41%
Εκκολαπτόμενο μέλος
Ο 41% αυτή τη στιγμή δεν είναι συνδεδεμένος. Είναι 25 ετών και Μαθητής Δημοτικού. Έχει γράψει 250 μηνύματα.
07-10-23
20:07
Αυτό θα έκανα αλλά με πρόλαβες, αν δεν την λύσεις θείε και δεν βαριέμαι ίσως την ανεβάσω εγώΔεν είμαι βέβαιος ότι κατάλαβα. Αυτό εννοείς;
. Πάντως ενδιαφέρον που έβαλες τα μελλοντικά παιδιά του Κασελάκη.
Αυτόματη ένωση συνεχόμενων μηνυμάτων:
Απλά ανήκει περισσότερο στα μαθηματικά θα έλεγα παρόλο που έχει επιτάχυνση κτλ
Dias
Επιφανές μέλος
Ο Dias αυτή τη στιγμή δεν είναι συνδεδεμένος. Είναι Καθηγητής κι έχει σπουδάσει στο τμήμα Φυσικής ΕΚΠΑ (Αθήνα). Έχει γράψει 10.664 μηνύματα.
07-10-23
20:24
Θα περιμένω τη μαθηματική σου λύση. Μέχρι τότε θα προσπαθήσω να δώσω μια πρόχειρη ποιοτική απάντηση:Αυτό θα έκανα αλλά με πρόλαβες, αν δεν την λύσεις θείε και δεν βαριέμαι ίσως την ανεβάσω εγώ.
Απλά ανήκει περισσότερο στα μαθηματικά θα έλεγα παρόλο που έχει επιτάχυνση κτλ
ιωαννηs
Επιφανές μέλος
Ο ιωαννηs αυτή τη στιγμή δεν είναι συνδεδεμένος. Είναι 25 ετών, Φοιτητής του τμήματος Πρόγραμμα Ιερατικών Σπουδών και μας γράφει από Πειραιάς (Αττική). Έχει γράψει 15.271 μηνύματα.
07-10-23
22:30
Επειδη η δυναμη που ενεργει στα ιδιας μαζας παιδια ειναι το βαρος το οποια ειναι μια κλασικη διατηρητικη δυναμη ,και αφοσον τα παιδια ξεκινουν απο το ιδιο σημειο δυναμικου ( υψος) και καταληγουν στο ιδιο σημειο... το εργο που θα παραχθει θα ειναι το ιδιο (ασχετα με την διαδρομη) ..οποτε και τα δυο παιδια θα φτασουν μαζι ...
---------------------------------------------------------------------------------------------
---------------------------------------------------------------------------------------------
Συνημμένα
Cade
Πολύ δραστήριο μέλος
Ο Cade αυτή τη στιγμή δεν είναι συνδεδεμένος. Είναι Απόφοιτος λυκείου. Έχει γράψει 871 μηνύματα.
07-10-23
22:47
Για να αποφύγουμε τυχόν λάθη μπορούμε να πούμε ότι οι δύο διαδρομές είναι μια ευθεία και μια παραβολή. Ένας τρόπος κάνοντας χρήση λογισμού είναι να βρεθούν δύο εκφράσεις του χρόνου συναρτήσει του ύψους (t1(z), t2(z)) με κατάλληλη επιλογή συστηματος συντεταγμένων και να συγκριθούν. Ωστόσο έχει αρκετή βαβούρα
41%
Εκκολαπτόμενο μέλος
Ο 41% αυτή τη στιγμή δεν είναι συνδεδεμένος. Είναι 25 ετών και Μαθητής Δημοτικού. Έχει γράψει 250 μηνύματα.
07-10-23
22:49
αυτό βλέπω...Ωστόσο έχει αρκετή βαβούρα
Samael
Τιμώμενο Μέλος
Ο Samael αυτή τη στιγμή δεν είναι συνδεδεμένος. Είναι 26 ετών, Πτυχιούχος του τμήματος Ηλεκτρολόγων & Ηλεκτρονικών Μηχανικών ΠΑΔΑ και μας γράφει από Πειραιάς (Αττική). Έχει γράψει 12.073 μηνύματα.
07-10-23
22:50
Όποιο παιδάκι δεν βαριέται θα μπορούσε να γράψει λίγο κώδικα για τον προσεγγιστικό υπολογισμό του χρόνου .
