Alexandros28
Δραστήριο μέλος
Ο Alexandros28 αυτή τη στιγμή δεν είναι συνδεδεμένος. Έχει γράψει 750 μηνύματα.
21-09-21
02:16
ακυρο αλλα γαματο δ3η συναρτηση στο δ θεμα καλη φαινεται: https://drive.google.com/file/d/0Bx...UEE/edit?resourcekey=0-ubRmEetyhx8Xd5bUTOlEXg
asdfqwerty
Πολύ δραστήριο μέλος
Ο asdfqwerty αυτή τη στιγμή δεν είναι συνδεδεμένος. Είναι Φοιτητής του τμήματος Πληροφορικής & Τηλεπικοινωνιών ΕΚΠΑ. Έχει γράψει 1.347 μηνύματα.
21-09-21
02:17
ειναι πιο light εκδοση απο την ασκηση του σχολικουακυρο αλλα γαματο δ3
asdfqwerty
Πολύ δραστήριο μέλος
Ο asdfqwerty αυτή τη στιγμή δεν είναι συνδεδεμένος. Είναι Φοιτητής του τμήματος Πληροφορικής & Τηλεπικοινωνιών ΕΚΠΑ. Έχει γράψει 1.347 μηνύματα.
21-09-21
19:13
Ωραια ας γραψουμε μια αλλη λυση στην ασκηση:
Για χ=0 η σχεση επαληθευεται
Για
πολλαπλασιαζουμε με την θετικη ποσοτητα
και εχουμε :
} )
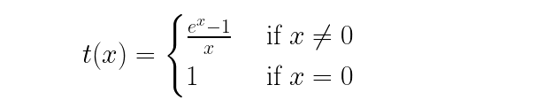
θεωρουμε την συναρτηση :
(για καποιο λογο το latex εδω περα στις δικλαδες τα παιζει)
η t προκυπτει ευκολα γνησιως αυξουσα στο π.ο της
αρα η ανισωση προς αποδειξη γινεται :
το οποιο ισχυει
Για χ=0 η σχεση επαληθευεται
Για
θεωρουμε την συναρτηση :
(για καποιο λογο το latex εδω περα στις δικλαδες τα παιζει)
η t προκυπτει ευκολα γνησιως αυξουσα στο π.ο της
αρα η ανισωση προς αποδειξη γινεται :
Samael
Τιμώμενο Μέλος
Ο Samael αυτή τη στιγμή δεν είναι συνδεδεμένος. Είναι 26 ετών, Πτυχιούχος του τμήματος Ηλεκτρολόγων & Ηλεκτρονικών Μηχανικών ΠΑΔΑ και μας γράφει από Πειραιάς (Αττική). Έχει γράψει 12.111 μηνύματα.
21-09-21
21:28
Με προβληματίζει λίγο η απόδειξη σου. Ξεκινάς με την ανισότητα λέγοντας οτι ισχύει ενώ δεν ξέρουμε εαν ισχύει ή όχι, και καταλήγεις σε κάτι αληθές. Εκ του αποτελέσματος όμως, ακόμα και εαν αυτό είναι σωστό, είναι λάθος να αποφανθείς οτι η αρχική υπόθεση είναι αληθής. Εκτός φυσικά εαν υπάρχουν διπλές συνεπαγωγές σε κάθε ενδιάμεσο βήμα. Για σουλούπωσε την λίγο και παρουσίασε την μας ξανά,γιατί σαν μέθοδος πιστεύω βγαίνει μάλλον, απλά η δόμηση πρέπει να αλλάξειΩραια ας γραψουμε μια αλλη λυση στην ασκηση:
Για χ=0 η σχεση επαληθευεται
Γιαπολλαπλασιαζουμε με την θετικη ποσοτητα
και εχουμε :
θεωρουμε την συναρτηση : View attachment 85912
(για καποιο λογο το latex εδω περα στις δικλαδες τα παιζει)
η t προκυπτει ευκολα γνησιως αυξουσα στο π.ο της
αρα η ανισωση προς αποδειξη γινεται :το οποιο ισχυει
.Στο ενδιάμεσο μια τρίτη λύση που σκέφτηκα είναι η εξής :
Για χ = 0 η ανισότητα ισχύει ως ισότητα.
