Cade
Πολύ δραστήριο μέλος
Ο Cade αυτή τη στιγμή δεν είναι συνδεδεμένος. Είναι Απόφοιτος λυκείου. Έχει γράψει 871 μηνύματα.

18-04-22

22:43
f κοιλη => f' γνησιως φθινουσα
χ < 1 => f'(x) > f'(1) > 0 => f'(x) > 0 για χ < 1 => f γνησιως αυξουσα στο (-οο, 1]
αν κανουμε μελετη ακροτατων στην h(x) = x * e^(1-x) βλεπουμε οτι εχει ολικο μεγιστο το 1 στο χ = 1
δηλαδη χ * e^(1-x) <= 1 για καθε χ στο R το ισον μονο στο 1
χ <= 1 => f(x) <= f(1) < 0 => f(x) < 0 για καθε χ <= 1 αν βαλουμε οπου χ -> h(x) εχουμε το ζητουμενο
Αυτόματη ένωση συνεχόμενων μηνυμάτων:
α
2 ασκησεις και απο εμενα
Αν έχω κάνει κάποιο λάθος πες μου, τέτοιες ώρες συνήθως είμαι λίγο ζαλισμενος

Guest 831328
Επισκέπτης
αυτή τη στιγμή δεν είναι συνδεδεμέν. Δεν έχει γράψει κανένα μήνυμα.
Guest 004218
Επισκέπτης
αυτή τη στιγμή δεν είναι συνδεδεμέν. Δεν έχει γράψει κανένα μήνυμα.

19-04-22

11:18
Παιδιά μπορεί κάποιος να βοηθήσει σε αυτή εδω;
eukleidhs1821
Διάσημο μέλος
Ο eukleidhs1821 αυτή τη στιγμή δεν είναι συνδεδεμένος. Είναι Πτυχιούχος του τμήματος Ιατρικής Ιωαννίνων (Ιωάννινα) και μας γράφει από Καινούργιο (Ηράκλειο). Έχει γράψει 3.965 μηνύματα.

19-04-22

15:02
το πρωτο φανταζομαι θα σε δυσκολεψει.ενας προχειρος τροπος που μου ερχεται ειναι.φερνω 2 καθετες ΔΖ καθετη στην ΑΒ και ΓΚ καθετη στην ΑΒ.τα τριγωνα ΑΔΖ και ΓΚΒ ειναι ισα διοτι ΔΖ=ΓΚ ως απεναντι πλευρες ορθογωνιου και ΑΔ=ΓΒ ως πλευρες ισοσκελους τραπεζιου.επομενως ΑΖ=ΒΚ.
το κομματι ΖΚ=χ προφανως.
ΟΖ=2(ακτινα κυκλου)-ΑΖ
ΑΖ=4-χ-ΒΚ
ΑΖ=4-χ-ΑΖ
ΑΖ=(4-χ)/2
αρα ΟΖ=2-(4-χ)/2=χ/2
πυθαγορειο θεωρημα στο ΟΔΖ.
ΔΖ^2=4-ΟΖ^2=4-χ^2/4=(16-χ^2)/4
αρα ΔΖ=ριζα(16-χ^2)/2
μετα τυπος εμβαδον τραπεζιου (βαση μεγαλη+βαση μικρη)*υψος/2=(χ+4)ριζα(16-χ^2)/4
το κομματι ΖΚ=χ προφανως.
ΟΖ=2(ακτινα κυκλου)-ΑΖ
ΑΖ=4-χ-ΒΚ
ΑΖ=4-χ-ΑΖ
ΑΖ=(4-χ)/2
αρα ΟΖ=2-(4-χ)/2=χ/2
πυθαγορειο θεωρημα στο ΟΔΖ.
ΔΖ^2=4-ΟΖ^2=4-χ^2/4=(16-χ^2)/4
αρα ΔΖ=ριζα(16-χ^2)/2
μετα τυπος εμβαδον τραπεζιου (βαση μεγαλη+βαση μικρη)*υψος/2=(χ+4)ριζα(16-χ^2)/4
Alexandros28
Δραστήριο μέλος
Ο Alexandros28 αυτή τη στιγμή δεν είναι συνδεδεμένος. Έχει γράψει 750 μηνύματα.

