Guest 691153
Επισκέπτης
αυτή τη στιγμή δεν είναι συνδεδεμέν. Δεν έχει γράψει κανένα μήνυμα.
10-10-23
22:19
Θείε Δία απλώς θέλω να ξέρεις οτι τοσο πολύ που βοηθάς εμένα και γενικά συμμαθητές στο φόρουμ ετούτο κάθε φορά που κάνω κάτι λάθος στη φυσική νιώθω τύψεις και ενοχές. Τοσες προσευχές που κάνω σε σενα πριν ανοίξω βιβλίο φυσικής θα με περάσουν οι δικοί μου ειδωλολάτρη 

41%
Εκκολαπτόμενο μέλος
Ο 41% αυτή τη στιγμή δεν είναι συνδεδεμένος. Είναι 25 ετών και Μαθητής Δημοτικού. Έχει γράψει 250 μηνύματα.
10-10-23
22:20
με απομονώνεις3) Θα συμφωνούσα να χωριστούν Μαθηματικά με Φυσική, για να μη μπλέκονται οι απαντήσεις.
.Dias
Επιφανές μέλος
Ο Dias αυτή τη στιγμή δεν είναι συνδεδεμένος. Είναι Καθηγητής κι έχει σπουδάσει στο τμήμα Φυσικής ΕΚΠΑ (Αθήνα). Έχει γράψει 10.664 μηνύματα.
10-10-23
22:26
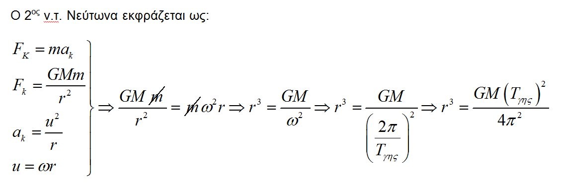
Ωραία με διατήρηση στρουμφορμής, κατάλληλη για Γ' λυκείου.
ΛΥΣΗ
Cade
Πολύ δραστήριο μέλος
Ο Cade αυτή τη στιγμή δεν είναι συνδεδεμένος. Είναι Απόφοιτος λυκείου. Έχει γράψει 871 μηνύματα.
10-10-23
22:38
Samael
Τιμώμενο Μέλος
Ο Samael αυτή τη στιγμή δεν είναι συνδεδεμένος. Είναι 26 ετών, Πτυχιούχος του τμήματος Ηλεκτρολόγων & Ηλεκτρονικών Μηχανικών ΠΑΔΑ και μας γράφει από Πειραιάς (Αττική). Έχει γράψει 12.073 μηνύματα.
11-10-23
00:59
*Διευκρίνιση : Επιθυμούμε για την χρήση ομοιόμορφης χρονικής κλίμακας σταθερό ρυθμό μεταβολής της στάθμης του υγρού. Εφόσον ο ρυθμός εκροής όγκου μειώνεται καθώς το h μειώνεται , για να μην μειώνεται πιο αργά η στάθμη του υγρού , ζητάμε αντίστοιχη μείωση της επιφάνειας , η οποία θα εξαρτάται απο την στάθμη κάθε φορά. Για αυτό και στο τέλος παίρνουμε μια σχέση που υποδεικνύει την ακτίνα της διατομής ως συνάρτηση της στάθμης του υγρού.
ιωαννηs
Επιφανές μέλος
Ο ιωαννηs αυτή τη στιγμή δεν είναι συνδεδεμένος. Είναι 25 ετών, Φοιτητής του τμήματος Πρόγραμμα Ιερατικών Σπουδών και μας γράφει από Πειραιάς (Αττική). Έχει γράψει 15.272 μηνύματα.
11-10-23
02:15
Αυτόματη ένωση συνεχόμενων μηνυμάτων:
Αυτόματη ένωση συνεχόμενων μηνυμάτων:
Αυτόματη ένωση συνεχόμενων μηνυμάτων:
Τα ορισμενα ολοκληρωματα ειναι βαρετα αλλα στην φυσικη ειναι πολυ συχνα και τα αγαπαμε γιατι ειναι απλα και δινουν λυσεις..Αυτο εδω ειναι ενα δυστροπο, εχει ενα μετασχηματισμο και 2 αντικαταστασεις
Dias
Επιφανές μέλος
Ο Dias αυτή τη στιγμή δεν είναι συνδεδεμένος. Είναι Καθηγητής κι έχει σπουδάσει στο τμήμα Φυσικής ΕΚΠΑ (Αθήνα). Έχει γράψει 10.664 μηνύματα.
