Guest 831328
Επισκέπτης
αυτή τη στιγμή δεν είναι συνδεδεμέν. Δεν έχει γράψει κανένα μήνυμα.

24-05-22

21:42
Στην άσκηση αυτή με το ολοκλήρωμα δεν γίνεται το Χ να είναι ≤ 0 επειδή δεν ορίζεται ο λογάριθμος για Χ αρνητικά ή 0 οπότε πρέπει χ > 0 οπωσδήποτεπολυ εξυπνη ασκηση.απλα θεωρω οτι το ολοκληρωμα της περιττης οτι ειναι μηδεν θα σε εβαζε να το δειξεις σε ενα ερωτημα λιγων μοριων για να σε βοηθησει και θα βαζανε μια πιο ευκολη συναρτηση με δεδομενο οτι το αοριστο ολοκληρωμα δεν το διδασκεστε
Αυτόματη ένωση συνεχόμενων μηνυμάτων:
α και μια πονηραδα που κρυβεται στην ασκηση.εφοσον το πεδιο ορισμου ειναι ολο το R δεν δικαιουσαι να διαιρεσεις με το χ^2.πρεπει να πεις οτι το x διαφορο του μηδενος και θα προκυψει ενωση οποτε πρεπει να κανεις το θεωρημα στο (-00,0) και στο (0,+00) δεν δικαιουσαι να το κανεις στην ενωση!!μετα θα παρεις το οριο ενος απο τους 2 κλαδους στο μηδεν και αυτο θα το βαλεις f(0).
Guest 831328
Επισκέπτης
αυτή τη στιγμή δεν είναι συνδεδεμέν. Δεν έχει γράψει κανένα μήνυμα.

25-05-22

19:44
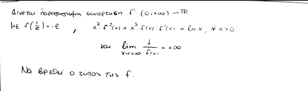
Με αφορμή την άσκηση που έστειλε ο @Cade ορίστε ένα λίγο τσιμπημενο θέμα Δ που έφτιαξα.
Συνημμένα
Cade
Πολύ δραστήριο μέλος
Ο Cade αυτή τη στιγμή δεν είναι συνδεδεμένος. Είναι Απόφοιτος λυκείου. Έχει γράψει 871 μηνύματα.

26-05-22

11:01
Μια πολύ ωραία άσκηση στην εύρεση συναρτησης συνδυαστική..
Επίτηδες γράφω να βρεθεί ο τύπος και δεν λέω αποδείξτε για να 'ναι λιγάκι πιο δυσκολο
Επίτηδες γράφω να βρεθεί ο τύπος και δεν λέω αποδείξτε για να 'ναι λιγάκι πιο δυσκολο
eukleidhs1821
Διάσημο μέλος
Ο eukleidhs1821 αυτή τη στιγμή δεν είναι συνδεδεμένος. Είναι Πτυχιούχος του τμήματος Ιατρικής Ιωαννίνων (Ιωάννινα) και μας γράφει από Καινούργιο (Ηράκλειο). Έχει γράψει 3.965 μηνύματα.

26-05-22

14:59
ειναι σιγουρα σωστο?μηπως λειπει καποια σταθερα μπροστα απο το χ^2 ή το χ^3 ξερω γω?Μια πολύ ωραία άσκηση στην εύρεση συναρτησης συνδυαστική..
View attachment 103031
Επίτηδες γράφω να βρεθεί ο τύπος και δεν λέω αποδείξτε για να 'ναι λιγάκι πιο δυσκολο
Cade
Πολύ δραστήριο μέλος
Ο Cade αυτή τη στιγμή δεν είναι συνδεδεμένος. Είναι Απόφοιτος λυκείου. Έχει γράψει 871 μηνύματα.

26-05-22

15:02
Ναι σωστό είναιειναι σιγουρα σωστο?μηπως λειπει καποια σταθερα μπροστα απο το χ^2 ή το χ^3 ξερω γω?
eukleidhs1821
Διάσημο μέλος
Ο eukleidhs1821 αυτή τη στιγμή δεν είναι συνδεδεμένος. Είναι Πτυχιούχος του τμήματος Ιατρικής Ιωαννίνων (Ιωάννινα) και μας γράφει από Καινούργιο (Ηράκλειο). Έχει γράψει 3.965 μηνύματα.