19-04-22

15:12
Εγώ είχα σκεφτεί άλλον τρόπο για το πρώτο ερώτημα. Έστω Ε το μέσο της ΓΔ. Τότε για το τρίγωνο ΟΔΓ, το οποιο ειναι ισοσκελες καθώς δυο πλευρές του αποτελούν ακτίνα του κύκλου, το ύψος του θα ταυτίζεται με την διάμεσο της πλευράς ΔΓ. Το ύψος του τριγώνου ταυτίζεται με το ύψος του τραπεζιού, άρα με πυθαγόρειο για το τρίγωνο ΟΕΔ ή ΟΕΓ προσδιορίζεται το ύψος του τραπεζιού συναρτήσει της πλευράς x. Τα υπόλοιπα ερωτήματα αντιμετωπίζονται εύκολα
eukleidhs1821
Διάσημο μέλος
Ο eukleidhs1821 αυτή τη στιγμή δεν είναι συνδεδεμένος. Είναι Πτυχιούχος του τμήματος Ιατρικής Ιωαννίνων (Ιωάννινα) και μας γράφει από Καινούργιο (Ηράκλειο). Έχει γράψει 3.965 μηνύματα.

19-04-22

15:21
σωστος ακομα πιο ωραιος τροπος.εγω το πηγα αυτο καθε αυτο το υψος για αυτο ισως βγηκε πιο συνθετο.εσυ το εξισωσες με τη μια και βγηκε πιο ευκολοΕγώ είχα σκεφτεί άλλον τρόπο για το πρώτο ερώτημα. Έστω Ε το μέσο της ΓΔ. Τότε για το τρίγωνο ΟΔΓ, το οποιο ειναι ισοσκελες καθώς δυο πλευρές του αποτελούν ακτίνα του κύκλου, το ύψος του θα ταυτίζεται με την διάμεσο της πλευράς ΔΓ. Το ύψος του τριγώνου ταυτίζεται με το ύψος του τραπεζιού, άρα με πυθαγόρειο για το τρίγωνο ΟΕΔ ή ΟΕΓ προσδιορίζεται το ύψος του τραπεζιού συναρτήσει της πλευράς x. Τα υπόλοιπα ερωτήματα αντιμετωπίζονται εύκολα
asdfqwerty
Πολύ δραστήριο μέλος
Ο asdfqwerty αυτή τη στιγμή δεν είναι συνδεδεμένος. Είναι Φοιτητής του τμήματος Πληροφορικής & Τηλεπικοινωνιών ΕΚΠΑ. Έχει γράψει 1.347 μηνύματα.

19-04-22

19:05
μπραβο !View attachment 101038
View attachment 101039
Αν έχω κάνει κάποιο λάθος πες μου, τέτοιες ώρες συνήθως είμαι λίγο ζαλισμενος![]()
θα ανεβασω κατα το βραδυ αν ειναι λυση για το 2ο θεμα
Guest 004218
Επισκέπτης
αυτή τη στιγμή δεν είναι συνδεδεμέν. Δεν έχει γράψει κανένα μήνυμα.

19-04-22

22:05
Τώρα αυτό ειναι για Θεμα Β πανελλαδικων ρε παιδιά; Μου φαίνεται λίγο τραβηγμένο δεν ξερωτο πρωτο φανταζομαι θα σε δυσκολεψει.ενας προχειρος τροπος που μου ερχεται ειναι.φερνω 2 καθετες ΔΖ καθετη στην ΑΒ και ΓΚ καθετη στην ΑΒ.τα τριγωνα ΑΔΖ και ΓΚΒ ειναι ισα διοτι ΔΖ=ΓΚ ως απεναντι πλευρες ορθογωνιου και ΑΔ=ΓΒ ως πλευρες ισοσκελους τραπεζιου.επομενως ΑΖ=ΒΚ.
το κομματι ΖΚ=χ προφανως.
ΟΖ=2(ακτινα κυκλου)-ΑΖ
ΑΖ=4-χ-ΒΚ
ΑΖ=4-χ-ΑΖ
ΑΖ=(4-χ)/2
αρα ΟΖ=2-(4-χ)/2=χ/2
πυθαγορειο θεωρημα στο ΟΔΖ.
ΔΖ^2=4-ΟΖ^2=4-χ^2/4=(16-χ^2)/4
αρα ΔΖ=ριζα(16-χ^2)/2
μετα τυπος εμβαδον τραπεζιου (βαση μεγαλη+βαση μικρη)*υψος/2=(χ+4)ριζα(16-χ^2)/4
Cade
Πολύ δραστήριο μέλος
Ο Cade αυτή τη στιγμή δεν είναι συνδεδεμένος. Είναι Απόφοιτος λυκείου. Έχει γράψει 871 μηνύματα.

