asdfqwerty
Πολύ δραστήριο μέλος
Ο asdfqwerty αυτή τη στιγμή δεν είναι συνδεδεμένος. Είναι Φοιτητής του τμήματος Πληροφορικής & Τηλεπικοινωνιών ΕΚΠΑ. Έχει γράψει 1.347 μηνύματα.

17-04-22

21:18
εχω μια ιδεα κατσε να βρω χαρτιΠαιδιά έχει κάνεις καμία ιδέα για το Δ1 που σου λεει να βρεις το α; Δεν μου έρχεται τίποτα
View attachment 100953
Cade
Πολύ δραστήριο μέλος
Ο Cade αυτή τη στιγμή δεν είναι συνδεδεμένος. Είναι Απόφοιτος λυκείου. Έχει γράψει 871 μηνύματα.

17-04-22

21:37
Με fermat πάει ?
asdfqwerty
Πολύ δραστήριο μέλος
Ο asdfqwerty αυτή τη στιγμή δεν είναι συνδεδεμένος. Είναι Φοιτητής του τμήματος Πληροφορικής & Τηλεπικοινωνιών ΕΚΠΑ. Έχει γράψει 1.347 μηνύματα.

17-04-22

21:42
@vvaggelis ελπιζω να μην γραφω καμια βλακεια μονο 

Συνημμένα
Guest 004218
Επισκέπτης
αυτή τη στιγμή δεν είναι συνδεδεμέν. Δεν έχει γράψει κανένα μήνυμα.

17-04-22

21:53
Φίλε ευχαριστώ άπειρα!@vvaggelis ελπιζω να μην γραφω καμια βλακεια μονο![]()
Cade
Πολύ δραστήριο μέλος
Ο Cade αυτή τη στιγμή δεν είναι συνδεδεμένος. Είναι Απόφοιτος λυκείου. Έχει γράψει 871 μηνύματα.

17-04-22

21:53
Δεν είμαι πολύ σίγουρος αν και φαίνεται σωστο
Guest 004218
Επισκέπτης
αυτή τη στιγμή δεν είναι συνδεδεμέν. Δεν έχει γράψει κανένα μήνυμα.

17-04-22

22:01
Ευχαριστω πολύ απλά μπερδεύτηκα λίγο στην αρχή. Τι έκανες;
Cade
Πολύ δραστήριο μέλος
Ο Cade αυτή τη στιγμή δεν είναι συνδεδεμένος. Είναι Απόφοιτος λυκείου. Έχει γράψει 871 μηνύματα.

17-04-22

22:04
Ιδιότητες απολύτωνΕυχαριστω πολύ απλά περδεύτηκα λίγο στην αρχή. Τι έκανες;
Guest 004218
Επισκέπτης
αυτή τη στιγμή δεν είναι συνδεδεμέν. Δεν έχει γράψει κανένα μήνυμα.

17-04-22

22:11
Το δευτερο που εκανες απο ποια ιδιοτητα προκύπτει που εβαλες το - ;Ιδιότητες απολύτων
Cade
Πολύ δραστήριο μέλος
Ο Cade αυτή τη στιγμή δεν είναι συνδεδεμένος. Είναι Απόφοιτος λυκείου. Έχει γράψει 871 μηνύματα.

17-04-22

22:12
|x|≥-xΤο δευτερο που εκανες απο ποια ιδιοτητα προκύπτει που εβαλες το - ;
Cade
Πολύ δραστήριο μέλος
Ο Cade αυτή τη στιγμή δεν είναι συνδεδεμένος. Είναι Απόφοιτος λυκείου. Έχει γράψει 871 μηνύματα.

17-04-22

23:54
asdfqwerty
Πολύ δραστήριο μέλος
Ο asdfqwerty αυτή τη στιγμή δεν είναι συνδεδεμένος. Είναι Φοιτητής του τμήματος Πληροφορικής & Τηλεπικοινωνιών ΕΚΠΑ. Έχει γράψει 1.347 μηνύματα.

18-04-22

00:06
αυτο εδω απο που προκυπτει με βαση τα δεδομενα που εχεις?
Cade
Πολύ δραστήριο μέλος
Ο Cade αυτή τη στιγμή δεν είναι συνδεδεμένος. Είναι Απόφοιτος λυκείου. Έχει γράψει 871 μηνύματα.