26-05-22

19:40
λοιπον την ελυσα.διαιρεις με χ γτ ειναι θετικο(αυτο μου δημιουργουσε το προβλημα) και πολλαπλασιαζω με 2.δημιουργουνται 2 παραγωγοι (x^2f^(x))'=(ln^2x)' η σταθερα βγαινει μηδεν επομενω f^2(x)=(lnx/x)^2
το δευτερο μελος μηδενιζει μονο στο 1.περιξ του 1 λοιπον η η f διατηρει προσημο.
εχουμε απολυτοf=απολυτοlnx/x
εχουμε οτι f(1/e)<0 επομενως χ<1 f(x)<0 επομενως f(x)=-απολυτοlnx/x
για χ<1 απολυτοlnx=-lnx επομενως για χ<1 f(x)=lnx/x
για χ>1 τωρα βλεπουμε οτι οτι το οριο lim1/f(x)=+00 επομενως υπαρχει k>1 τετοιο ωστε 1/f(k)>0 δηλαδη f(κ)>0 επομενως για χ>1 f(x)>0
f(x)=απολυτοlnx/x=lnx/x
επομενως για χ>0 f(x)=lnx/x
πολυ εξυπνη ασκηση.καθηγητης στην εδωσε?
το δευτερο μελος μηδενιζει μονο στο 1.περιξ του 1 λοιπον η η f διατηρει προσημο.
εχουμε απολυτοf=απολυτοlnx/x
εχουμε οτι f(1/e)<0 επομενως χ<1 f(x)<0 επομενως f(x)=-απολυτοlnx/x
για χ<1 απολυτοlnx=-lnx επομενως για χ<1 f(x)=lnx/x
για χ>1 τωρα βλεπουμε οτι οτι το οριο lim1/f(x)=+00 επομενως υπαρχει k>1 τετοιο ωστε 1/f(k)>0 δηλαδη f(κ)>0 επομενως για χ>1 f(x)>0
f(x)=απολυτοlnx/x=lnx/x
επομενως για χ>0 f(x)=lnx/x
πολυ εξυπνη ασκηση.καθηγητης στην εδωσε?
Cade
Πολύ δραστήριο μέλος
Ο Cade αυτή τη στιγμή δεν είναι συνδεδεμένος. Είναι Απόφοιτος λυκείου. Έχει γράψει 871 μηνύματα.

26-05-22

20:08
Ωραίος. Ναι μας την είχαν βάλει στο φροντιστήριο και επειδή μου είχε παρει αρκετή ώρα να την λύσω είπα να την ανεβάσω.λοιπον την ελυσα.διαιρεις με χ γτ ειναι θετικο(αυτο μου δημιουργουσε το προβλημα) και πολλαπλασιαζω με 2.δημιουργουνται 2 παραγωγοι (x^2f^(x))'=(ln^2x)' η σταθερα βγαινει μηδεν επομενω f^2(x)=(lnx/x)^2
το δευτερο μελος μηδενιζει μονο στο 1.περιξ του 1 λοιπον η η f διατηρει προσημο.
εχουμε απολυτοf=απολυτοlnx/x
εχουμε οτι f(1/e)<0 επομενως χ<1 f(x)<0 επομενως f(x)=-απολυτοlnx/x
για χ<1 απολυτοlnx=-lnx επομενως για χ<1 f(x)=lnx/x
για χ>1 τωρα βλεπουμε οτι οτι το οριο lim1/f(x)=+00 επομενως υπαρχει k>1 τετοιο ωστε 1/f(k)>0 δηλαδη f(κ)>0 επομενως για χ>1 f(x)>0
f(x)=απολυτοlnx/x=lnx/x
επομενως για χ>0 f(x)=lnx/x
πολυ εξυπνη ασκηση.καθηγητης στην εδωσε?
Στην ουσία λύνεις 2 ασκήσεις
eukleidhs1821
Διάσημο μέλος
Ο eukleidhs1821 αυτή τη στιγμή δεν είναι συνδεδεμένος. Είναι Πτυχιούχος του τμήματος Ιατρικής Ιωαννίνων (Ιωάννινα) και μας γράφει από Καινούργιο (Ηράκλειο). Έχει γράψει 3.965 μηνύματα.