19-04-22

22:06
Γιατί βρε τι εχειΤώρα αυτό ειναι για Θεμα Β πανελλαδικων ρε παιδιά; Μου φαίνεται λίγο τραβηγμένο δεν ξερω
Guest 004218
Επισκέπτης
αυτή τη στιγμή δεν είναι συνδεδεμέν. Δεν έχει γράψει κανένα μήνυμα.

19-04-22

22:08
Δεν ξέρω ανάλογες ασκήσεις σε στυλ προβλημάτων όπως αυτο βλεπω συνήθως σε Γ ή και Δ θέμα. Συνήθως τα Β είναι πιο mainstreamΓιατί βρε τι εχει
Cade
Πολύ δραστήριο μέλος
Ο Cade αυτή τη στιγμή δεν είναι συνδεδεμένος. Είναι Απόφοιτος λυκείου. Έχει γράψει 871 μηνύματα.

19-04-22

22:08
είμαι περίεργοςμπραβο !
θα ανεβασω κατα το βραδυ αν ειναι λυση για το 2ο θεμα
Αυτόματη ένωση συνεχόμενων μηνυμάτων:
Θα μπορούσε να πέσει ωστόσο...εντάξει άντε να μην βγάλεις το μισό β1 πόσο να χάσεις ; Όλα τα άλλα βγαίνουν κανονικά αφού σου δίνει και τυποΔεν ξέρω ανάλογες ασκήσεις σε στυλ προβλημάτων όπως αυτο βλεπω συνήθως σε Γ ή και Δ θέμα. Συνήθως τα Β είναι πιο mainstream
Guest 004218
Επισκέπτης
αυτή τη στιγμή δεν είναι συνδεδεμέν. Δεν έχει γράψει κανένα μήνυμα.

19-04-22

22:12
Ναι δεν έχεις άδικο. Απλά μάλλον εγω τα έπαθα λίγο στην αρχήείμαι περίεργος
Αυτόματη ένωση συνεχόμενων μηνυμάτων:
Θα μπορούσε να πέσει ωστόσο...εντάξει άντε να μην βγάλεις το μισό β1 πόσο να χάσεις ; Όλα τα άλλα βγαίνουν κανονικά αφού σου δίνει και τυπο
eukleidhs1821
Διάσημο μέλος
Ο eukleidhs1821 αυτή τη στιγμή δεν είναι συνδεδεμένος. Είναι Πτυχιούχος του τμήματος Ιατρικής Ιωαννίνων (Ιωάννινα) και μας γράφει από Καινούργιο (Ηράκλειο). Έχει γράψει 3.965 μηνύματα.

20-04-22

00:06
β θεμα σε καμια περιπτωση.γ θεμα ανετα μπορει να πεσειΤώρα αυτό ειναι για Θεμα Β πανελλαδικων ρε παιδιά; Μου φαίνεται λίγο τραβηγμένο δεν ξερω
Cade
Πολύ δραστήριο μέλος
Ο Cade αυτή τη στιγμή δεν είναι συνδεδεμένος. Είναι Απόφοιτος λυκείου. Έχει γράψει 871 μηνύματα.

20-04-22

00:10
Είχε πέσει στις επαναληπτικές του 17β θεμα σε καμια περιπτωση.γ θεμα ανετα μπορει να πεσει
eukleidhs1821
Διάσημο μέλος
Ο eukleidhs1821 αυτή τη στιγμή δεν είναι συνδεδεμένος. Είναι Πτυχιούχος του τμήματος Ιατρικής Ιωαννίνων (Ιωάννινα) και μας γράφει από Καινούργιο (Ηράκλειο). Έχει γράψει 3.965 μηνύματα.

