BaSO4
Δραστήριο μέλος
Η Δρ. Βουλίδης αυτή τη στιγμή δεν είναι συνδεδεμένη. Είναι Φοιτήτρια του τμήματος Μηχανολόγων Μηχανικών ΑΠΘ. Έχει γράψει 752 μηνύματα.

14-08-22

22:15
Έλα έλα το 'χειςΠρέπει να υπολογίσω αυτό το τέρας τώρα ;
Καλώς

με την αφαίρεση ειδικά θα βγει στο τσακ μπαμ
Cade
Πολύ δραστήριο μέλος
Ο Cade αυτή τη στιγμή δεν είναι συνδεδεμένος. Είναι Απόφοιτος λυκείου. Έχει γράψει 871 μηνύματα.

14-08-22

22:24
e-2/2 ναιβρήκα (e-2)/2 τ.μ.

BaSO4
Δραστήριο μέλος
Η Δρ. Βουλίδης αυτή τη στιγμή δεν είναι συνδεδεμένη. Είναι Φοιτήτρια του τμήματος Μηχανολόγων Μηχανικών ΑΠΘ. Έχει γράψει 752 μηνύματα.

14-08-22

22:28
Αν θέλεις καμία άλλη φορά καμία παρόμοια, έχω μπόλικες τέτοιες. 

Cade
Πολύ δραστήριο μέλος
Ο Cade αυτή τη στιγμή δεν είναι συνδεδεμένος. Είναι Απόφοιτος λυκείου. Έχει γράψει 871 μηνύματα.

14-08-22

22:43
Θα σε χω υπ'όψιν μουΑν θέλεις καμία άλλη φορά καμία παρόμοια, έχω μπόλικες τέτοιες.![]()

Cade
Πολύ δραστήριο μέλος
Ο Cade αυτή τη στιγμή δεν είναι συνδεδεμένος. Είναι Απόφοιτος λυκείου. Έχει γράψει 871 μηνύματα.

16-08-22

15:37
την ξανανεβάζω. Αν δεν απαντηθεί κάποια στιγμή θα επανέλθω με την λύση.
BaSO4
Δραστήριο μέλος
Η Δρ. Βουλίδης αυτή τη στιγμή δεν είναι συνδεδεμένη. Είναι Φοιτήτρια του τμήματος Μηχανολόγων Μηχανικών ΑΠΘ. Έχει γράψει 752 μηνύματα.

17-08-22

00:54
Ενδιαφέρουσα φαίνεται η άσκηση, αλλά προς το παρόν μπόρεσα να λύσω μόνο το Δ2 χωρίς τον τύπο της f.View attachment 106818
την ξανανεβάζω. Αν δεν απαντηθεί κάποια στιγμή θα επανέλθω με την λύση.

Ίσως αύριο, αν την ξαναδώ, κάνω κάτι καλύτερο...
Στο τέλος ήθελα να βάλω και το ότι "η ανίσωση είναι τελικά αδύνατη".
(ευπρόσδεκτη κάθε παρατήρηση)
Guest 586541
Επισκέπτης
αυτή τη στιγμή δεν είναι συνδεδεμέν. Δεν έχει γράψει κανένα μήνυμα.

17-08-22

00:59
Έχω μία λύση για ολόκληρο το θέμα που θα ανεβάσω αύριο, νομίζω σωστή, θα την ελέγξω και θα την καθαρογράψω πρώτα.
Όλα τα λεφτά το Δ1, θέλει τρομερά κόλπα για να βγει. Πολύ ωραίο το Δ4.
Όλα τα λεφτά το Δ1, θέλει τρομερά κόλπα για να βγει. Πολύ ωραίο το Δ4.
Alexandros28
Δραστήριο μέλος
Ο Alexandros28 αυτή τη στιγμή δεν είναι συνδεδεμένος. Έχει γράψει 750 μηνύματα.

17-08-22

01:04
Για λογους απλοποιησης θέτω τη παράσταση f(x)-e^e^x-lnx=ω
Για το Δ1 “lnίζωντας» και δυο μέλη προκύπτει ln(ω)>=ω-1
όμως για κάθε ω ισχύει lnω=<ω-1,άρα η σχέση συναληθευει στην ισότητα η οποία ισχύει αν και μονο αν ω=1 άρα και από κει προκύπτει ο τύπος της f. Αν κάνω κάποιο λάθος διορθώστε γιατί με το μάτι βγήκε περίπου
Για το Δ1 “lnίζωντας» και δυο μέλη προκύπτει ln(ω)>=ω-1
όμως για κάθε ω ισχύει lnω=<ω-1,άρα η σχέση συναληθευει στην ισότητα η οποία ισχύει αν και μονο αν ω=1 άρα και από κει προκύπτει ο τύπος της f. Αν κάνω κάποιο λάθος διορθώστε γιατί με το μάτι βγήκε περίπου
Guest 586541
Επισκέπτης
αυτή τη στιγμή δεν είναι συνδεδεμέν. Δεν έχει γράψει κανένα μήνυμα.