Για x < 0 , έστω πως υπάρχει ξ Ε (-1,0) τέτοιο ώστε :
(e^ξ - 1)ln(ξ+1) < ξ²
Ισχύει γενικά οτι :
ln(ξ+1) < ξ < 0 => e^ξ - 1 < 0 , εφόσον ξ < 0
(e^ξ - 1)ln(ξ + 1) > ξ(e^ξ - 1) > 0 =>
0 < ξ(e^ξ - 1) < (e^ξ - 1)ln(ξ + 1) =>
0 < ξ(e^ξ - 1) < (e^ξ - 1)ln(ξ + 1) < ξ²
Όμως :
e^ξ - 1 > ξ => για ξ < 0
ξ(e^ξ - 1) < ξ²
Εν τέλει :
ξ² < ξ(e^ξ - 1) < (e^ξ - 1)ln(ξ + 1) < ξ² =>
ξ² < (e^ξ - 1) και (e^ξ - 1) > ξ²
Προφανώς άτοπο άρα :
(e^ξ - 1)ln(χ + 1) >= χ² για κάθε x > 0.
Για x > 0, έστω τώρα οτι υπάρχει ξ > 0 τέτοιο ώστε :
(e^ξ - 1)ln(ξ + 1) < ξ² =>
(e^ξ - 1)ln(ξ + 1) + 2ξ + 1 < (ξ+1)²
Επειδή (ξ + 1) > 1 => (ξ + 1)² > 1 , η παραπάνω γίνεται :
(e^ξ - 1)ln(ξ + 1) + 2ξ + 1 < 1 =>
(e^ξ - 1)ln(ξ + 1) + 2ξ < 0 (2)
Εφόσον ξ > 0 και e^ξ - 1 > ξ > 0 και ln(ξ + 1) > 0 και 2ξ > 0, και το άθροισμα τους θετικό. Άρα έχουμε (e^ξ - 1)ln(ξ + 1) + 2ξ = Α > 0 . Όμως Α < 0 λόγω της (2). Άτοπο λοιπόν.
asdfqwerty
Πολύ δραστήριο μέλος
Ο asdfqwerty αυτή τη στιγμή δεν είναι συνδεδεμένος. Είναι Φοιτητής του τμήματος Πληροφορικής & Τηλεπικοινωνιών ΕΚΠΑ. Έχει γράψει 1.347 μηνύματα.
21-09-21
21:44
που θεωρεις οτι καπου χανει η αποδειξη? σε ποιο σημειο δλδ..Με προβληματίζει λίγο η απόδειξη σου. Ξεκινάς με την ανισότητα λέγοντας οτι ισχύει ενώ δεν ξέρουμε εαν ισχύει ή όχι, και καταλήγεις σε κάτι αληθές. Εκ του αποτελέσματος όμως, ακόμα και εαν αυτό είναι σωστό, είναι λάθος να αποφανθείς οτι η αρχική υπόθεση είναι αληθής. Εκτός φυσικά εαν υπάρχουν διπλές συνεπαγωγές σε κάθε ενδιάμεσο βήμα. Για σουλούπωσε την λίγο και παρουσίασε την μας ξανά,γιατί σαν μέθοδος πιστεύω βγαίνει μάλλον, απλά η δόμηση πρέπει να αλλάξει.
Στο ενδιάμεσο μια τρίτη λύση που σκέφτηκα είναι η εξής :
Για χ = 0 η ανισότητα ισχύει ως ισότητα.
Για x < 0 , έστω πως υπάρχει ξ Ε (-1,0) τέτοιο ώστε :
(e^ξ - 1)ln(ξ+1) < ξ²
Ισχύει γενικά οτι :
ln(ξ+1) < ξ < 0 => e^ξ - 1 < 0 , εφόσον ξ < 0
(e^ξ - 1)ln(ξ + 1) > ξ(e^ξ - 1) > 0 =>
0 < ξ(e^ξ - 1) < (e^ξ - 1)ln(ξ + 1) =>
0 < ξ(e^ξ - 1) < (e^ξ - 1)ln(ξ + 1) < ξ²
Όμως :
e^ξ - 1 > ξ => για ξ < 0
ξ(e^ξ - 1) < ξ²
Εν τέλει :
ξ² < ξ(e^ξ - 1) < (e^ξ - 1)ln(ξ + 1) < ξ² =>
ξ² < (e^ξ - 1) και (e^ξ - 1) > ξ²
Προφανώς άτοπο άρα :
(e^ξ - 1)ln(χ + 1) >= χ² για κάθε x > 0.