20-04-22

00:19
ως β θεμα? τι να πω.αμα γινει αυτο θα γινει μακελειο.Είχε πέσει στις επαναληπτικές του 17
Cade
Πολύ δραστήριο μέλος
Ο Cade αυτή τη στιγμή δεν είναι συνδεδεμένος. Είναι Απόφοιτος λυκείου. Έχει γράψει 871 μηνύματα.

21-04-22

22:52
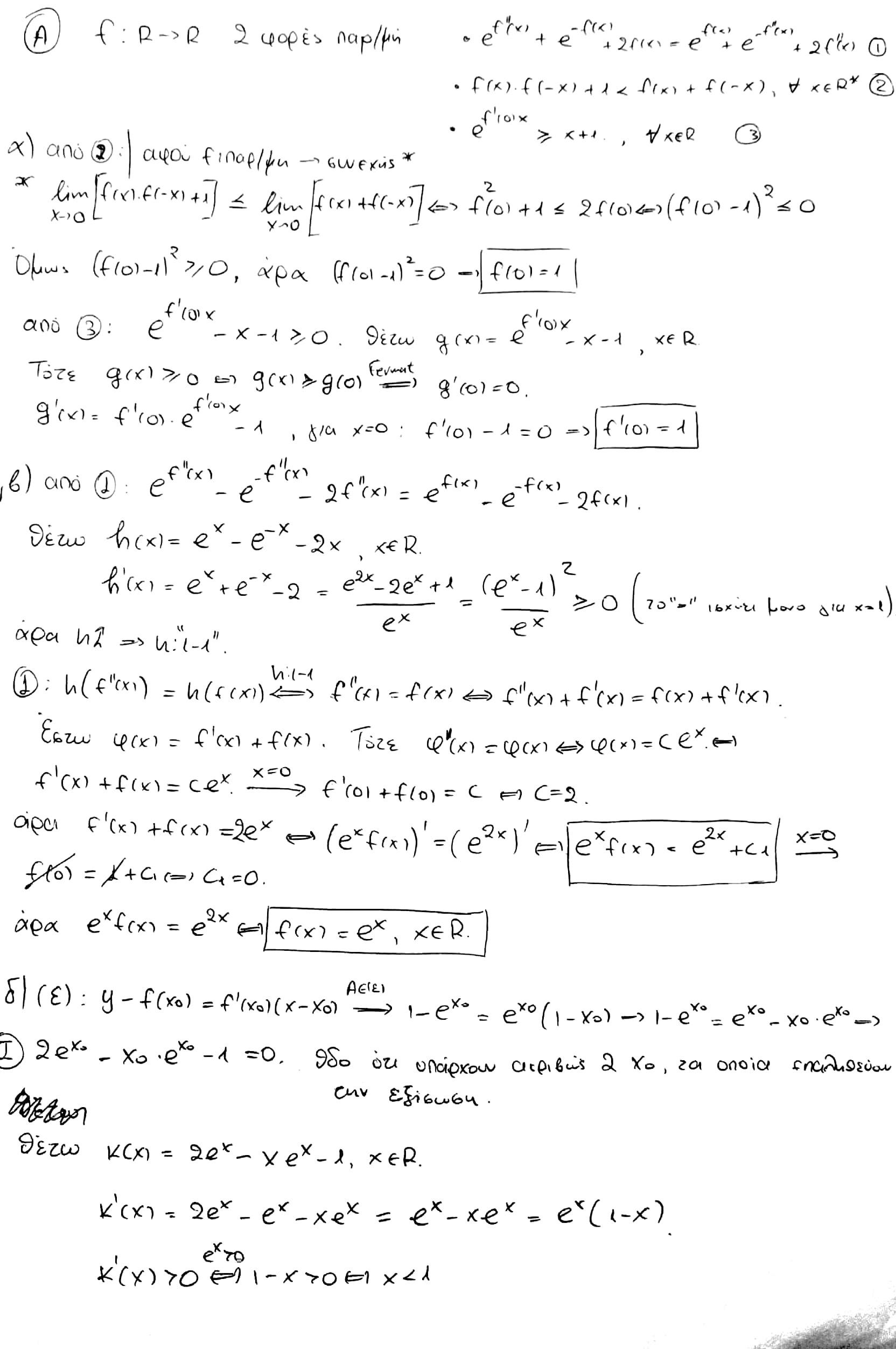
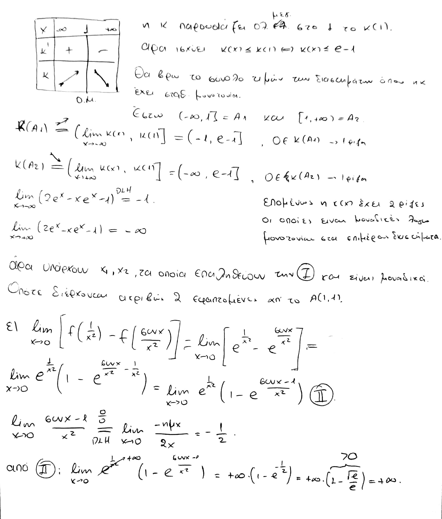
@asdfqwerty τώρα είναι ολοκληρωμένη πιστεύω.
Δύσκολη άσκηση. Με κούρασε αρκετα
***Χρειάζεται απόδειξη και για το "1-1" καθώς η μονοτονία μπορεί να αλλάζει, όμως αποδεικνύεται πολύ εύκολα.
Δύσκολη άσκηση. Με κούρασε αρκετα
***Χρειάζεται απόδειξη και για το "1-1" καθώς η μονοτονία μπορεί να αλλάζει, όμως αποδεικνύεται πολύ εύκολα.
Cade
Πολύ δραστήριο μέλος
Ο Cade αυτή τη στιγμή δεν είναι συνδεδεμένος. Είναι Απόφοιτος λυκείου. Έχει γράψει 871 μηνύματα.