17-08-22

01:07
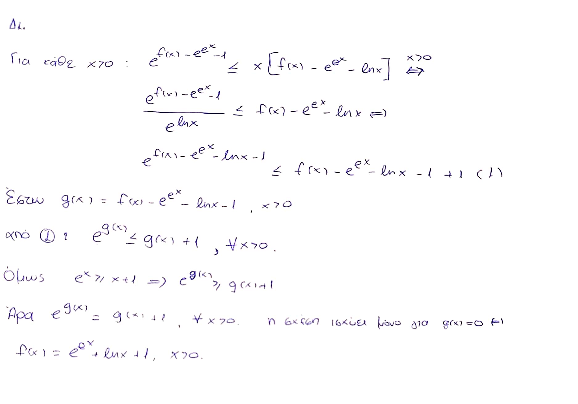
Επί της ουσίας για το Δ1 έκανα τα εξής:
Πέρασα ln κατά μέλη. Είπα ln(x(f(x)-e^e^x-lnx))=lnx+ln(f(x)-e^e^x-lnx) και μετά πρόσθεσα κατά μέλη το 1-lnx. Μετά από αυτό παίρνουμε e^f(x)-e^e^x-lnx>=1+ln(f(x)-e^e^x-lnx). Θέτουμε u=f(x)-e^e^x-lnx και βγαίνει lnu>=u-1. Όμως lnu<=u-1 όπως αποδεικνύεται εύκολα, άρα ισχύει το ίσον και είναι u=1, άρα f(x)=e^e^x+lnx+1, x>0.
@BaSO4 Πολύ ωραία η λύση σου. Έβγαινε πιο εύκολα αν είχες τον τύπο πάντως.
Η παράγωγος της συνάρτησης είναι θετική, άρα αυτή αύξουσα και συνεπώς 1-1. Αν θυμάμαι καλά καταλήγεις εύκολα μέσω πράξεων στο ότι f(f(x))<=f(1)<=>f(x)<=1 που είναι προφανώς άτοπο από τον τύπο, αφού ζητάει για x>=1.
Ελπίζω να μην σας έβγαλα τα μάτια.
Τα άλλα αύριο, γιατί είναι δύσκολο να τα γράψω έτσι.
Πέρασα ln κατά μέλη. Είπα ln(x(f(x)-e^e^x-lnx))=lnx+ln(f(x)-e^e^x-lnx) και μετά πρόσθεσα κατά μέλη το 1-lnx. Μετά από αυτό παίρνουμε e^f(x)-e^e^x-lnx>=1+ln(f(x)-e^e^x-lnx). Θέτουμε u=f(x)-e^e^x-lnx και βγαίνει lnu>=u-1. Όμως lnu<=u-1 όπως αποδεικνύεται εύκολα, άρα ισχύει το ίσον και είναι u=1, άρα f(x)=e^e^x+lnx+1, x>0.
@BaSO4 Πολύ ωραία η λύση σου. Έβγαινε πιο εύκολα αν είχες τον τύπο πάντως.
Η παράγωγος της συνάρτησης είναι θετική, άρα αυτή αύξουσα και συνεπώς 1-1. Αν θυμάμαι καλά καταλήγεις εύκολα μέσω πράξεων στο ότι f(f(x))<=f(1)<=>f(x)<=1 που είναι προφανώς άτοπο από τον τύπο, αφού ζητάει για x>=1.
Αυτόματη ένωση συνεχόμενων μηνυμάτων:
Ελπίζω να μην σας έβγαλα τα μάτια.
Τα άλλα αύριο, γιατί είναι δύσκολο να τα γράψω έτσι.
Cade
Πολύ δραστήριο μέλος
Ο Cade αυτή τη στιγμή δεν είναι συνδεδεμένος. Είναι Απόφοιτος λυκείου. Έχει γράψει 871 μηνύματα.

17-08-22

10:08
όλοι οι τρόποι σωστοί, μπράβο
Δ1 7μ, Δ2 6μ, Δ3 4μ, Δ4 8μ
Δ1 7μ, Δ2 6μ, Δ3 4μ, Δ4 8μ

Guest 586541
Επισκέπτης
αυτή τη στιγμή δεν είναι συνδεδεμέν. Δεν έχει γράψει κανένα μήνυμα.