Για x > 0, έστω τώρα οτι υπάρχει ξ > 0 τέτοιο ώστε :
(e^ξ - 1)ln(ξ + 1) < ξ² =>
(e^ξ - 1)ln(ξ + 1) + 2ξ + 1 < (ξ+1)²
Επειδή (ξ + 1) > 1 => (ξ + 1)² > 1 , η παραπάνω γίνεται :
(e^ξ - 1)ln(ξ + 1) + 2ξ + 1 < 1 =>
(e^ξ - 1)ln(ξ + 1) + 2ξ < 0 (2)
Εφόσον ξ > 0 και e^ξ - 1 > ξ > 0 και ln(ξ + 1) > 0 και 2ξ > 0, και το άθροισμα τους θετικό. Άρα έχουμε (e^ξ - 1)ln(ξ + 1) + 2ξ = Α > 0 . Όμως Α < 0 λόγω της (2). Άτοπο λοιπόν.
Samael
Τιμώμενο Μέλος
Ο Samael αυτή τη στιγμή δεν είναι συνδεδεμένος. Είναι 26 ετών, Πτυχιούχος του τμήματος Ηλεκτρολόγων & Ηλεκτρονικών Μηχανικών ΠΑΔΑ και μας γράφει από Πειραιάς (Αττική). Έχει γράψει 12.111 μηνύματα.
21-09-21
21:54
που θεωρεις οτι καπου χανει η αποδειξη? σε ποιο σημειο δλδ..
Την κοίταξα πάλι, νόμιζα οτι υπήρχε κάποιο "κρυφό" σκέτο συνεπάγεται. Τελικά όμως υπάρχουν παντού διπλές συνεπαγωγές οπότε είναι valid
. Εαν την γράψεις επίσημα πρέπει να πάρεις τα βήματα απο κάτω προς τα πάνω και είσαι μια χαρά.asdfqwerty
Πολύ δραστήριο μέλος
Ο asdfqwerty αυτή τη στιγμή δεν είναι συνδεδεμένος. Είναι Φοιτητής του τμήματος Πληροφορικής & Τηλεπικοινωνιών ΕΚΠΑ. Έχει γράψει 1.347 μηνύματα.
21-09-21
21:55
Με προβληματίζει λίγο η απόδειξη σου. Ξεκινάς με την ανισότητα λέγοντας οτι ισχύει ενώ δεν ξέρουμε εαν ισχύει ή όχι, και καταλήγεις σε κάτι αληθές. Εκ του αποτελέσματος όμως, ακόμα και εαν αυτό είναι σωστό, είναι λάθος να αποφανθείς οτι η αρχική υπόθεση είναι αληθής. Εκτός φυσικά εαν υπάρχουν διπλές συνεπαγωγές σε κάθε ενδιάμεσο βήμα. Για σουλούπωσε την λίγο και παρουσίασε την μας ξανά,γιατί σαν μέθοδος πιστεύω βγαίνει μάλλον, απλά η δόμηση πρέπει να αλλάξει.
Στο ενδιάμεσο μια τρίτη λύση που σκέφτηκα είναι η εξής :
Για χ = 0 η ανισότητα ισχύει ως ισότητα.