15-05-22

00:41
asdfqwerty
Πολύ δραστήριο μέλος
Ο asdfqwerty αυτή τη στιγμή δεν είναι συνδεδεμένος. Είναι Φοιτητής του τμήματος Πληροφορικής & Τηλεπικοινωνιών ΕΚΠΑ. Έχει γράψει 1.347 μηνύματα.

15-05-22

09:33
ωραια ασκηση.. γενικα πιστευω οτι ισως δουμε καποιο "πρωτοτυπο" ερωτημα για τις πανελληνιες που να μπλεκει το ολοκληρωμα (περα απο υλογισμο, ανισωτητα) μιας και μπαινει στην υλη μετα 2 χρονια απουσιας.
F1L1PAS
Νεοφερμένο μέλος
Ο F1L1PAS αυτή τη στιγμή δεν είναι συνδεδεμένος. Είναι 20 ετών και Φοιτητής του τμήματος Ηλεκτρολόγων Μηχανικών & Μηχανικών Υπολογιστών Πολυτεχνείου Κρήτης. Έχει γράψει 85 μηνύματα.

15-05-22

13:00
Γεια σας, μόλις ανακάλυψα το forum και αυτό είναι το πρώτο μου μήνυμα.

Προσπάθησα να τη λύσω την άσκηση... (ελπίζω να την έλυσα σωστά

Η g(x) είναι περιττή, άρα το ολοκλήρωμά της σε ένα συμμετρικό διάστημα (-α,α) είναι 0. Άρα το ολοκλήρωμα στα αριστερά θα πρέπει να ισούται ή να είναι μικρότερο από 0. Για να είναι μικρότερο ή ίσο από 0, θα πρέπει το εσωτερικό του ολοκληρώματος να ισούται ή να είναι ίσο με 0 (1). Το εσωτερικό όμως είναι υψωμένο σε έναν άρτιο αριθμό, άρα είναι μεγαλύτερο ή ίσο με το μηδέν (2). Από (1) και (2) βρίσκουμε ότι πρέπει: (x^2)f'(x)-1+lnx=0 => f'(x)=(1-lnx)/x^2 .
Βρίσκουμε το ολοκλήρωμά του για να βρούμε την f(x):
S [(1-lnx)/x^2)] dx = S [ (1/x^2) - (lnx/x^2) ] dx = -1/x - S [lnx/(x^2)] dx (3)
Θα ασχοληθούμε με το - S [lnx/(x^2)] dx (4)
θέτουμε 1/χ=u
Άρα: 1/x=u => x=1/u => lnx=ln(1/u)
και: 1/x=u => (-1/x^2)dx=du
(4) => S [ln(1/u)] du = S (ln1 - lnu) du = -S (lnu) du = -S [(u)' * lnu]du = - ulnu + S [x*(1/x)] du = - ulnu + u + c = u(1-lnu) + c
Αντικαθιστάς το u=1/x
οπότε βρίσκεις το (4), το οποίο το βαζεις στην (3) και έτσι βρίσκεις την f(x) (με c μέσα)
Σορρυ, αλλά δεν ξέρω πώς θα βρεις το c...
Όποιος θέλει, ας μου πει αν έχω κάνει κάποιο λάθος και άλλους τρόπους λύσης

Cade
Πολύ δραστήριο μέλος
Ο Cade αυτή τη στιγμή δεν είναι συνδεδεμένος. Είναι Απόφοιτος λυκείου. Έχει γράψει 871 μηνύματα.

