Dias
Επιφανές μέλος
Ο Dias αυτή τη στιγμή δεν είναι συνδεδεμένος. Είναι Καθηγητής κι έχει σπουδάσει στο τμήμα Φυσικής ΕΚΠΑ (Αθήνα). Έχει γράψει 10.664 μηνύματα.
01-10-23
12:53
Δροσερή άσκηση και αυτή...
ΛΥΣΗ
ιωαννηs
Επιφανές μέλος
Ο ιωαννηs αυτή τη στιγμή δεν είναι συνδεδεμένος. Είναι 25 ετών, Φοιτητής του τμήματος Πρόγραμμα Ιερατικών Σπουδών και μας γράφει από Πειραιάς (Αττική). Έχει γράψει 15.271 μηνύματα.
02-10-23
09:53
Αυτη η ασκηση θα μπορουσε να ειναι θεμα πανελληνιων σαν συντομο θεμα.
Η περιστροφικη κινηση επιφερει μεγαλες δυναμεις στα περιστρεφομενα υλικα..Εδω μια ασκηση για μηχανολογους και χημικους να ξερουν ποσο ισχυρα και ελαστικα πρεπει να ειναι τα μεταλα της προπελας.
Τεραστιες δυναμεις ..7 τονους περιπου ,,σαν να εχει κρεμασμενη μια μικρη νταλικα στα ακρο της η προπελα και μονο με ταχυτητα 300 Κm την ωρα .
Αυτόματη ένωση συνεχόμενων μηνυμάτων:
Η περιστροφικη κινηση επιφερει μεγαλες δυναμεις στα περιστρεφομενα υλικα..Εδω μια ασκηση για μηχανολογους και χημικους να ξερουν ποσο ισχυρα και ελαστικα πρεπει να ειναι τα μεταλα της προπελας.
Τεραστιες δυναμεις ..7 τονους περιπου ,,σαν να εχει κρεμασμενη μια μικρη νταλικα στα ακρο της η προπελα και μονο με ταχυτητα 300 Κm την ωρα .
Dias
Επιφανές μέλος
Ο Dias αυτή τη στιγμή δεν είναι συνδεδεμένος. Είναι Καθηγητής κι έχει σπουδάσει στο τμήμα Φυσικής ΕΚΠΑ (Αθήνα). Έχει γράψει 10.664 μηνύματα.
02-10-23
12:59
Ποιος θέλει επαγωγή;
Το συγκεκριμένο πρόβλημα ήταν θέμα πανελληνίων τη δεκαετία του '80 (δέσμες) και είχε θεωρηθεί βατό. Ήταν στα SOS των πανελλαδικών Β' λυκείου (2000 - 2004). Τώρα, είναι ρητά αποκλεισμένο από τις πανελλαδικές της Γ' λυκείου. Δεν πειράζει, εδώ προχωράμε και πέρα από τις εξετάσεις.
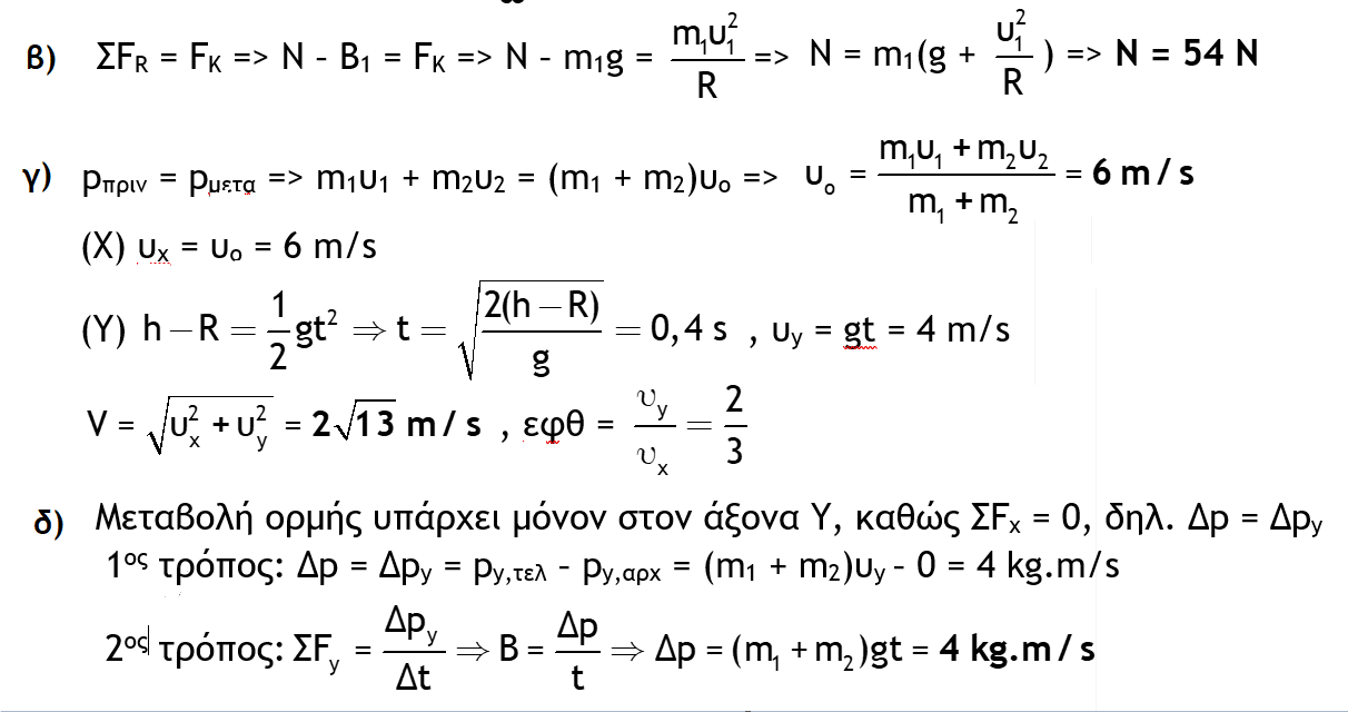
ΛΥΣΗ
Το συγκεκριμένο πρόβλημα ήταν θέμα πανελληνίων τη δεκαετία του '80 (δέσμες) και είχε θεωρηθεί βατό. Ήταν στα SOS των πανελλαδικών Β' λυκείου (2000 - 2004). Τώρα, είναι ρητά αποκλεισμένο από τις πανελλαδικές της Γ' λυκείου. Δεν πειράζει, εδώ προχωράμε και πέρα από τις εξετάσεις.