17-08-22

13:13
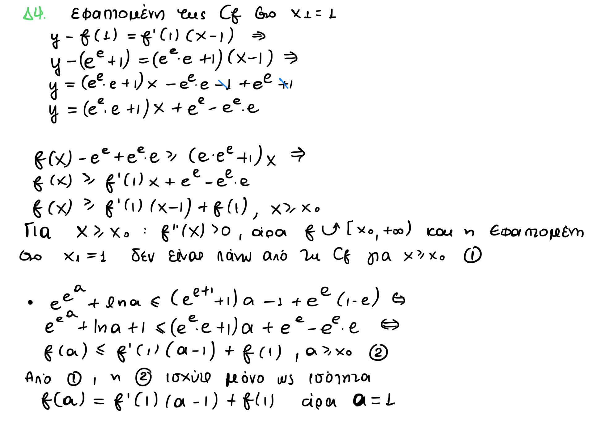
Δ3, Δ4. Ελπίζω να καταλαβαίνετε τα γράμματά μου, καλύτερα δεν μπορώ να κάνω, αν δεν βγάζετε άκρη με κάτι πείτε μου. Αν δεν βγάζετε άκρη γενικά πάλι πείτε μου, για να την γράψω σε LATEX.
Στο Δ4 ο θεματοθέτης μου διευκρίνισε ότι η πρώτη ανισότητα είναι για x>=x0.
Ίσως να μην ειναι αρκετά σαφής η απάντηση εκεί που αναφέρομαι στην μονοτονία της g. Η g' γνησίως αύξουσα στο (x0,+oo) και άρα αυτή "ανεβαίνει", στο διάστημα που θέλουμε . Και επειδή x0<1, το πρόσημο της g' αλλάζει εκατέρωθεν του σημείου μηδενισμού της, του 1. Άρα και η μονοτονία της g, και το 1 θα είναι η θέση ολικού ελαχίστου της g στο διάστημα (x0,+oo).
Στο Δ4 ο θεματοθέτης μου διευκρίνισε ότι η πρώτη ανισότητα είναι για x>=x0.
Ίσως να μην ειναι αρκετά σαφής η απάντηση εκεί που αναφέρομαι στην μονοτονία της g. Η g' γνησίως αύξουσα στο (x0,+oo) και άρα αυτή "ανεβαίνει", στο διάστημα που θέλουμε . Και επειδή x0<1, το πρόσημο της g' αλλάζει εκατέρωθεν του σημείου μηδενισμού της, του 1. Άρα και η μονοτονία της g, και το 1 θα είναι η θέση ολικού ελαχίστου της g στο διάστημα (x0,+oo).
Συνημμένα
BaSO4
Δραστήριο μέλος
Η Δρ. Βουλίδης αυτή τη στιγμή δεν είναι συνδεδεμένη. Είναι Φοιτήτρια του τμήματος Μηχανολόγων Μηχανικών ΑΠΘ. Έχει γράψει 752 μηνύματα.

17-08-22

15:08
Guest 586541
Επισκέπτης
αυτή τη στιγμή δεν είναι συνδεδεμέν. Δεν έχει γράψει κανένα μήνυμα.

17-08-22

15:35
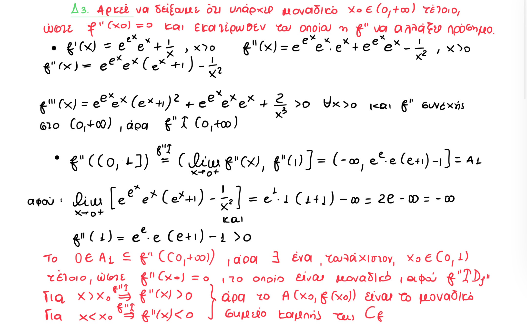
Επί της ουσίας κάνουμε το ίδιο στο Δ3, με την διαφορά πως αντί να πάρω το f''(1) πήρα όριο.Η αλήθεια είναι ότι βαριόμουν αρκετά χθες το βράδυ.
(πείτε αν η λογική είναι λάθος, γιατί μπορεί να μου ξέφυγε κάτι)
Ωραία και η λύση του Δ4!
Cade
Πολύ δραστήριο μέλος
Ο Cade αυτή τη στιγμή δεν είναι συνδεδεμένος. Είναι Απόφοιτος λυκείου. Έχει γράψει 871 μηνύματα.