15-05-22

13:17
Σωστά απροβλεψια μου, έπρεπε να δώσω και μια τιμή για την f. Πάντως η ουσία είναι αλλού μπράβο.Γεια σας, μόλις ανακάλυψα το forum και αυτό είναι το πρώτο μου μήνυμα.
Προσπάθησα να τη λύσω την άσκηση... (ελπίζω να την έλυσα σωστά)
Η g(x) είναι περιττή, άρα το ολοκλήρωμά της σε ένα συμμετρικό διάστημα (-α,α) είναι 0. Άρα το ολοκλήρωμα στα αριστερά θα πρέπει να ισούται ή να είναι μικρότερο από 0. Για να είναι μικρότερο ή ίσο από 0, θα πρέπει το εσωτερικό του ολοκληρώματος να ισούται ή να είναι ίσο με 0 (1). Το εσωτερικό όμως είναι υψωμένο σε έναν άρτιο αριθμό, άρα είναι μεγαλύτερο ή ίσο με το μηδέν (2). Από (1) και (2) βρίσκουμε ότι πρέπει: (x^2)f'(x)-1+lnx=0 => f'(x)=(1-lnx)/x^2 .
Βρίσκουμε το ολοκλήρωμά του για να βρούμε την f(x):
S [(1-lnx)/x^2)] dx = S [ (1/x^2) - (lnx/x^2) ] dx = -1/x - S [lnx/(x^2)] dx (3)
Θα ασχοληθούμε με το - S [lnx/(x^2)] dx (4)
θέτουμε 1/χ=u
Άρα: 1/x=u => x=1/u => lnx=ln(1/u)
και: 1/x=u => (-1/x^2)dx=du
(4) => S [ln(1/u)] du = S (ln1 - lnu) du = -S (lnu) du = -S [(u)' * lnu]du = - ulnu + S [x*(1/x)] du = - ulnu + u + c = u(1-lnu) + c
Αντικαθιστάς το u=1/x
οπότε βρίσκεις το (4), το οποίο το βαζεις στην (3) και έτσι βρίσκεις την f(x) (με c μέσα)
Σορρυ, αλλά δεν ξέρω πώς θα βρεις το c...
Όποιος θέλει, ας μου πει αν έχω κάνει κάποιο λάθος και άλλους τρόπους λύσης![]()
Ωστόσο δε χρειαζόταν να υπολογίσεις το ολοκλήρωμα, με λίγη παρατήρηση φαίνεται πως είναι η lnx/x + c
Χρήστες Βρείτε παρόμοια
-
Τα παρακάτω 0 μέλη και 1 επισκέπτες διαβάζουν μαζί με εσάς αυτό το θέμα:Tα παρακάτω 290 μέλη διάβασαν αυτό το θέμα:
- Maynard
- foxypup
- Pars3c
- mikke
- hihat1
- thepigod762
- 98.8%chimpanzee
- trifasikodiavasma
- ggl
- ioanna2007
- Hased Babis
- Mariosm.
- infection54
- Jesse_
- topg
- eukleidhs1821
- bill09876
- Debugging_Demon
- mali
- Joji
- Ness
- Helen06
- Scandal
- synthnightingale
- arko
- BillyTheKid
- Magigi
- Paragontas7000
- Unboxholics
- just some guy
- george777
- Wonderkid
- IceCream05
- Abiogenesis
- GeorgePap2003
- katia.m
- giannhs2001
- paul
- Praxis
- Apocalypse
- shezza94
- desp1naa
- rempelos42
- Sherlockina
- oups
- Dimgeb
- spring day
- KingOfPop