18-04-22

00:18
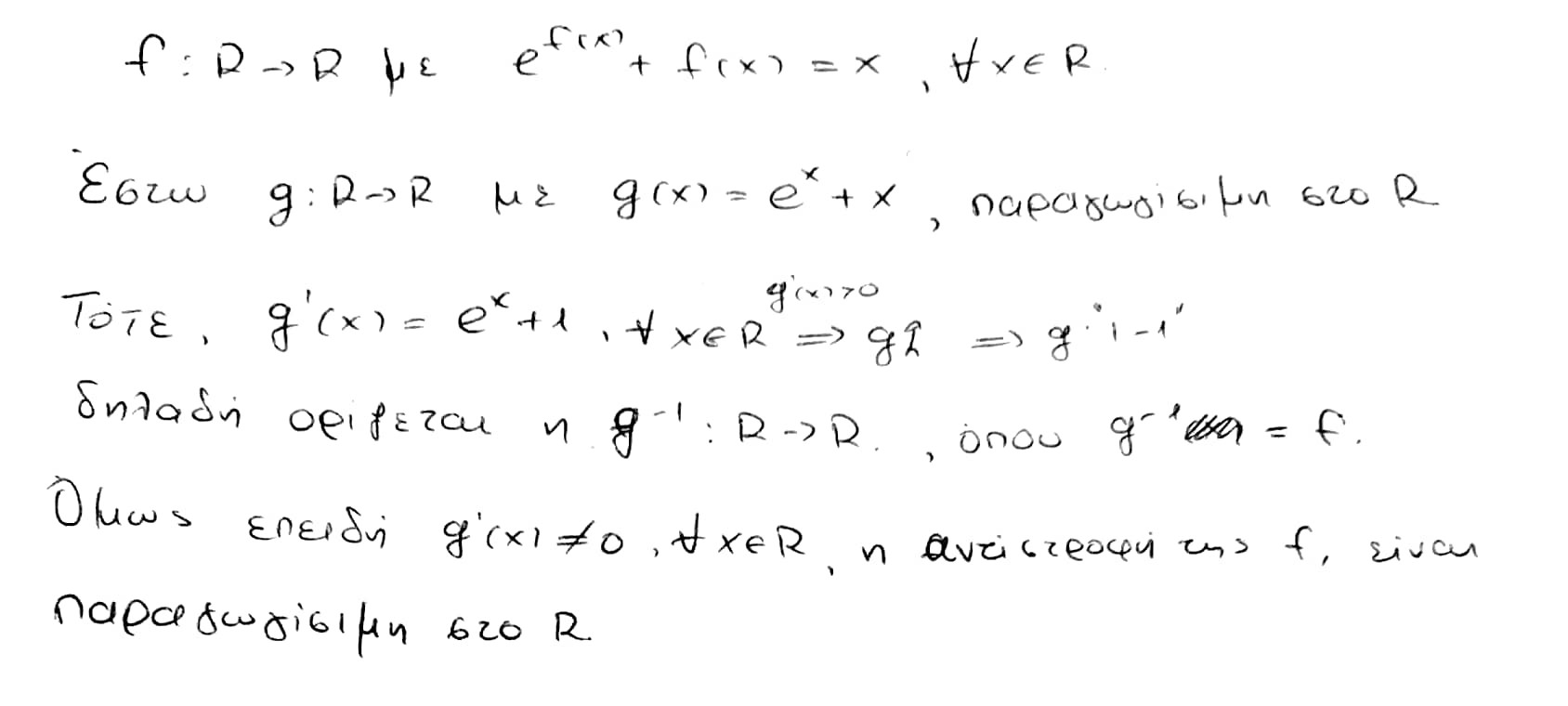
Αφού βρήκαμε πως η παραγωγος της αντίστροφης της f είναι θετική και δεν μηδενίζεται (συνεπώς η f δεν έχει κατακόρυφη εφαπτομένη) τότε και η f αφού είναι η αντιστροφη της g θα είναι παραγωγίσιμη σε όλο το πεδίο ορισμού της g το R. Νομίζω τα δεδομενα αρκούν για να αναφερθω στη παραγωγισιμοτητα της f.Αν κατάλαβα καλά τι εννοείς.View attachment 100964
αυτο εδω απο που προκυπτει με βαση τα δεδομενα που εχεις?
asdfqwerty
Πολύ δραστήριο μέλος
Ο asdfqwerty αυτή τη στιγμή δεν είναι συνδεδεμένος. Είναι Φοιτητής του τμήματος Πληροφορικής & Τηλεπικοινωνιών ΕΚΠΑ. Έχει γράψει 1.347 μηνύματα.