Για x < 0 , έστω πως υπάρχει ξ Ε (-1,0) τέτοιο ώστε :
(e^ξ - 1)ln(ξ+1) < ξ²
Ισχύει γενικά οτι :
ln(ξ+1) < ξ < 0 => e^ξ - 1 < 0 , εφόσον ξ < 0
(e^ξ - 1)ln(ξ + 1) > ξ(e^ξ - 1) > 0 =>
0 < ξ(e^ξ - 1) < (e^ξ - 1)ln(ξ + 1) =>
0 < ξ(e^ξ - 1) < (e^ξ - 1)ln(ξ + 1) < ξ²
Όμως :
e^ξ - 1 > ξ => για ξ < 0
ξ(e^ξ - 1) < ξ²
Εν τέλει :
ξ² < ξ(e^ξ - 1) < (e^ξ - 1)ln(ξ + 1) < ξ² =>
ξ² < (e^ξ - 1) και (e^ξ - 1) > ξ²
Προφανώς άτοπο άρα :
(e^ξ - 1)ln(χ + 1) >= χ² για κάθε x > 0.
Για x > 0, έστω τώρα οτι υπάρχει ξ > 0 τέτοιο ώστε :
(e^ξ - 1)ln(ξ + 1) < ξ² =>
(e^ξ - 1)ln(ξ + 1) + 2ξ + 1 < (ξ+1)²
Επειδή (ξ + 1) > 1 => (ξ + 1)² > 1 , η παραπάνω γίνεται :
(e^ξ - 1)ln(ξ + 1) + 2ξ + 1 < 1 =>
(e^ξ - 1)ln(ξ + 1) + 2ξ < 0 (2)
Εφόσον ξ > 0 και e^ξ - 1 > ξ > 0 και ln(ξ + 1) > 0 και 2ξ > 0, και το άθροισμα τους θετικό. Άρα έχουμε (e^ξ - 1)ln(ξ + 1) + 2ξ = Α > 0 . Όμως Α < 0 λόγω της (2). Άτοπο λοιπόν.
για ξαναδες λιγο αυτο
Samael
Τιμώμενο Μέλος
Ο Samael αυτή τη στιγμή δεν είναι συνδεδεμένος. Είναι 26 ετών, Πτυχιούχος του τμήματος Ηλεκτρολόγων & Ηλεκτρονικών Μηχανικών ΠΑΔΑ και μας γράφει από Πειραιάς (Αττική). Έχει γράψει 12.111 μηνύματα.
22-09-21
03:02
Να ήταν το μόνο σημείο που έχει λάθος...View attachment 85920
για ξαναδες λιγο αυτο
.Πρέπει να το κοιτάξω πάλι εαν και αμφιβάλλω οτι παίζει να βγαίνει έτσι.
Alexandros28
Δραστήριο μέλος
Ο Alexandros28 αυτή τη στιγμή δεν είναι συνδεδεμένος. Έχει γράψει 750 μηνύματα.
19-10-21
23:10
Scandal μην βγαίνεις οφ τοπικ (πλάκα κάνω εννοείται 
)
)asdfqwerty
Πολύ δραστήριο μέλος
Ο asdfqwerty αυτή τη στιγμή δεν είναι συνδεδεμένος. Είναι Φοιτητής του τμήματος Πληροφορικής & Τηλεπικοινωνιών ΕΚΠΑ. Έχει γράψει 1.347 μηνύματα.
19-10-21
23:56
-10 ποντους αμεσα απο mods
Scandal
Διαχειριστής
Ο Πέτρος αυτή τη στιγμή είναι συνδεδεμένος. Είναι 36 ετών, Απόφοιτος λυκείου και μας γράφει από Περιστέρι (Αττική). Έχει γράψει 21.603 μηνύματα.
19-10-21
23:57
Ο μαθηματικός που πήγαινα φροντιστήριο το έβαλε στο face! 

Cade
Πολύ δραστήριο μέλος
Ο Cade αυτή τη στιγμή δεν είναι συνδεδεμένος. Είναι Απόφοιτος λυκείου. Έχει γράψει 872 μηνύματα.
27-01-22
23:12
Ενδιαφέρον θεματακι, είχε πέσει παλαιοτερα στις πανελλαδικές. Τώρα βέβαια απ' ότι έχω προσέξει τα τελευταία χρόνια βάζουν πιο βατά θέματα και όχι τόσο υπαρξιακά.
Alexandros28
Δραστήριο μέλος
Ο Alexandros28 αυτή τη στιγμή δεν είναι συνδεδεμένος. Έχει γράψει 750 μηνύματα.