26-05-22

20:14
εμενα προσωπικα το μονο σημειο που με δυσκολεψε ηταν να διαιρεσω με χ (το πιο προφανες σημειο μπορεις να πεις) γιατι πιστευα οτι πρεπει να βγαλω χ^3φ^2(χ) στο ενα μελος.αλλα οτι και να κανες δεν σε πηγαινε οποτε διαιρωντας με χ εβγαινε αερα μετα.ενταξει προφανως το λεπτο σημειο ειναι να μην πεσεις στην παγιδα οτι διατηρει προσημο στην ενωση και να πας ξεχωριστα στα υποδιαστηματα που στο δευτερο υποδιαστημα πρεπει να σαι ψιλιασμενος να χρησιμοποιησεις το οριο.τετοια λογικης ασκηση σε πιο ευκολη μορφη ειχε πεσε πριν 3-4 χρονια στις πανελληνιες και ειναι πολυ επιφοβο να ξαναπεσει.Ωραίος. Ναι μας την είχαν βάλει στο φροντιστήριο και επειδή μου είχε παρει αρκετή ώρα να την λύσω είπα να την ανεβάσω.
Στην ουσία λύνεις 2 ασκήσεις
Guest 831328
Επισκέπτης
αυτή τη στιγμή δεν είναι συνδεδεμέν. Δεν έχει γράψει κανένα μήνυμα.

27-05-22

20:52
στο τελευταιο ερώτημα εχει γινει λαθος κανονικά βγαίνει ολοκληρωμα <= 1 - τοξεφ1 ομως επειδη δεν κανουμε αντιστροφες τριγωνομετρικές ειναι καπως ακυροΜε αφορμή την άσκηση που έστειλε ο @Cade ορίστε ένα λίγο τσιμπημενο θέμα Δ που έφτιαξα.
Guest 831328
Επισκέπτης
αυτή τη στιγμή δεν είναι συνδεδεμέν. Δεν έχει γράψει κανένα μήνυμα.

30-05-22

16:32
Μια άσκηση που δεν πρέπει να λείπει από εδώ ειδικά το πρώτο ερώτημα είναι όλα τα λεφτά...
eukleidhs1821
Διάσημο μέλος
Ο eukleidhs1821 αυτή τη στιγμή δεν είναι συνδεδεμένος. Είναι Πτυχιούχος του τμήματος Ιατρικής Ιωαννίνων (Ιωάννινα) και μας γράφει από Καινούργιο (Ηράκλειο). Έχει γράψει 3.965 μηνύματα.

30-05-22

17:53
σουπερ σος αυτη η ασκηση να ξερετε.παραλλαγη γνωστης ασκησης.θετεις οπου y=x0 και βγαζεις απο κριτηριο παρεμβολης οτι η h(x)=χf(x)/ημχ εχει παραγωγο μηδεν δηλαδη σταθερη f(x)=cημχ/χ.ξες ομως οτι η f ειναι συνεχης και εχει f(0)=1 επομενως το οριο limf(x) χ τεινει στο μηδεν=c επι 1(γνωστο οριο)=1 αρα c=1.
τετοιες ασκησεις δειτε και οχι τις αμπελοφιλοσοφιες που ανεβαζατε χτες
τετοιες ασκησεις δειτε και οχι τις αμπελοφιλοσοφιες που ανεβαζατε χτες
Cade
Πολύ δραστήριο μέλος
Ο Cade αυτή τη στιγμή δεν είναι συνδεδεμένος. Είναι Απόφοιτος λυκείου. Έχει γράψει 871 μηνύματα.

30-05-22

22:07
Τι να σου πω εγώ δύσκολο το βλέπω να βάλουν κάτι πρωτότυπο πάντως
Unboxholics
Πολύ δραστήριο μέλος
Η Unboxholics αυτή τη στιγμή δεν είναι συνδεδεμένη. Είναι 22 ετών, Φοιτήτρια του τμήματος Μηχανολόγων Μηχανικών ΑΠΘ και μας γράφει από Βέροια (Ημαθία). Έχει γράψει 1.599 μηνύματα.