41%
Εκκολαπτόμενο μέλος
Ο 41% αυτή τη στιγμή δεν είναι συνδεδεμένος. Είναι 25 ετών και Μαθητής Δημοτικού. Έχει γράψει 250 μηνύματα.
07-10-23
22:50
4 σελίδες γεμάτες και δεν ξέρω αν ξέφυγαν και πράματααυτό βλέπω...
Αυτόματη ένωση συνεχόμενων μηνυμάτων:
κουράστηκαΌποιο παιδάκι δεν βαριέται θα μπορούσε να γράψει λίγο κώδικα για τον προσεγγιστικό υπολογισμό του χρόνουη
Αυτόματη ένωση συνεχόμενων μηνυμάτων:
Δυστυχώς κάνεις λάθος ο Ηλίας θα φτάσει πρώτος.Επειδη η δυναμη που ενεργει στα ιδιας μαζας παιδια ειναι το βαρος το οποια ειναι μια κλασικη διατηρητικη δυναμη ,και αφοσον τα παιδια ξεκινουν απο το ιδιο σημειο δυναμικου ( υψος) και καταληγουν στο ιδιο σημειο... το εργο που θα παραχθει θα ειναι το ιδιο (ασχετα με την διαδρομη) ..οποτε και τα δυο παιδια θα φτασουν μαζι ...
Samael
Τιμώμενο Μέλος
Ο Samael αυτή τη στιγμή δεν είναι συνδεδεμένος. Είναι 26 ετών, Πτυχιούχος του τμήματος Ηλεκτρολόγων & Ηλεκτρονικών Μηχανικών ΠΑΔΑ και μας γράφει από Πειραιάς (Αττική). Έχει γράψει 12.073 μηνύματα.
07-10-23
22:53
Εγώ καθώς το έφτιαχνα : "Μήπως πιο απλή συνάρτηση θα ήταν καλύτερη ;"4 σελίδες γεμάτες και δεν ξέρω αν ξέφυγαν και πράματα
Εγώ μετά απο 1 λεπτό : "Δεν βαριέσαι..."

Ο λόγος που η μηχανική δεν είναι η αγαπημένη μου . Πολύ δουλειάκουράστηκα
.41%
Εκκολαπτόμενο μέλος
Ο 41% αυτή τη στιγμή δεν είναι συνδεδεμένος. Είναι 25 ετών και Μαθητής Δημοτικού. Έχει γράψει 250 μηνύματα.
07-10-23
22:57
λύνεται απλά με Νευτώνεια αλλά δεν έχει ενδιαφέρον...
Θα επανέλθω αν σκεφτώ τίποτα πιο απλό και κομψό στα μαθηματικά.
Αυτόματη ένωση συνεχόμενων μηνυμάτων:
Θα επανέλθω αν σκεφτώ τίποτα πιο απλό και κομψό στα μαθηματικά.
ιωαννηs
Επιφανές μέλος
Ο ιωαννηs αυτή τη στιγμή δεν είναι συνδεδεμένος. Είναι 25 ετών, Φοιτητής του τμήματος Πρόγραμμα Ιερατικών Σπουδών και μας γράφει από Πειραιάς (Αττική). Έχει γράψει 15.271 μηνύματα.
07-10-23
23:47
ε καλα μην βαρας ,,εγω απλα έδειξα τι θα γινει //και οι δυο μαζι4 σελίδες γεμάτες και δεν ξέρω αν ξέφυγαν και πράματα
Αυτόματη ένωση συνεχόμενων μηνυμάτων:
κουράστηκα
Αυτόματη ένωση συνεχόμενων μηνυμάτων:
Δυστυχώς κάνεις λάθος ο Ηλίας θα φτάσει πρώτος.
θες ο ηλιας ?..ο ηλιας πρωτος...οτι θες,,να περιμενει και την μαιρουλα να την παρει αγκαλια που φοβαται
εγω παντως σε τσουλιθρα δεν ανεβαινω για να σου το δειξω.
41%
Εκκολαπτόμενο μέλος
Ο 41% αυτή τη στιγμή δεν είναι συνδεδεμένος. Είναι 25 ετών και Μαθητής Δημοτικού. Έχει γράψει 250 μηνύματα.