27-01-22
23:33
Αυτό δεν ειναι που χρειάζεται τα 200 θμτ; Νομίζω έχει λάθος το τελευταίο και θα πρεπε να λέει πιθανό σημείο καμπήςView attachment 95165
Ενδιαφέρον θεματακι, είχε πέσει παλαιοτερα στις πανελλαδικές. Τώρα βέβαια απ' ότι έχω προσέξει τα τελευταία χρόνια βάζουν πιο βατά θέματα και όχι τόσο υπαρξιακά.
eukleidhs1821
Διάσημο μέλος
Ο eukleidhs1821 αυτή τη στιγμή δεν είναι συνδεδεμένος. Είναι Πτυχιούχος του τμήματος Ιατρικής Ιωαννίνων (Ιωάννινα) και μας γράφει από Καινούργιο (Ηράκλειο). Έχει γράψει 3.965 μηνύματα.
27-01-22
23:34
χαχααχχ το θεμα με το εγκληματικο λαθος στο γ ερωτημα που δεν εγραφε τη λεξη πιθανο σημειο καμπης με αποτελεσμα πολλοι να την πατησουν και να ψαχνουν ματαια να αποδειξουν οτι αλλαζει το προσημο εκατερωθεν της δευτερης παραγωγου.για φυλακη ολη η επιτροπη τοτε αλλα σιγα μην τους κανανε τιποτα.κατα τα αλλα ενα φουλ φροντιστηριακο θεμα.το β ερωτημα ηταν το πιο αξιολογο στο οποιο ισως χρειαστηκαν 15 εφαρμογες του θμτ και rolle.για γερα νευρα να κανεις ολα τα θμτ αλλα πολυ προφανη τα βηματα.θα κατσω απο περιεργεια να μετρησω ποσα θμτ και rolle χρειαστηκανView attachment 95165
Ενδιαφέρον θεματακι, είχε πέσει παλαιοτερα στις πανελλαδικές. Τώρα βέβαια απ' ότι έχω προσέξει τα τελευταία χρόνια βάζουν πιο βατά θέματα και όχι τόσο υπαρξιακά.
Αυτόματη ένωση συνεχόμενων μηνυμάτων:
λοιπον 6 θμτ στο δευτερο ερωτημα [γ,χ0] [χ0,δ] και στα απεξω του [γ,δ] στα [α,γ],[δ,β] και μετα αλλα 2!πολυ ανωμαλος ο τυπος που το εβαλε
asdfqwerty
Πολύ δραστήριο μέλος
Ο asdfqwerty αυτή τη στιγμή δεν είναι συνδεδεμένος. Είναι Φοιτητής του τμήματος Πληροφορικής & Τηλεπικοινωνιών ΕΚΠΑ. Έχει γράψει 1.347 μηνύματα.
12-04-22
00:24
Έστω f : (0, +oo) -> R 2 φορες παραγωγισιμη. Ισχυει οτι: f(x) * f(1 / x^2) >= x^2 , x > 0
f(1) = 1
f"(x) = 6f^2(x) , x > 0
νδο f(x) = 1 / x^2 , x > 0
για καποιο λογο το λατεξ δεν δουλευει.. θα ερθουν και αλλα ερωτηματα αργοτερα..
f(1) = 1
f"(x) = 6f^2(x) , x > 0
νδο f(x) = 1 / x^2 , x > 0
για καποιο λογο το λατεξ δεν δουλευει.. θα ερθουν και αλλα ερωτηματα αργοτερα..
Samael
Τιμώμενο Μέλος
Ο Samael αυτή τη στιγμή δεν είναι συνδεδεμένος. Είναι 26 ετών, Πτυχιούχος του τμήματος Ηλεκτρολόγων & Ηλεκτρονικών Μηχανικών ΠΑΔΑ και μας γράφει από Πειραιάς (Αττική). Έχει γράψει 12.111 μηνύματα.