18-04-22

00:32
ξερεις οτι η g^-1 ειναι συνεχης συναρτηση?Αφού βρήκαμε πως η παραγωγος της αντίστροφης της f είναι θετική και δεν μηδενίζεται (συνεπώς η f δεν έχει κατακόρυφη εφαπτομένη) τότε και η f αφού είναι η αντιστροφη της g θα είναι παραγωγίσιμη σε όλο το πεδίο ορισμού της g το R. Νομίζω τα δεδομενα αρκούν για να αναφερθω στη παραγωγισιμοτητα της f.Αν κατάλαβα καλά τι εννοείς.
Cade
Πολύ δραστήριο μέλος
Ο Cade αυτή τη στιγμή δεν είναι συνδεδεμένος. Είναι Απόφοιτος λυκείου. Έχει γράψει 871 μηνύματα.

18-04-22

00:47
Ναι είναι, αφού και η g(x) είναι συνεχής στο R. Έστω f: (α,β)->R η οποια είναι συνεχής και 1-1. Τότε και η f^-1 είναι συνεχής και στην περίπτωση που α=-00 και β=+00. Υπάρχει και σχετικη απόδειξη. Νομίζω η μόνη περίπτωση στην οποία δεν ισχύει είναι όταν η f είναι ορισμένη σε ένωση διαστημάτων χωρίς να μαι απόλυτα σίγουρος.ξερεις οτι η g^-1 ειναι συνεχης συναρτηση?
asdfqwerty
Πολύ δραστήριο μέλος
Ο asdfqwerty αυτή τη στιγμή δεν είναι συνδεδεμένος. Είναι Φοιτητής του τμήματος Πληροφορικής & Τηλεπικοινωνιών ΕΚΠΑ. Έχει γράψει 1.347 μηνύματα.

18-04-22

00:51
θες αποδειξη για το συγκεκριμενο ωστοσο οποτε ειναι μερος της ασκησης να δειξεις την συνεχεια της αντιστροφηςΝαι είναι, αφού και η g(x) είναι συνεχής στο R. Έστω f: (α,β)->R η οποια είναι συνεχής και 1-1. Τότε και η f^-1 είναι συνεχής και στην περίπτωση που α=-00 και β=+00
Cade
Πολύ δραστήριο μέλος
Ο Cade αυτή τη στιγμή δεν είναι συνδεδεμένος. Είναι Απόφοιτος λυκείου. Έχει γράψει 871 μηνύματα.

18-04-22

01:46
Μιλάμε στα πλαίσια του λυκείου ;θες αποδειξη για το συγκεκριμενο ωστοσο οποτε ειναι μερος της ασκησης να δειξεις την συνεχεια της αντιστροφης
asdfqwerty
Πολύ δραστήριο μέλος
Ο asdfqwerty αυτή τη στιγμή δεν είναι συνδεδεμένος. Είναι Φοιτητής του τμήματος Πληροφορικής & Τηλεπικοινωνιών ΕΚΠΑ. Έχει γράψει 1.347 μηνύματα.

18-04-22

01:54
yepΜιλάμε στα πλαίσια του λυκείου ;
Cade
Πολύ δραστήριο μέλος
Ο Cade αυτή τη στιγμή δεν είναι συνδεδεμένος. Είναι Απόφοιτος λυκείου. Έχει γράψει 871 μηνύματα.

18-04-22

01:58
Οκ τότε...θα χαρώ να δω μια λύση που δεν χρησιμοποιεί τη συνεχεια της αντιστροφης. Ωστόσο αφού όπως λες χρειάζεται απόδειξη, προφανώς δεν μπορω να την δώσω επειδή χρησιμοποιεί ε-δ και ξεφεύγει
asdfqwerty
Πολύ δραστήριο μέλος
Ο asdfqwerty αυτή τη στιγμή δεν είναι συνδεδεμένος. Είναι Φοιτητής του τμήματος Πληροφορικής & Τηλεπικοινωνιών ΕΚΠΑ. Έχει γράψει 1.347 μηνύματα.