11-10-23
17:29
Κάνει και για Β και για Γ λυκείου...
ΛΥΣΗ
ΛΥΣΗ
ιωαννηs
Επιφανές μέλος
Ο ιωαννηs αυτή τη στιγμή δεν είναι συνδεδεμένος. Είναι 25 ετών, Φοιτητής του τμήματος Πρόγραμμα Ιερατικών Σπουδών και μας γράφει από Πειραιάς (Αττική). Έχει γράψει 15.272 μηνύματα.
12-10-23
03:04
Τα διανυσματα ειναι μερος της γραμμικης αλγεβρας ,ειναι πολυ γλυκα πραματακια και χρησιμα και μας αρεσουν στην φυσικη οποτε διδασκονται εν μερη και εκει ..δεν συμβαινει και το ιδιο ομως με τις ταυτοτητες τους.
Αυτόματη ένωση συνεχόμενων μηνυμάτων:
ιωαννηs
Επιφανές μέλος
Ο ιωαννηs αυτή τη στιγμή δεν είναι συνδεδεμένος. Είναι 25 ετών, Φοιτητής του τμήματος Πρόγραμμα Ιερατικών Σπουδών και μας γράφει από Πειραιάς (Αττική). Έχει γράψει 15.272 μηνύματα.
12-10-23
09:48
Οχι θειε Δια δεν κουραστικα ..απλα αναρωτηθηκα αν αυτο που κανουμε εχει κανενα νοημα και κερδος?Ωραία, συνεχίζουμε! Ας κάνω μερικά σχόλια.
1) Γιάννη μου, δεν πιστεύω να κουράστηκες. Αν αυτό συνέβαινε θα με λυπούσε το γεγονός να σε χάσω από "συνεργάτη".
2) Οι απόψεις μου είναι πολύ κοντά με όσα έγραψε ο Σαμ.
2) Από τα προβλήματα που έχω βάλει, τα μισά είναι κατάλληλα για μαθητές Λυκείου, μάλλον κάπως αυξημένων απαιτήσεων. Μερικά είναι ανώτερου επιπέδου και άλλα αναφέρονται σε ύλη που δεν διδάσκεται πλέον στο λύκειο.
3) Θα συμφωνούσα να χωριστούν Μαθηματικά με Φυσική, για να μη μπλέκονται οι απαντήσεις. (Παρόμοιο μπλέξιμο έχουμε στο στέκι στο θέμα της επικαιρότητας όπου μπερδεύονται οι γυναικοκτονίες με το ΑΕΠ της Νέας Ζηλανδίας).
4) Να, και ένας μαθητής θέλει να συνεχίσουμε. Αυτό αυξάνει τις ελπίδες μου και τον ενθουσιασμό μου.
Οκ συνεχιζουμε
Ε κοιτα... αν χωριστουν και τα μαθητικα ..οκ να χωριστουν ..αλλα αμα χασουμε και τους μαθηματικους ? ε και εγω με ποιον θα τρολαρομαι μετα?
Οκ οτι θελεται ..θα βρουμε την ακρη.
Ολα καλα
Dias
Επιφανές μέλος
Ο Dias αυτή τη στιγμή δεν είναι συνδεδεμένος. Είναι Καθηγητής κι έχει σπουδάσει στο τμήμα Φυσικής ΕΚΠΑ (Αθήνα). Έχει γράψει 10.664 μηνύματα.
12-10-23
19:34
Mην ξεχνάμε και την Α' Λυκείου...
ΛΥΣΗ
ΛΥΣΗ
Samael
Τιμώμενο Μέλος
Ο Samael αυτή τη στιγμή δεν είναι συνδεδεμένος. Είναι 26 ετών, Πτυχιούχος του τμήματος Ηλεκτρολόγων & Ηλεκτρονικών Μηχανικών ΠΑΔΑ και μας γράφει από Πειραιάς (Αττική). Έχει γράψει 12.073 μηνύματα.