13-04-22
11:27
Καλό ήταν :3 .Έστω f : (0, +oo) -> R 2 φορες παραγωγισιμη. Ισχυει οτι: f(x) * f(1 / x^2) >= x^2 , x > 0
f(1) = 1
f"(x) = 6f^2(x) , x > 0
νδο f(x) = 1 / x^2 , x > 0
για καποιο λογο το λατεξ δεν δουλευει.. θα ερθουν και αλλα ερωτηματα αργοτερα..
Συνημμένα
Cade
Πολύ δραστήριο μέλος
Ο Cade αυτή τη στιγμή δεν είναι συνδεδεμένος. Είναι Απόφοιτος λυκείου. Έχει γράψει 872 μηνύματα.
17-04-22
19:01
Έστω f: R-> R παραγωγίσιμη και κοίλη. Αν f(1)<0 και f'(1) >0 νδο f(xe^(1-x))<0 για κάθε χεR
asdfqwerty
Πολύ δραστήριο μέλος
Ο asdfqwerty αυτή τη στιγμή δεν είναι συνδεδεμένος. Είναι Φοιτητής του τμήματος Πληροφορικής & Τηλεπικοινωνιών ΕΚΠΑ. Έχει γράψει 1.347 μηνύματα.
17-04-22
20:01
f κοιλη => f' γνησιως φθινουσα
χ < 1 => f'(x) > f'(1) > 0 => f'(x) > 0 για χ < 1 => f γνησιως αυξουσα στο (-οο, 1]
αν κανουμε μελετη ακροτατων στην h(x) = x * e^(1-x) βλεπουμε οτι εχει ολικο μεγιστο το 1 στο χ = 1
δηλαδη χ * e^(1-x) <= 1 για καθε χ στο R το ισον μονο στο 1
χ <= 1 => f(x) <= f(1) < 0 => f(x) < 0 για καθε χ <= 1 αν βαλουμε οπου χ -> h(x) εχουμε το ζητουμενο
α
χ < 1 => f'(x) > f'(1) > 0 => f'(x) > 0 για χ < 1 => f γνησιως αυξουσα στο (-οο, 1]
αν κανουμε μελετη ακροτατων στην h(x) = x * e^(1-x) βλεπουμε οτι εχει ολικο μεγιστο το 1 στο χ = 1
δηλαδη χ * e^(1-x) <= 1 για καθε χ στο R το ισον μονο στο 1
χ <= 1 => f(x) <= f(1) < 0 => f(x) < 0 για καθε χ <= 1 αν βαλουμε οπου χ -> h(x) εχουμε το ζητουμενο
Αυτόματη ένωση συνεχόμενων μηνυμάτων:
α
2 ασκησεις και απο εμεναf κοιλη => f' γνησιως φθινουσα
χ < 1 => f'(x) > f'(1) > 0 => f'(x) > 0 για χ < 1 => f γνησιως αυξουσα στο (-οο, 1]
αν κανουμε μελετη ακροτατων στην h(x) = x * e^(1-x) βλεπουμε οτι εχει ολικο μεγιστο το 1 στο χ = 1
δηλαδη χ * e^(1-x) <= 1 για καθε χ στο R το ισον μονο στο 1
χ <= 1 => f(x) <= f(1) < 0 => f(x) < 0 για καθε χ <= 1 αν βαλουμε οπου χ -> h(x) εχουμε το ζητουμενο
Συνημμένα
Guest 004218
Επισκέπτης
αυτή τη στιγμή δεν είναι συνδεδεμέν. Δεν έχει γράψει κανένα μήνυμα.
17-04-22
20:25
Παιδιά έχει κάνεις καμία ιδέα για το Δ1 που σου λεει να βρεις το α; Δεν μου έρχεται τίποτα
Χρήστες Βρείτε παρόμοια
-
Τα παρακάτω 0 μέλη και 3 επισκέπτες διαβάζουν μαζί με εσάς αυτό το θέμα:Tα παρακάτω 289 μέλη διάβασαν αυτό το θέμα:
- Maynard
- foxypup
- Pars3c
- mikke
- thepigod762
- 98.8%chimpanzee
- trifasikodiavasma
- ggl
- ioanna2007
- Hased Babis
- Mariosm.