30-05-22

22:12
Πολυ ωραια ασκηση. Κατι τετοιο θα μπορουσε να μπει σε γ ή σε δ γιατι το α) ερωτημα ειναι το πιο "περιεργο"Μια άσκηση που δεν πρέπει να λείπει από εδώ ειδικά το πρώτο ερώτημα είναι όλα τα λεφτά...View attachment 103221
eukleidhs1821
Διάσημο μέλος
Ο eukleidhs1821 αυτή τη στιγμή δεν είναι συνδεδεμένος. Είναι Πτυχιούχος του τμήματος Ιατρικής Ιωαννίνων (Ιωάννινα) και μας γράφει από Καινούργιο (Ηράκλειο). Έχει γράψει 3.965 μηνύματα.

31-05-22

11:47
καλο και το δ1 ερωτημα σε αυτη την ασκηση.
αν κανεις παραγοντικη ολοκληρωση καταληγεις ln2ημ(1/2)-ολοκληρωμαlnxσυνχdx
x>=1/2 lnx>=-ln2 -lnx<=ln2 πολλαπλασιαζεις με συνχ(στο πρωτο τεταρτημοριο θετικο) -lnxσυνχ<=ln2συνχ<=ln2 επομενως το -ολοκληρωμα<ln2/2 προσθετεις και στα 2 μελη το ln2ημ(1/2) και καταληγεις ολη η ποσοτητα μικροτερη απο ln2(1/2+ημ(1/2))
ομως ημ(1/2)<1/2 ημ(1/2)+1/2<1 και το ln2>0 επομενως ln2(1/2+ημ(1/2)))<ln2
αρα το απεδειξες.
το δ2 ερωτημα ειναι πιο ευκολο απο το δ1 και μαλλον περιττο στην ασκηση.
αν κανεις παραγοντικη ολοκληρωση καταληγεις ln2ημ(1/2)-ολοκληρωμαlnxσυνχdx
x>=1/2 lnx>=-ln2 -lnx<=ln2 πολλαπλασιαζεις με συνχ(στο πρωτο τεταρτημοριο θετικο) -lnxσυνχ<=ln2συνχ<=ln2 επομενως το -ολοκληρωμα<ln2/2 προσθετεις και στα 2 μελη το ln2ημ(1/2) και καταληγεις ολη η ποσοτητα μικροτερη απο ln2(1/2+ημ(1/2))
ομως ημ(1/2)<1/2 ημ(1/2)+1/2<1 και το ln2>0 επομενως ln2(1/2+ημ(1/2)))<ln2
αρα το απεδειξες.
το δ2 ερωτημα ειναι πιο ευκολο απο το δ1 και μαλλον περιττο στην ασκηση.
eukleidhs1821
Διάσημο μέλος
Ο eukleidhs1821 αυτή τη στιγμή δεν είναι συνδεδεμένος. Είναι Πτυχιούχος του τμήματος Ιατρικής Ιωαννίνων (Ιωάννινα) και μας γράφει από Καινούργιο (Ηράκλειο). Έχει γράψει 3.965 μηνύματα.

31-05-22

13:20
και μια μικρη λεπτομερεια που δεν προσεξα αλλα σε πανελληνιες κοστιζει.η ανισωση γραφει οτι ισχυει για 0<χ<π/2 οχι για ισον του π/2 ομως δεν εχεις προβλημα να πεις οτι η χφ(χ)/ημχ ειναι σταθερη στο (0,π/2] γτ το θεωρημα θελει η παραγωγος να ειναι μηδεν στο εσωτερικο του διαστηματος και συνεχεια σε ολο το διαστημα!σημαντικη λεπτομερεια και ισως για αυτο την εβαλε ο μαγκας που βαλε την ασκηση.
Cade
Πολύ δραστήριο μέλος
Ο Cade αυτή τη στιγμή δεν είναι συνδεδεμένος. Είναι Απόφοιτος λυκείου. Έχει γράψει 871 μηνύματα.