12-10-23
20:59
Καλώς λοιπόν. Προσπαθήστε να μην ανακατεύετε τις απαντήσεις μαθηματικών και φυσικής στο ίδιο μήνυμα, και θα κάτσω να ψάξω ποιες απαντήσεις αφορούν καθαρά μαθηματικά προβλήματα ώστε να μεταφερθούν σε νέο θέμα.
41%
Εκκολαπτόμενο μέλος
Ο 41% αυτή τη στιγμή δεν είναι συνδεδεμένος. Είναι 25 ετών και Μαθητής Δημοτικού. Έχει γράψει 250 μηνύματα.
12-10-23
21:50
άουτς πόνεσε, πάρε τώρα αυτή την ανισότητα γλυκέ μου φυσικέε και εγω με ποιον θα τρολαρομαι μετα?
Ένα τρίγωνο ΑΒΓ έχει πλευρές a,b,c με άθροισμα 2. Να αποδείξεται ότι a^2+b^2+c^2+2abc<2
Κάθε πλευρά πρέπει να είναι μικρότερη από το άθροισμα των άλλων δύο, άρα a<1, b<1 και c<1
Επομένως 2*(1-a)*(1-b)*(1-c)>0 <=> 2-2*(a+b+c)+2*(a*b+b*c+c*a)-2*a*b*c <=> 2+2*a*b*c<2*(a*b+b*c+c*a) (1)
Επίσης a+b+c=2
(a+b+c)^2=4=a^2+b^2+c^2+2(a*b+b*c+a*c)<=>2(a*b+b*c+c*a)=4-a^2-b^2-c^2 (2)
Από (1) και (2) έχουμε
2+2*a*b*c<4-a^2-b^2-c^2 <=> a^2+b^2+c^2+2abc<2
Guest 691153
Επισκέπτης
αυτή τη στιγμή δεν είναι συνδεδεμέν. Δεν έχει γράψει κανένα μήνυμα.
12-10-23
21:55
Πολύ ωραίο. Το θυμάμαι που αυτοί που μπόρεσαν να το λύσουν σχηματίσαμε μια κλίκα στο τμήμα μου , καλες εποχεςMην ξεχνάμε και την Α' Λυκείου...
ιωαννηs
Επιφανές μέλος
Ο ιωαννηs αυτή τη στιγμή δεν είναι συνδεδεμένος. Είναι 25 ετών, Φοιτητής του τμήματος Πρόγραμμα Ιερατικών Σπουδών και μας γράφει από Πειραιάς (Αττική). Έχει γράψει 15.272 μηνύματα.
13-10-23
12:50
ευχαριστω 41%άουτς πόνεσε, πάρε τώρα αυτή την ανισότητα γλυκέ μου φυσικέ
Ένα τρίγωνο ΑΒΓ έχει πλευρές a,b,c με άθροισμα 2. Να αποδείξεται ότι a^2+b^2+c^2+2abc<2
Κάθε πλευρά πρέπει να είναι μικρότερη από το άθροισμα των άλλων δύο, άρα a<1, b<1 και c<1
Επομένως 2*(1-a)*(1-b)*(1-c)>0 <=> 2-2*(a+b+c)+2*(a*b+b*c+c*a)-2*a*b*c <=> 2+2*a*b*c<2*(a*b+b*c+c*a) (1)
Επίσης a+b+c=2
(a+b+c)^2=4=a^2+b^2+c^2+2(a*b+b*c+a*c)<=>2(a*b+b*c+c*a)=4-a^2-b^2-c^2 (2)
Από (1) και (2) έχουμε
2+2*a*b*c<4-a^2-b^2-c^2 <=> a^2+b^2+c^2+2abc<2
το φυσικος ηταν ονειρο και παει... ξημερωσε
ωραια η σκεψη και μπραβω και σωστα
Αλλα γιατι με τυραννας ,..γιατι πρεπει να ξανακανω τις πραξεις να δω τι παιζει
Να βαλε και λεξουλες και αριά αριά ..να ετσι σαν παραμυθακι να το διαβαζω..
Κατι σαν αυτα που λεει η μοντελα η υφυπουργος παιδιας
Κυρια υφυπουργε το 10% των δασκαλων εκανε λαθος στην δηλωση στην πλατφορμα και κινδυνεύει.