17-08-22

15:36
πες μου ότι όντως έκατσες να τη λύσεις χθες βράδυ(Ελπίζω να μη μου ξέφυγε κάτι)

όλα σωστά, απλώς δε πρέπει να δείξεις ότι πράγματι το χο είναι μικρότερο του 1;
edit: το έδειξες στο δ3, όλα καλά
Guest 586541
Επισκέπτης
αυτή τη στιγμή δεν είναι συνδεδεμέν. Δεν έχει γράψει κανένα μήνυμα.

17-08-22

15:36
Εδώ όπου (x0,+oo) ήθελα να γράψω [x0,+oo).Δ3, Δ4. Ελπίζω να καταλαβαίνετε τα γράμματά μου, καλύτερα δεν μπορώ να κάνω, αν δεν βγάζετε άκρη με κάτι πείτε μου. Αν δεν βγάζετε άκρη γενικά πάλι πείτε μου, για να την γράψω σε LATEX.
Στο Δ4 ο θεματοθέτης μου διευκρίνισε ότι η πρώτη ανισότητα είναι για x>=x0.
Ίσως να μην ειναι αρκετά σαφής η απάντηση εκεί που αναφέρομαι στην μονοτονία της g. Η g' γνησίως αύξουσα στο (x0,+oo) και άρα αυτή "ανεβαίνει", στο διάστημα που θέλουμε . Και επειδή x0<1, το πρόσημο της g' αλλάζει εκατέρωθεν του σημείου μηδενισμού της, του 1. Άρα και η μονοτονία της g, και το 1 θα είναι η θέση ολικού ελαχίστου της g στο διάστημα (x0,+oo).
BaSO4
Δραστήριο μέλος
Η Δρ. Βουλίδης αυτή τη στιγμή δεν είναι συνδεδεμένη. Είναι Φοιτήτρια του τμήματος Μηχανολόγων Μηχανικών ΑΠΘ. Έχει γράψει 752 μηνύματα.

17-08-22

15:47
Με έπιασε το πείσμα εκείνη την ώρα.πες μου ότι όντως έκατσες να τη λύσεις χθες βράδυ![]()

Στην εικόνα Α1, που χρησιμοποίησα για να δείξω τη μοναδικότητα της ρίζας, το διάστημα αναφέρεται στο (0,1] και το f’’(1) είναι διάφορο του μηδέν, άρα το xo δεν είναι μικρότερο του 1; Παρόλα αυτά, έπρεπε μάλλον να το αναφέρω κάπου. Thanks για τη διευκρίνιση.απλώς δε πρέπει να δείξεις ότι πράγματι το χο είναι μικρότερο του 1;

edit: τώρα είδα το edit σου
Αυτόματη ένωση συνεχόμενων μηνυμάτων:
Στην αρχή, πήγα κι εγώ να βρω το όριο, αλλά εκείνη τη στιγμή μου φάνηκε μπελαλίδικο και είπα να πάω με μια τιμή της f’’.Επί της ουσίας κάνουμε το ίδιο στο Δ3, με την διαφορά πως αντί να πάρω το f''(1) πήρα όριο.
Cade
Πολύ δραστήριο μέλος
Ο Cade αυτή τη στιγμή δεν είναι συνδεδεμένος. Είναι Απόφοιτος λυκείου. Έχει γράψει 871 μηνύματα.

18-08-22

21:09
Τη βρήκα στο ίντερνετ και μου κέντρισε το ενδιαφέρον...δεν ξέρω τι επιφυλάσσει, πάντως είναι ψαρωτική
BaSO4
Δραστήριο μέλος
Η Δρ. Βουλίδης αυτή τη στιγμή δεν είναι συνδεδεμένη. Είναι Φοιτήτρια του τμήματος Μηχανολόγων Μηχανικών ΑΠΘ. Έχει γράψει 752 μηνύματα.

19-08-22

13:01
Θα έπρεπε να δίνεται το πεδίου ορισμού της g ή όχι;View attachment 107005
Τη βρήκα στο ίντερνετ και μου κέντρισε το ενδιαφέρον...δεν ξέρω τι επιφυλάσσει, πάντως είναι ψαρωτική
ultraviolence
Συντονιστής
Ο ultraviolence αυτή τη στιγμή δεν είναι συνδεδεμένος. Είναι Πτυχιούχος. Έχει γράψει 16.358 μηνύματα.

19-08-22

13:11
Χαίρομαι να βλέπω νέα παιδιά να ασχολούνται με την επίλυση ασκήσεων στα μαθηματικά ενώ οι πανελλήνιες είναι παρελθόν. Αυτό δείχνει ότι τα αγαπήσατε, κατά κάποιο τρόπο. Κι εγώ πριν κάποια χρόνια, έκανα το ίδιο και μου θυμίσατε αυτή την εποχή, σας ευχαριστώ.
Μπράβο σας!

