mikke
- thepigod762
- 98.8%chimpanzee
- trifasikodiavasma
- ggl
- ioanna2007
- Hased Babis
- Mariosm.
- infection54
- Jesse_
- topg
- eukleidhs1821
- bill09876
- Debugging_Demon
- mali
- Joji
- Ness
- Helen06
- Scandal
- synthnightingale
- arko
- BillyTheKid
- Magigi
- Paragontas7000
- Unboxholics
- just some guy
- george777
- Wonderkid
- IceCream05
- Abiogenesis
- GeorgePap2003
- katia.m
- giannhs2001
- paul
- Praxis
- Apocalypse
- shezza94
- desp1naa
- rempelos42
- Sherlockina
- oups
- Dimgeb
- spring day
- KingOfPop
- mpapa
- Chrisa
- Physicsstudent
- tsiobieman
- P.Dam.
- persi
- theodoraooo
- PanosBat
- kost28
- mikriarchitectonissa
- BILL KEXA
- Dr. Gl. Luminous
- Eleftheria2
- Lathy
- bruh_234
- Miranda32
- SlimShady
- kallikd
- nucomer
- alpha.kappa
- Eeeee
- J.Cameron
- Marple
- Kitana
- F1L1PAS
- sophiaa
- VFD59
- papa2g
- το κοριτσι του μαη
- srg96
- Hopeful22
- Φινεύς
- Phys39
- Anta2004
- fairyelly
- Pharmacist01
- jYanniss
- Panagiotis849
- Kokro
- augustine
- Nikoletaant
- Mashiro@Iberan
- margik
- Mammy Nun
- Pastramis
- Σωτηρία
- Appolon
- panosveki
- Nickt23
- igeorgeoikonomo
- Steliosgkougkou
- QWERTY23
- Ameliak
- aladdin
- nimbus
- Φωτεινη Τζα.
- marian
- Georgekk
- xrisamikol
- the purge
- Dora140303
- Machris
- s93060
- Nikitas18
- Stif6
- stav.mdp
- damn
- aekaras 21
- Anthropaki
- Angelos12345
- ioannam
- Μάρκος Βασίλης
- skyway
- Nick2325
- Nala
- Manolo165
- Ryuzaki
- T C
- Devilshjoker
- El_
- George9989
- TonyMontanaEse
- globglogabgalab
- constansn
- barkos
- katerinavld
- fenia
- An_uknown_world
- Jimmis18
- maria2001
- KingPoul
- Xara
- thecrazycretan
- abcdefg12345
- Κλημεντίνη
- ale
- panagiotis G
- mechaniceng
- Giii
- calliope
- Tequila
- natalix
- Cortes
- Alexecon1991
- pepsoula
- Mariaathens
- Lia 2006
- 1205
- παιδι για κλαματα
- Alexandros36k
- alexd99
- chembam
- Specon
- Dr House
- panagiotis23
- Johnman97
- rhymeasylum
- Αννα Τσιτα
- KaterinaL
- Libertus
- LeoDel
- iminspain
- den antexw allh apotyxia
- Λαμπρινηη
- Mendel2003
- Ijt
- drosos
- Κορώνα
- JohnGreek
- Αρχηγος_β3
- alexandra_
- ΘανάσοςG4
- Dimitris9
- Birtjan
- george7cr7
- NickT
- Bgpanos
- JKTHEMAN
- nicole1982
- χημεια4λαιφ
- Stroka
- Kostakis45
- charmander
- leo41
- EiriniS20
- Αριάνα123
- MarilynSt
- iManosX13
- Nefh_
- Viedo
- Βλα
- suaimhneas
- george pol
- kristinbacktoschool
- fearless
- Rene2004
- Steffie88
- Slytherin
- jimnikol21
- Unseen skygge
- cel123
- jul25
- Thanos_D
- Ireneeneri
- tasost
- Mukumbura
- xxxtolis
-
Φορτώνει...
-
Το forum μας χρησιμοποιεί cookies για να βελτιστοποιήσει την εμπειρία σας.
Συνεχίζοντας την περιήγησή σας, συναινείτε στη χρήση cookies στον περιηγητή σας.