Ε τι να νανουμε ας τα κανανε σωστα ..το αλλο δηλαδη 90% γιατι τα εκανε σωστα? Ας προσεχαν.
Ξερω οτι αυτοι οι φυσικοι ''οι μπακαληδες'' σας τρολάρουν αλλα εγω δεν ειμαι απο αυτους
ιωαννηs
Επιφανές μέλος
Ο ιωαννηs αυτή τη στιγμή δεν είναι συνδεδεμένος. Είναι 25 ετών, Φοιτητής του τμήματος Πρόγραμμα Ιερατικών Σπουδών και μας γράφει από Πειραιάς (Αττική). Έχει γράψει 15.272 μηνύματα.
13-10-23
13:22
ΕξαιρετικαMην ξεχνάμε και την Α' Λυκείου...
Και η υποθεση και η παρουσιαση..
Ηθικο διδαγμα ..μην ''τρεχεις πισω'' απο ενα κοριστι που φευγει ...δεν θα το προφτασεις
Dias
Επιφανές μέλος
Ο Dias αυτή τη στιγμή δεν είναι συνδεδεμένος. Είναι Καθηγητής κι έχει σπουδάσει στο τμήμα Φυσικής ΕΚΠΑ (Αθήνα). Έχει γράψει 10.664 μηνύματα.
13-10-23
13:34
Εδώ έχουμε λεωφορείο και όχι κορίτσι. Όμως σχετίζονται. Το κορίτσι είναι σαν το λεωφορείο καθώς πάντα υπάρχει επόμενο.Ηθικο διδαγμα ..μην ''τρεχεις πισω'' απο ενα κοριστι που φευγει ...δεν θα το προφτασεις
ιωαννηs
Επιφανές μέλος
Ο ιωαννηs αυτή τη στιγμή δεν είναι συνδεδεμένος. Είναι 25 ετών, Φοιτητής του τμήματος Πρόγραμμα Ιερατικών Σπουδών και μας γράφει από Πειραιάς (Αττική). Έχει γράψει 15.272 μηνύματα.
13-10-23
13:46
ναι ναι ετσι
φαντασου λεει να χασεις αυτο που εβαλες..... και το επομενο μαλλον θα να ειναι κατι τετοιο
πω πω πωρωση
φαντασου λεει να χασεις αυτο που εβαλες..... και το επομενο μαλλον θα να ειναι κατι τετοιο
πω πω πωρωση
Guest 691153
Επισκέπτης
αυτή τη στιγμή δεν είναι συνδεδεμέν. Δεν έχει γράψει κανένα μήνυμα.
13-10-23
13:49
Και όπως τα λεωφορεία της ΟΑΣΑ, οταν θες να εισαι μονος σου και να πηγαινεις βολτες παντα μπλοκαρουν τον δρομο και βγαινουν απο καθε στενο, αλλα οταν εχεις κανονίσει να πας καπου μαζι τους και τα περιμενεις ΔΕΝ ΘΑ ΕΡΘΟΥΝ ΠΟΤΕ ΣΤΗΝ ΩΡΑ ΤΟΥΣ (για σενα μιλαω Α8)
Dias
Επιφανές μέλος
Ο Dias αυτή τη στιγμή δεν είναι συνδεδεμένος. Είναι Καθηγητής κι έχει σπουδάσει στο τμήμα Φυσικής ΕΚΠΑ (Αθήνα). Έχει γράψει 10.664 μηνύματα.
13-10-23
15:11
Για Β' λυκείου προσανατολισμού: Κάτι απλό αλλά ίσως ξεκαθαρίσει κάποιες έννοιες και ίσως πείσει ότι η Φυσική δεν είναι απλά <<παίρνουμε τον τύπο*>>.
*Να τον πάρετε και να τον βάλετε εκεί που ξέρετε.
ΛΥΣΗ
*Να τον πάρετε και να τον βάλετε εκεί που ξέρετε.