Χρήστες Βρείτε παρόμοια
-
Τα παρακάτω 0 μέλη και 1 επισκέπτες διαβάζουν μαζί με εσάς αυτό το θέμα:Tα παρακάτω 289 μέλη διάβασαν αυτό το θέμα:
- Maynard
- foxypup
- Pars3c
- mikke
- thepigod762
- 98.8%chimpanzee
- trifasikodiavasma
- ggl
- ioanna2007
- Hased Babis
- Mariosm.
- infection54
- Jesse_
- topg
- eukleidhs1821
- bill09876
- Debugging_Demon
- mali
- Joji
- Ness
- Helen06
- Scandal
- synthnightingale
- arko
- BillyTheKid
- Magigi
- Paragontas7000
- Unboxholics
- just some guy
- george777
- Wonderkid
- IceCream05
- Abiogenesis
- GeorgePap2003
- katia.m
- giannhs2001
- paul
- Praxis
- Apocalypse
- shezza94
- desp1naa
- rempelos42
- Sherlockina
- oups
- Dimgeb
- spring day
- KingOfPop
- mpapa
- Chrisa
- Physicsstudent
- tsiobieman
- P.Dam.
- persi
- theodoraooo
- PanosBat
- kost28
- mikriarchitectonissa
- BILL KEXA
- Dr. Gl. Luminous
- Eleftheria2
- Lathy
- bruh_234
- Miranda32
- SlimShady
- kallikd
- nucomer
- alpha.kappa
- Eeeee
- J.Cameron
- Marple
- Kitana
- F1L1PAS
- sophiaa
- VFD59
- papa2g
- το κοριτσι του μαη
- srg96
- Hopeful22
- Φινεύς
- Phys39
- Anta2004
- fairyelly
- Pharmacist01
- jYanniss
- Panagiotis849
- Kokro
- augustine
- Nikoletaant
- Mashiro@Iberan
- margik
- Mammy Nun
- Pastramis
- Σωτηρία
- Appolon
- panosveki
- Nickt23
- igeorgeoikonomo
- Steliosgkougkou
- QWERTY23
- Ameliak
- aladdin
- nimbus
- Φωτεινη Τζα.
- marian
- Georgekk
- xrisamikol
- the purge
- Dora140303
- Machris
- s93060
- Nikitas18
- Stif6
- stav.mdp
- damn
- aekaras 21
- Anthropaki
- Angelos12345
- ioannam
- Μάρκος Βασίλης
- skyway
- Nick2325
- Nala
- Manolo165
- Ryuzaki
- T C
- Devilshjoker
- El_
- George9989
- TonyMontanaEse
- globglogabgalab
- constansn
- barkos
- katerinavld
- fenia
- An_uknown_world
- Jimmis18
- maria2001
- KingPoul
- Xara
- thecrazycretan
- abcdefg12345
- Κλημεντίνη
- ale
- panagiotis G
- mechaniceng
- Giii
- calliope
- Tequila
- natalix
- Cortes
- Alexecon1991
- pepsoula
- Mariaathens
- Lia 2006
- 1205
- παιδι για κλαματα
- Alexandros36k
- alexd99
- chembam
- Specon
- Dr House
- panagiotis23
- Johnman97
- rhymeasylum
- Αννα Τσιτα
- KaterinaL
- Libertus
- LeoDel
- iminspain
- den antexw allh apotyxia
- Λαμπρινηη
- Mendel2003
- Ijt
- drosos
- Κορώνα
- JohnGreek
- Αρχηγος_β3
- alexandra_
- ΘανάσοςG4
- Dimitris9
- Birtjan
- george7cr7
- NickT
- Bgpanos
- JKTHEMAN
- nicole1982
- χημεια4λαιφ
- Stroka
- Kostakis45
- charmander
- leo41
- EiriniS20
- Αριάνα123
- MarilynSt
- iManosX13
- Nefh_
- Viedo
- Βλα
- suaimhneas
- george pol
- kristinbacktoschool
- fearless
- Rene2004
- Steffie88
- Slytherin
- jimnikol21
- Unseen skygge
- cel123
- jul25
- Thanos_D
- Ireneeneri
- tasost
- Mukumbura
- xxxtolis
-
Φορτώνει...
-
Το forum μας χρησιμοποιεί cookies για να βελτιστοποιήσει την εμπειρία σας.
Συνεχίζοντας την περιήγησή σας, συναινείτε στη χρήση cookies στον περιηγητή σας.