- mpapa
- Chrisa
- Physicsstudent
- tsiobieman
- P.Dam.
- persi
- theodoraooo
- PanosBat
- kost28
- mikriarchitectonissa
- BILL KEXA
- Dr. Gl. Luminous
- Eleftheria2
- Lathy
- bruh_234
- Miranda32
- SlimShady
- kallikd
- nucomer
- alpha.kappa
- Eeeee
- J.Cameron
- Marple
- Kitana
- F1L1PAS
- sophiaa
- VFD59
- papa2g
- το κοριτσι του μαη
- srg96
- Hopeful22
- Φινεύς
- Phys39
- Anta2004
- fairyelly
- Pharmacist01
- jYanniss
- Panagiotis849
- Kokro
- augustine
- Nikoletaant
- Mashiro@Iberan
- margik
- Mammy Nun
- Pastramis
- Σωτηρία
- Appolon
- panosveki
- Nickt23
- igeorgeoikonomo
- Steliosgkougkou
- QWERTY23
- Ameliak
- aladdin
- nimbus
- Φωτεινη Τζα.
- marian
- Georgekk
- xrisamikol
- the purge
- Dora140303
- Machris
- s93060
- Nikitas18
- Stif6
- stav.mdp
- damn
- aekaras 21
- Anthropaki
- Angelos12345
- ioannam
- Μάρκος Βασίλης
- skyway
- Nick2325
- Nala
- Manolo165
- Ryuzaki
- T C
- Devilshjoker
- El_
- George9989
- TonyMontanaEse
- globglogabgalab
- constansn
- barkos
- katerinavld
- fenia
- An_uknown_world
- Jimmis18
- maria2001
- KingPoul
- Xara
- thecrazycretan
- abcdefg12345
- Κλημεντίνη
- ale
- panagiotis G
- mechaniceng
- Giii
- calliope
- Tequila
- natalix
- Cortes
- Alexecon1991
- pepsoula
- Mariaathens
- Lia 2006
- 1205
- παιδι για κλαματα
- Alexandros36k
- alexd99
- chembam
- Specon
- Dr House
- panagiotis23
- Johnman97
- rhymeasylum
- Αννα Τσιτα
- KaterinaL
- Libertus
- LeoDel
- iminspain
- den antexw allh apotyxia
- Λαμπρινηη
- Mendel2003
- Ijt
- drosos
- Κορώνα
- JohnGreek
- Αρχηγος_β3
- alexandra_
- ΘανάσοςG4
- Dimitris9
- Birtjan
- george7cr7
- NickT
- Bgpanos
- JKTHEMAN
- nicole1982
- χημεια4λαιφ
- Stroka
- Kostakis45
- charmander
- leo41
- EiriniS20
- Αριάνα123
- MarilynSt
- iManosX13
- Nefh_
- Viedo
- Βλα
- suaimhneas
- george pol
- kristinbacktoschool
- fearless
- Rene2004
- Steffie88
- Slytherin
- jimnikol21
- Unseen skygge
- cel123
- jul25
- Thanos_D
- Ireneeneri
- tasost
- Mukumbura
- xxxtolis
-
Φορτώνει...
-
Το forum μας χρησιμοποιεί cookies για να βελτιστοποιήσει την εμπειρία σας.
Συνεχίζοντας την περιήγησή σας, συναινείτε στη χρήση cookies στον περιηγητή σας.