Χρήστες Βρείτε παρόμοια
-
Τα παρακάτω 0 μέλη και 1 επισκέπτες διαβάζουν μαζί με εσάς αυτό το θέμα:Tα παρακάτω 277 μέλη διάβασαν αυτό το θέμα:
- ChrisG152
- ether--net
- Hased Babis
- GNick06
- Marildrea
- globglogabgalab
- Georgiaaa_
- Bonaparte
- Ilias__
- Kabamaru Hayate
- panosalex7
- eukleidhs1821
- SlimShady
- jYanniss
- Drscientist
- Corfu kitty
- bak07
- Kate1914
- aris65
- jellojina
- Unboxholics
- sakplat
- Chrisphys
- bigguy
- kelyphos
- love_to_learn
- tsiobieman
- Wonderkid
- Tolis211
- suaimhneas
- Indecisive2
- madness83828
- bibliofagos
- Hecticism
- ggl
- panosT436
- rseven
- Debugging_Demon
- andromaxh07
- Scandal
- georgetherrr
- antonis97
- BatGuin
- thesmilingchild
- iiTzArismaltor_
- Μήτσος10
- Orfano
- charmander
- eirinipap
- exotic xo
- Giorgosvr
- Qwerty 0
- Than003
- angela_k
- Jomo
- Joji
- kost28
- redpointer
- Albert.123
- Leo komm
- P.Dam.
- Steliosgkougkou
- chjan
- Evangeloz
- wmaria
- Maynard
- χημεια4λαιφ
- donut_daddy
- marikakitsou16
- physicscrazy
- Lia 2006
- chester20080
- panaman
- Msp1
- Sotis
- mirara
- melver
- grad778
- nickd
- V@Per
- ssalex
- catlover033
- carnage
- Μιχαήλ
- vas2017
- beatrixx
- phleidhs
- gegeorgiou90
- Dr. Gl. Luminous
- agg41
- thepigod762
- Helen06
- math2arch
- MrDragonboy
- chrismpd
- bill09876
- Paragontas7000
- ikigai
- Marel
- soleilst
- Startx0
- marilenaaa
- EllieKal
- gzois
- EFAKIT
- Φινεύς
- estrela
- Lifelong Learner
- Annie
- Panatha mono
- Mitsaras23
- Isa
- BiteTheDust
- Chris180
- aplalew
- user111
- Chemwizard
- giannhs2001
- Mukumbura
- MR WHITE
- SIAmia
- supertom4000
- J.Cameron
- persour
- Totreno
- sotirislk
- Specon
- Mariosm.
- Claire05
- Giorgos216
- Jimpower
- shezza94
- kwstasloul
- kan3nas
- dmav
- Obi-Wan Kenobi
- Nancysmilkyway
- Νομάρχης
- ogigidi
- ένας τυχαίος
- Hmmytheos
- constansn
- cannot_log_in
- hello1234
- ilal1200
- Alessandra Eliza
- Giannis327
- phoni
- aggorf
- Nala
- Frozensun
- xrisamikol
- Ilovemycats27
- PanosApo
- nik64
- angies
- dimitris_eee
- mike19
- angeloskar
- eltqt
- CrusaderKingsIII
- flaura
- elevag
- Patroklos
- Anonymous1
- IcedBreaje
- kiyoshi
- nicole1982
- Lost_In_Life
- Γατέχων
- AggelikiGr
- Nansytsg
- Lathy
- k4t
- Maria_Xagorari
- suuuuiiii
- SoyN
- thecrazycretan
- Jesse_
- A350
- Ιωάννης1234
- george777
- Abiogenesis
- Enhypen
- Mary06
- arko
- Giorgkalo
- velentzakoss
- Giota_pel
- AnnaRd
- Νικολινα
- NikNik1995
- BillyTheKid
- Nick_nt
- a namaves
- xristarac
- ilovekpop
- GeorgePap2003
- Sofos Gerontas
- topg
- Γιώτα Γιαννακού
- plantbee
- Peter Pan13
- Ness
- MrDna
- Jojo K
- Mewmaw
-
Φορτώνει...
-
Το forum μας χρησιμοποιεί cookies για να βελτιστοποιήσει την εμπειρία σας.
Συνεχίζοντας την περιήγησή σας, συναινείτε στη χρήση cookies στον περιηγητή σας.
Αρχική Forum
Ρωτήστε κάτι
Προσωπικές Συζητήσεις
Πανελλαδικές
Αγγελίες
Συνδεδεμένοι Χρήστες
Λίστα Αποκλεισμένων
Υπεύθυνοι του Forum
e-steki