07-10-23
23:52
Δεν βαράω, ούτε έχω κάποια προτίμηση απλά αναφέρω τι θα γίνει. Αν θες θα κάνω εγώ την τσουλίθρα να σε βγάλω από τον κόπο.ε καλα μην βαρας ,,εγω απλα έδειξα τι θα γινει //και οι δυο μαζι
θες ο ηλιας ?..ο ηλιας πρωτος...οτι θες
εγω παντως σε τσουλιθρα δεν ανεβαινω για να σου το δειξω.
Samael
Τιμώμενο Μέλος
Ο Samael αυτή τη στιγμή δεν είναι συνδεδεμένος. Είναι 26 ετών, Πτυχιούχος του τμήματος Ηλεκτρολόγων & Ηλεκτρονικών Μηχανικών ΠΑΔΑ και μας γράφει από Πειραιάς (Αττική). Έχει γράψει 12.073 μηνύματα.
07-10-23
23:53
Ταυτόχρονα μην το κάνετε μόνο γιατί ξέρετε...δεν θα είναι ευχάριστο αυτό που θα γίνει όταν φτάσετε και οι δύο στο έδαφοςΔεν βαράω, ούτε έχω κάποια προτίμηση απλά αναφέρω τι θα γίνει. Αν θες θα κάνω εγώ την τσουλίθρα να σε βγάλω από τον κόπο.
.41%
Εκκολαπτόμενο μέλος
Ο 41% αυτή τη στιγμή δεν είναι συνδεδεμένος. Είναι 25 ετών και Μαθητής Δημοτικού. Έχει γράψει 250 μηνύματα.
07-10-23
23:56
@γιαννης_00 έλα με φόραΤαυτόχρονα μην το κάνετε μόνο γιατί ξέρετε...δεν θα είναι ευχάριστο αυτό που θα γίνει όταν φτάσετε και οι δύο στο έδαφος.
θα κάνουμε μετωπικήιωαννηs
Επιφανές μέλος
Ο ιωαννηs αυτή τη στιγμή δεν είναι συνδεδεμένος. Είναι 25 ετών, Φοιτητής του τμήματος Πρόγραμμα Ιερατικών Σπουδών και μας γράφει από Πειραιάς (Αττική). Έχει γράψει 15.271 μηνύματα.
07-10-23
23:57
οχι οχι ..δεν τον ανεβαζω σε τσουλιθρα..εδω στο πειραια ολες ( αν υπαρχουν )Ταυτόχρονα μην το κάνετε μόνο γιατί ξέρετε...δεν θα είναι ευχάριστο αυτό που θα γίνει όταν φτάσετε και οι δύο στο έδαφος.
ειναι μαυρο χαλι..
Dias
Επιφανές μέλος
Ο Dias αυτή τη στιγμή δεν είναι συνδεδεμένος. Είναι Καθηγητής κι έχει σπουδάσει στο τμήμα Φυσικής ΕΚΠΑ (Αθήνα). Έχει γράψει 10.664 μηνύματα.
08-10-23
00:07
OXI. Το ότι το έργο είναι το ίδιο, δεν σημαίνει ότι θα φτάσουν μαζί.Επειδη η δυναμη που ενεργει στα ιδιας μαζας παιδια ειναι το βαρος το οποια ειναι μια κλασικη διατηρητικη δυναμη ,και αφοσον τα παιδια ξεκινουν απο το ιδιο σημειο δυναμικου ( υψος) και καταληγουν στο ιδιο σημειο... το εργο που θα παραχθει θα ειναι το ιδιο (ασχετα με την διαδρομη) ..οποτε και τα δυο παιδια θα φτασουν μαζι .
α) Το έργο είναι το ίδιο; ............. ΝΑΙ (mgh)
β) Θα φτάσουν ταυτόχρονα στο έδαφος; ............ ΟΧΙ ρίζα(2h/g) , ρίζα(2h/g) / ημφ
41%
Εκκολαπτόμενο μέλος
Ο 41% αυτή τη στιγμή δεν είναι συνδεδεμένος. Είναι 25 ετών και Μαθητής Δημοτικού. Έχει γράψει 250 μηνύματα.
08-10-23
00:29
Μπορούμε να πάμε στον Όλυμπο (αν και εσύ είσαι ήδη εκεί) να κάνουμε τσουλήθρα στις πλαγιές. Θα γλιτώσουμε και το βάσανο των σχημάτων αν και βλέπω είσαι καλλιτέχνης. Γραφίδα;OXI. Το ότι το έργο είναι το ίδιο, δεν σημαίνει ότι θα φτάσουν μαζί.