18-04-22

02:08
μπορει να αποδειχθη και αλλιως η συνεχεια της αντιστροφης η οποια ειναι αναγκαια θεωρω, δεν χρειαζεται να αποδειξεις γενικα την συγκεκριμενα προταση .. αρκει να βγαλεις συνεχη της συγκεκριμενη αντιστροφηΟκ τότε...θα χαρώ να δω μια λύση που δεν χρησιμοποιεί τη συνεχεια της αντιστροφης. Ωστόσο αφού όπως λες χρειάζεται απόδειξη, προφανώς δεν μπορω να την δώσω επειδή χρησιμοποιεί ε-δ και ξεφεύγει
Cade
Πολύ δραστήριο μέλος
Ο Cade αυτή τη στιγμή δεν είναι συνδεδεμένος. Είναι Απόφοιτος λυκείου. Έχει γράψει 871 μηνύματα.

18-04-22

16:42
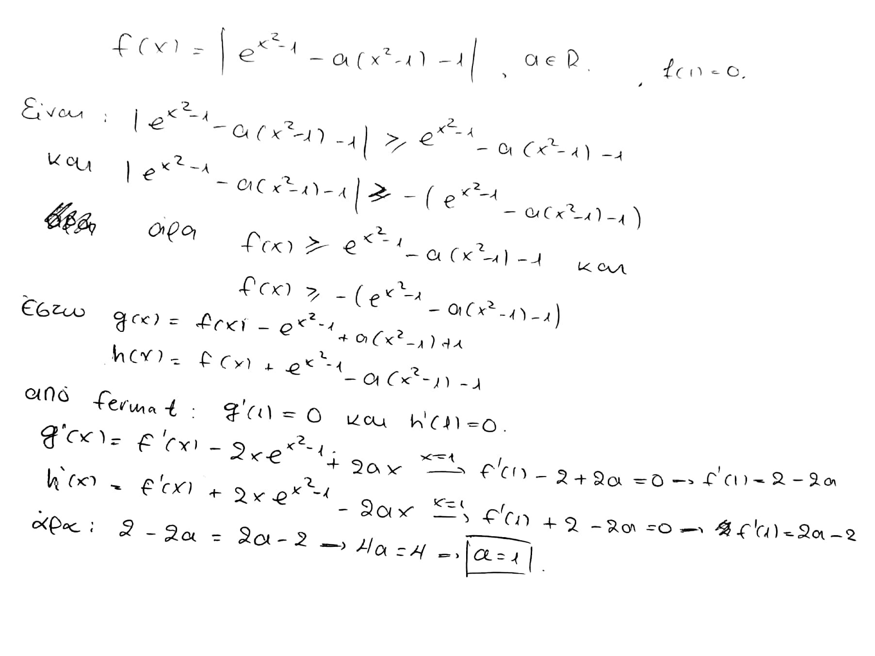
Η Α) είναι πολύ καλή, έχει μαζεμένα "δύσκολα" και λεπτά σημεια της γ λυκείου. Θα ανεβάσω τη λύση της το βράδυf κοιλη => f' γνησιως φθινουσα
χ < 1 => f'(x) > f'(1) > 0 => f'(x) > 0 για χ < 1 => f γνησιως αυξουσα στο (-οο, 1]
αν κανουμε μελετη ακροτατων στην h(x) = x * e^(1-x) βλεπουμε οτι εχει ολικο μεγιστο το 1 στο χ = 1
δηλαδη χ * e^(1-x) <= 1 για καθε χ στο R το ισον μονο στο 1
χ <= 1 => f(x) <= f(1) < 0 => f(x) < 0 για καθε χ <= 1 αν βαλουμε οπου χ -> h(x) εχουμε το ζητουμενο
Αυτόματη ένωση συνεχόμενων μηνυμάτων:
α
2 ασκησεις και απο εμενα
Χρήστες Βρείτε παρόμοια
-
Τα παρακάτω 0 μέλη και 0 επισκέπτες διαβάζουν μαζί με εσάς αυτό το θέμα:Tα παρακάτω 290 μέλη διάβασαν αυτό το θέμα:
- Maynard
- foxypup
- Pars3c
- mikke
- hihat1
- thepigod762
- 98.8%chimpanzee
- trifasikodiavasma
- ggl
- ioanna2007
- Hased Babis
- Mariosm.
- infection54
- Jesse_
- topg
- eukleidhs1821
- bill09876
- Debugging_Demon
- mali
- Joji
- Ness
- Helen06
- Scandal
- synthnightingale
- arko
- BillyTheKid
- Magigi
- Paragontas7000
- Unboxholics
- just some guy
- george777
- Wonderkid
- IceCream05
- Abiogenesis
- GeorgePap2003
- katia.m
- giannhs2001
- paul
- Praxis
- Apocalypse
- shezza94
- desp1naa
- rempelos42
- Sherlockina
- oups
- Dimgeb
- spring day
- KingOfPop
- mpapa
- Chrisa
- Physicsstudent
- tsiobieman
- P.Dam.
- persi
- theodoraooo
- PanosBat
- kost28
- mikriarchitectonissa
- BILL KEXA