31-05-22

13:25
Κοίτα, γενικώς σου δίνει τη συναρτηση οπότε και να το ξεχάσεις λογικά θα το δεις απ' τον τύπο και θα το καταλάβειςκαι μια μικρη λεπτομερεια που δεν προσεξα αλλα σε πανελληνιες κοστιζει.η ανισωση γραφει οτι ισχυει για 0<χ<π/2 οχι για ισον του π/2 ομως δεν εχεις προβλημα να πεις οτι η χφ(χ)/ημχ ειναι σταθερη στο (0,π/2] γτ το θεωρημα θελει η παραγωγος να ειναι μηδεν στο εσωτερικο του διαστηματος και συνεχεια στο διαστημα!σημαντικη λεπτομερεια και ισως για αυτο την εβαλε ο μαγκας που βαλε την ασκηση.
eukleidhs1821
Διάσημο μέλος
Ο eukleidhs1821 αυτή τη στιγμή δεν είναι συνδεδεμένος. Είναι Πτυχιούχος του τμήματος Ιατρικής Ιωαννίνων (Ιωάννινα) και μας γράφει από Καινούργιο (Ηράκλειο). Έχει γράψει 3.965 μηνύματα.

31-05-22

13:28
ναι αν το ξεχασεις μπορεις να πεις ξερω γω οτι f(p/2)=limf(x) λογω συνεχειας αλλα θεωρω οτι η πληρης αιτιολογηση ειναι αυτο που ειπα για αυτο την βαλανε την ασκηση για να παρεις χαμπαρι αυτο.καλα αυτο θα ηταν 1 μοριο παραπανω δε θα χανε καποιος.Κοίτα, γενικώς σου δίνει τη συναρτηση οπότε και να το ξεχάσεις λογικά θα το δεις απ' τον τύπο και θα το καταλάβεις
Guest 831328
Επισκέπτης
αυτή τη στιγμή δεν είναι συνδεδεμέν. Δεν έχει γράψει κανένα μήνυμα.

31-05-22

13:32
Πάρτε και ένα πρόβλημα για θέμα Γ Είναι ιδιαίτερα έξυπνο.
Cade
Πολύ δραστήριο μέλος
Ο Cade αυτή τη στιγμή δεν είναι συνδεδεμένος. Είναι Απόφοιτος λυκείου. Έχει γράψει 871 μηνύματα.

31-05-22

13:34
Αν ορίζεται σε [α,β] και σου δίνει σχέση με παραγωγο που ισχύει για κάθε xε(α,xο) ένωση (xο,β) πχ f'(x)= 0 μπορούμε να πούμε πως ισχύει f(x)= c στο [α,β] χωρίς δικλαδη έτσι ;
eukleidhs1821
Διάσημο μέλος
Ο eukleidhs1821 αυτή τη στιγμή δεν είναι συνδεδεμένος. Είναι Πτυχιούχος του τμήματος Ιατρικής Ιωαννίνων (Ιωάννινα) και μας γράφει από Καινούργιο (Ηράκλειο). Έχει γράψει 3.965 μηνύματα.