Αν αφήσουμε τα σώματα ελεύθερα συγχρόνως:![]()
α) Το έργο είναι το ίδιο; ............. ΝΑΙ (mgh)
β) Θα φτάσουν ταυτόχρονα στο έδαφος; ............ ΟΧΙ ρίζα(2h/g) , ρίζα(2h/g) / ημφ
![]()
Dias
Επιφανές μέλος
Ο Dias αυτή τη στιγμή δεν είναι συνδεδεμένος. Είναι Καθηγητής κι έχει σπουδάσει στο τμήμα Φυσικής ΕΚΠΑ (Αθήνα). Έχει γράψει 10.664 μηνύματα.
08-10-23
00:50
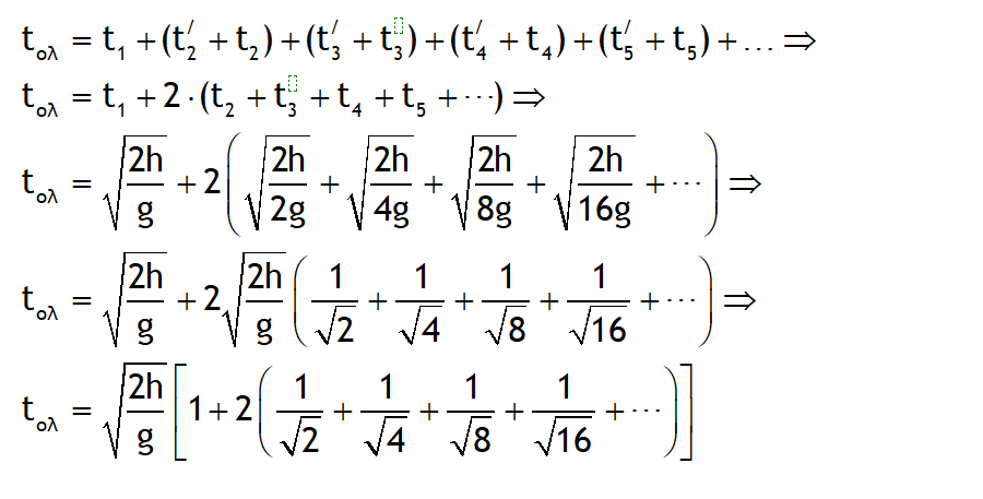
Η σημερινή μας ασκησούλα:
ΛΥΣΗ
ΛΥΣΗ
41%
Εκκολαπτόμενο μέλος
Ο 41% αυτή τη στιγμή δεν είναι συνδεδεμένος. Είναι 25 ετών και Μαθητής Δημοτικού. Έχει γράψει 250 μηνύματα.
08-10-23
00:52
Μαθηματικά δεν θα σταματήσει ποτέ θα τείνει προς το 0

Cade
Πολύ δραστήριο μέλος
Ο Cade αυτή τη στιγμή δεν είναι συνδεδεμένος. Είναι Απόφοιτος λυκείου. Έχει γράψει 871 μηνύματα.
08-10-23
02:19
Ο χρόνος για το σώμα που κινείται σε ευθεία είναι:
Το άλλο ολοκληρωμα δε μπορώ να το υπολογίσω, έχει θέμα ως προς τη σύγκλιση
Το άλλο ολοκληρωμα δε μπορώ να το υπολογίσω, έχει θέμα ως προς τη σύγκλιση
41%
Εκκολαπτόμενο μέλος
Ο 41% αυτή τη στιγμή δεν είναι συνδεδεμένος. Είναι 25 ετών και Μαθητής Δημοτικού. Έχει γράψει 250 μηνύματα.