- Dr. Gl. Luminous
- Eleftheria2
- Lathy
- bruh_234
- Miranda32
- SlimShady
- kallikd
- nucomer
- alpha.kappa
- Eeeee
- J.Cameron
- Marple
- Kitana
- F1L1PAS
- sophiaa
- VFD59
- papa2g
- το κοριτσι του μαη
- srg96
- Hopeful22
- Φινεύς
- Phys39
- Anta2004
- fairyelly
- Pharmacist01
- jYanniss
- Panagiotis849
- Kokro
- augustine
- Nikoletaant
- Mashiro@Iberan
- margik
- Mammy Nun
- Pastramis
- Σωτηρία
- Appolon
- panosveki
- Nickt23
- igeorgeoikonomo
- Steliosgkougkou
- QWERTY23
- Ameliak
- aladdin
- nimbus
- Φωτεινη Τζα.
- marian
- Georgekk
- xrisamikol
- the purge
- Dora140303
- Machris
- s93060
- Nikitas18
- Stif6
- stav.mdp
- damn
- aekaras 21
- Anthropaki
- Angelos12345
- ioannam
- Μάρκος Βασίλης
- skyway
- Nick2325
- Nala
- Manolo165
- Ryuzaki
- T C
- Devilshjoker
- El_
- George9989
- TonyMontanaEse
- globglogabgalab
- constansn
- barkos
- katerinavld
- fenia
- An_uknown_world
- Jimmis18
- maria2001
- KingPoul
- Xara
- thecrazycretan
- abcdefg12345
- Κλημεντίνη
- ale
- panagiotis G
- mechaniceng
- Giii
- calliope
- Tequila
- natalix
- Cortes
- Alexecon1991
- pepsoula
- Mariaathens
- Lia 2006
- 1205
- παιδι για κλαματα
- Alexandros36k
- alexd99
- chembam
- Specon
- Dr House
- panagiotis23
- Johnman97
- rhymeasylum
- Αννα Τσιτα
- KaterinaL
- Libertus
- LeoDel
- iminspain
- den antexw allh apotyxia
- Λαμπρινηη
- Mendel2003
- Ijt
- drosos
- Κορώνα
- JohnGreek
- Αρχηγος_β3
- alexandra_
- ΘανάσοςG4
- Dimitris9
- Birtjan
- george7cr7
- NickT
- Bgpanos
- JKTHEMAN
- nicole1982
- χημεια4λαιφ
- Stroka
- Kostakis45
- charmander
- leo41
- EiriniS20
- Αριάνα123
- MarilynSt
- iManosX13
- Nefh_
- Viedo
- Βλα
- suaimhneas
- george pol
- kristinbacktoschool
- fearless
- Rene2004
- Steffie88
- Slytherin
- jimnikol21
- Unseen skygge
- cel123
- jul25
- Thanos_D
- Ireneeneri
- tasost
- Mukumbura
- xxxtolis
-
Φορτώνει...
-
Το forum μας χρησιμοποιεί cookies για να βελτιστοποιήσει την εμπειρία σας.
Συνεχίζοντας την περιήγησή σας, συναινείτε στη χρήση cookies στον περιηγητή σας.