31-05-22

13:49
οχι!!!!!προσεξε το!!!δεν μπορεις να ισχυριστεις στην ενωση οτι ειναι σταθερη η συναρτηση!!!οτι θεωρημα ξερεις ισχυει σε διαστημα!αν δεν κανω λαθος αυτο ειχε πεσει μια χρονια πρωτο θεμα και μαλιστα παιζει να το χει και το βιβλιο χωρις να ειμαι σιγουρος.απλα εσυ μπερδευτηκες με τη μονοτονια.αν εχεις παραγωγο θετικη ή αρνητικη στο (α,χο) ενωση (χο,β) και εχεις και φυσικα οτι ειναι συνεχης στο χ0 τοτε και μονο τοτε βγαζεις συμπερασμα οτι ειναι αυξουσα ή φθινουσα στην ενωση!Αν ορίζεται σε [α,β] και σου δίνει σχέση με παραγωγο που ισχύει για κάθε xε(α,xο) ένωση (xο,β) πχ f'(x)= 0 μπορούμε να πούμε πως ισχύει f(x)= c στο [α,β] χωρίς δικλαδη έτσι ;
Χρήστες Βρείτε παρόμοια
-
Τα παρακάτω 0 μέλη και 2 επισκέπτες διαβάζουν μαζί με εσάς αυτό το θέμα:Tα παρακάτω 290 μέλη διάβασαν αυτό το θέμα:
- Maynard
- foxypup
- Pars3c
- mikke
- hihat1
- thepigod762
- 98.8%chimpanzee
- trifasikodiavasma
- ggl
- ioanna2007
- Hased Babis
- Mariosm.
- infection54
- Jesse_
- topg
- eukleidhs1821
- bill09876
- Debugging_Demon
- mali
- Joji
- Ness
- Helen06
- Scandal
- synthnightingale
- arko
- BillyTheKid
- Magigi
- Paragontas7000
- Unboxholics
- just some guy
- george777
- Wonderkid
- IceCream05
- Abiogenesis
- GeorgePap2003
- katia.m
- giannhs2001
- paul
- Praxis
- Apocalypse
- shezza94
- desp1naa
- rempelos42
- Sherlockina
- oups
- Dimgeb
- spring day
- KingOfPop
- mpapa
- Chrisa
- Physicsstudent
- tsiobieman
- P.Dam.
- persi
- theodoraooo
- PanosBat
- kost28
- mikriarchitectonissa
- BILL KEXA
- Dr. Gl. Luminous
- Eleftheria2
- Lathy
- bruh_234
- Miranda32
- SlimShady
- kallikd
- nucomer
- alpha.kappa
- Eeeee
- J.Cameron
- Marple
- Kitana
- F1L1PAS
- sophiaa
- VFD59
- papa2g
- το κοριτσι του μαη
- srg96
- Hopeful22
- Φινεύς
- Phys39
- Anta2004
- fairyelly
- Pharmacist01
- jYanniss
- Panagiotis849
- Kokro
- augustine
- Nikoletaant
- Mashiro@Iberan
- margik
- Mammy Nun
- Pastramis
- Σωτηρία
- Appolon
- panosveki
- Nickt23
- igeorgeoikonomo
- Steliosgkougkou
- QWERTY23
- Ameliak
- aladdin
- nimbus
- Φωτεινη Τζα.
- marian
- Georgekk
- xrisamikol
- the purge
- Dora140303
- Machris
- s93060
- Nikitas18
- Stif6
- stav.mdp
- damn
- aekaras 21
- Anthropaki
- Angelos12345
- ioannam
- Μάρκος Βασίλης
- skyway
- Nick2325
- Nala
- Manolo165
- Ryuzaki
- T C
- Devilshjoker
- El_
- George9989
- TonyMontanaEse
- globglogabgalab
- constansn
- barkos
- katerinavld
- fenia
- An_uknown_world
- Jimmis18
- maria2001
- KingPoul
- Xara
- thecrazycretan
- abcdefg12345
- Κλημεντίνη
- ale
- panagiotis G
- mechaniceng
- Giii
- calliope
- Tequila
- natalix
- Cortes
- Alexecon1991
- pepsoula
- Mariaathens
- Lia 2006
- 1205
- παιδι για κλαματα
- Alexandros36k
- alexd99
- chembam
- Specon
- Dr House
- panagiotis23
- Johnman97
- rhymeasylum
- Αννα Τσιτα
- KaterinaL
- Libertus
- LeoDel
- iminspain
- den antexw allh apotyxia
- Λαμπρινηη
- Mendel2003
- Ijt
- drosos
- Κορώνα
- JohnGreek
- Αρχηγος_β3
- alexandra_
- ΘανάσοςG4
- Dimitris9
- Birtjan
- george7cr7
- NickT
- Bgpanos
- JKTHEMAN
- nicole1982
- χημεια4λαιφ
- Stroka
- Kostakis45
- charmander
- leo41
- EiriniS20
- Αριάνα123
- MarilynSt
- iManosX13
- Nefh_
- Viedo
- Βλα
- suaimhneas
- george pol
- kristinbacktoschool
- fearless
- Rene2004
- Steffie88
- Slytherin
- jimnikol21
- Unseen skygge
- cel123
- jul25
- Thanos_D
- Ireneeneri
- tasost
- Mukumbura
- xxxtolis
-
Φορτώνει...
-
Το forum μας χρησιμοποιεί cookies για να βελτιστοποιήσει την εμπειρία σας.
Συνεχίζοντας την περιήγησή σας, συναινείτε στη χρήση cookies στον περιηγητή σας.