- infection54
- Jesse_
- topg
- eukleidhs1821
- bill09876
- Debugging_Demon
- mali
- Joji
- Ness
- Helen06
- Scandal
- synthnightingale
- arko
- BillyTheKid
- Magigi
- Paragontas7000
- Unboxholics
- just some guy
- george777
- Wonderkid
- IceCream05
- Abiogenesis
- GeorgePap2003
- katia.m
- giannhs2001
- paul
- Praxis
- Apocalypse
- shezza94
- desp1naa
- rempelos42
- Sherlockina
- oups
- Dimgeb
- spring day
- KingOfPop
- mpapa
- Chrisa
- Physicsstudent
- tsiobieman
- P.Dam.
- persi
- theodoraooo
- PanosBat
- kost28
- mikriarchitectonissa
- BILL KEXA
- Dr. Gl. Luminous
- Eleftheria2
- Lathy
- bruh_234
- Miranda32
- SlimShady
- kallikd
- nucomer
- alpha.kappa
- Eeeee
- J.Cameron
- Marple
- Kitana
- F1L1PAS
- sophiaa
- VFD59
- papa2g
- το κοριτσι του μαη
- srg96
- Hopeful22
- Φινεύς
- Phys39
- Anta2004
- fairyelly
- Pharmacist01
- jYanniss
- Panagiotis849
- Kokro
- augustine
- Nikoletaant
- Mashiro@Iberan
- margik
- Mammy Nun
- Pastramis
- Σωτηρία
- Appolon
- panosveki
- Nickt23
- igeorgeoikonomo
- Steliosgkougkou
- QWERTY23
- Ameliak
- aladdin
- nimbus
- Φωτεινη Τζα.
- marian
- Georgekk
- xrisamikol
- the purge
- Dora140303
- Machris
- s93060
- Nikitas18
- Stif6
- stav.mdp
- damn
- aekaras 21
- Anthropaki
- Angelos12345
- ioannam
- Μάρκος Βασίλης
- skyway
- Nick2325
- Nala
- Manolo165
- Ryuzaki
- T C
- Devilshjoker
- El_
- George9989
- TonyMontanaEse
- globglogabgalab
- constansn
- barkos
- katerinavld
- fenia
- An_uknown_world
- Jimmis18
- maria2001
- KingPoul
- Xara
- thecrazycretan
- abcdefg12345
- Κλημεντίνη
- ale
- panagiotis G
- mechaniceng
- Giii
- calliope
- Tequila
- natalix
- Cortes
- Alexecon1991
- pepsoula
- Mariaathens
- Lia 2006
- 1205
- παιδι για κλαματα
- Alexandros36k
- alexd99
- chembam
- Specon
- Dr House
- panagiotis23
- Johnman97
- rhymeasylum
- Αννα Τσιτα
- KaterinaL
- Libertus
- LeoDel
- iminspain
- den antexw allh apotyxia
- Λαμπρινηη
- Mendel2003
- Ijt
- drosos
- Κορώνα
- JohnGreek
- Αρχηγος_β3
- alexandra_
- ΘανάσοςG4
- Dimitris9
- Birtjan
- george7cr7
- NickT
- Bgpanos
- JKTHEMAN
- nicole1982
- χημεια4λαιφ
- Stroka
- Kostakis45
- charmander
- leo41
- EiriniS20
- Αριάνα123
- MarilynSt
- iManosX13
- Nefh_
- Viedo
- Βλα
- suaimhneas
- george pol
- kristinbacktoschool
- fearless
- Rene2004
- Steffie88
- Slytherin
- jimnikol21
- Unseen skygge
- cel123
- jul25
- Thanos_D
- Ireneeneri
- tasost
- Mukumbura
- xxxtolis
-
Φορτώνει...
-
Το forum μας χρησιμοποιεί cookies για να βελτιστοποιήσει την εμπειρία σας.
Συνεχίζοντας την περιήγησή σας, συναινείτε στη χρήση cookies στον περιηγητή σας.
Αρχική Forum
Ρωτήστε κάτι
Προσωπικές Συζητήσεις
Πανελλαδικές
Αγγελίες
Συνδεδεμένοι Χρήστες
Λίστα Αποκλεισμένων
Υπεύθυνοι του Forum
e-steki