08-10-23
08:55
Νομίζω υπολογίζεται αλλά δεν αξίζει τον κόπο πλέον, το πηγαίνεις κλασικά με Νευτώνεια.Ο χρόνος για το σώμα που κινείται σε ευθεία είναι:
![]()
Το άλλο ολοκληρωμα δε μπορώ να το υπολογίσω, έχει θέμα ως προς τη σύγκλιση
Χρήστες Βρείτε παρόμοια
-
Τα παρακάτω 0 μέλη και 1 επισκέπτες διαβάζουν μαζί με εσάς αυτό το θέμα:Tα παρακάτω 277 μέλη διάβασαν αυτό το θέμα:
- ChrisG152
- ether--net
- Hased Babis
- GNick06
- Marildrea
- globglogabgalab
- Georgiaaa_
- Bonaparte
- Ilias__
- Kabamaru Hayate
- panosalex7
- eukleidhs1821
- SlimShady
- jYanniss
- Drscientist
- Corfu kitty
- bak07
- Kate1914
- aris65
- jellojina
- Unboxholics
- sakplat
- Chrisphys
- bigguy
- kelyphos
- love_to_learn
- tsiobieman
- Wonderkid
- Tolis211
- suaimhneas
- Indecisive2
- madness83828
- bibliofagos
- Hecticism
- ggl
- panosT436
- rseven
- Debugging_Demon
- andromaxh07
- Scandal
- georgetherrr
- antonis97
- BatGuin
- thesmilingchild
- iiTzArismaltor_
- Μήτσος10
- Orfano
- charmander
- eirinipap
- exotic xo
- Giorgosvr
- Qwerty 0
- Than003
- angela_k
- Jomo
- Joji
- kost28
- redpointer
- Albert.123
- Leo komm
- P.Dam.
- Steliosgkougkou
- chjan
- Evangeloz
- wmaria
- Maynard
- χημεια4λαιφ
- donut_daddy
- marikakitsou16
- physicscrazy
- Lia 2006
- chester20080
- panaman
- Msp1
- Sotis
- mirara
- melver
- grad778
- nickd
- V@Per
- ssalex
- catlover033
- carnage
- Μιχαήλ
- vas2017
- beatrixx
- phleidhs
- gegeorgiou90
- Dr. Gl. Luminous
- agg41
- thepigod762
- Helen06
- math2arch
- MrDragonboy
- chrismpd
- bill09876
- Paragontas7000
- ikigai
- Marel
- soleilst
- Startx0
- marilenaaa
- EllieKal
- gzois
- EFAKIT
- Φινεύς
- estrela
- Lifelong Learner
- Annie
- Panatha mono
- Mitsaras23
- Isa
- BiteTheDust
- Chris180
- aplalew
- user111
- Chemwizard
- giannhs2001
- Mukumbura
- MR WHITE
- SIAmia
- supertom4000
- J.Cameron
- persour
- Totreno
- sotirislk
- Specon
- Mariosm.
- Claire05
- Giorgos216
- Jimpower
- shezza94
- kwstasloul
- kan3nas
- dmav
- Obi-Wan Kenobi
- Nancysmilkyway
- Νομάρχης
- ogigidi
- ένας τυχαίος
- Hmmytheos
- constansn
- cannot_log_in
- hello1234
- ilal1200
- Alessandra Eliza
- Giannis327
- phoni
- aggorf
- Nala
- Frozensun
- xrisamikol
- Ilovemycats27
- PanosApo
- nik64
- angies
- dimitris_eee
- mike19
- angeloskar
- eltqt
- CrusaderKingsIII
- flaura
- elevag
- Patroklos
- Anonymous1
- IcedBreaje
- kiyoshi
- nicole1982
- Lost_In_Life
- Γατέχων
- AggelikiGr
- Nansytsg
- Lathy
- k4t
- Maria_Xagorari
- suuuuiiii
- SoyN
- thecrazycretan
- Jesse_
- A350
- Ιωάννης1234
- george777
- Abiogenesis
- Enhypen
- Mary06
- arko
- Giorgkalo
- velentzakoss
- Giota_pel
- AnnaRd
- Νικολινα
- NikNik1995
- BillyTheKid
- Nick_nt
- a namaves
- xristarac
- ilovekpop
- GeorgePap2003
- Sofos Gerontas
- topg
- Γιώτα Γιαννακού
- plantbee
- Peter Pan13
- Ness
- MrDna
- Jojo K
- Mewmaw
-
Φορτώνει...
-
Το forum μας χρησιμοποιεί cookies για να βελτιστοποιήσει την εμπειρία σας.
Συνεχίζοντας την περιήγησή σας, συναινείτε στη χρήση cookies στον περιηγητή σας.
Αρχική Forum
Ρωτήστε κάτι
Προσωπικές Συζητήσεις
Πανελλαδικές
Αγγελίες
Συνδεδεμένοι Χρήστες
Λίστα Αποκλεισμένων
Υπεύθυνοι του Forum
e-steki