Guest 691153
Επισκέπτης
αυτή τη στιγμή δεν είναι συνδεδεμέν. Δεν έχει γράψει κανένα μήνυμα.
03-10-23
12:32
Θείε Δία ρίξε κανά πρόβλημα με πλανήτες / σύμπαν 

eukleidhs1821
Διάσημο μέλος
Ο eukleidhs1821 αυτή τη στιγμή δεν είναι συνδεδεμένος. Είναι Πτυχιούχος του τμήματος Ιατρικής Ιωαννίνων (Ιωάννινα) και μας γράφει από Καινούργιο (Ηράκλειο). Έχει γράψει 3.965 μηνύματα.
03-10-23
13:51
O διας ειναι ο μεσι της φυσικης και ο σαμαελ ο κριστιανο ροναλντο!
Dias
Επιφανές μέλος
Ο Dias αυτή τη στιγμή δεν είναι συνδεδεμένος. Είναι Καθηγητής κι έχει σπουδάσει στο τμήμα Φυσικής ΕΚΠΑ (Αθήνα). Έχει γράψει 10.664 μηνύματα.
03-10-23
18:20
Δε χαλάω χατίρια, αλλά μάλλον δεν είσαι ακόμα έτοιμος για τέτοια προβλήματα. Να:Θείε Δία ρίξε κανά πρόβλημα με πλανήτες / σύμπαν
ΛΥΣΗ
Dias
Επιφανές μέλος
Ο Dias αυτή τη στιγμή δεν είναι συνδεδεμένος. Είναι Καθηγητής κι έχει σπουδάσει στο τμήμα Φυσικής ΕΚΠΑ (Αθήνα). Έχει γράψει 10.664 μηνύματα.
04-10-23
11:05
Για Β λυκείου θετική, έχω κάτι καλό. Κατάλληλο και για διαγώνισμα.
ΛΥΣΗ
ΛΥΣΗ
Guest 691153
Επισκέπτης
αυτή τη στιγμή δεν είναι συνδεδεμέν. Δεν έχει γράψει κανένα μήνυμα.
04-10-23
13:42
Θα προσπαθήσω να κάνω το πρώτο μέρος, μιας και δεν εχουμε μπεί ακομα σε πλαστικές κρούσεις. Φαίνεται ενδιαφέρον
Αυτόματη ένωση συνεχόμενων μηνυμάτων:
Μόνο στο α τα κατάφερα. Θα ερθουν και τα αλλα με διαβασμα (εξαρταται απο μενα εννοείται)
Αυτόματη ένωση συνεχόμενων μηνυμάτων:
Πάντως γουστάρω πολύ αυτό το κεφάλαιο με την ομαλή κυκλική κίνηση γιατι μπλέκει το π με το οποίο παντα ειχα μια εμμονή αλλα και επειδή έχει τη γωνιακή ταχύτητα οπου σπάει το συστημα 2 διαστάσεων που είχαμε εως τώρα. Είναι περίεργο και καινουρίο και στην αρχή ανησυχούσα και φοβόμουν αλλα τώρα νιώθω άνετα
Dias
Επιφανές μέλος
Ο Dias αυτή τη στιγμή δεν είναι συνδεδεμένος. Είναι Καθηγητής κι έχει σπουδάσει στο τμήμα Φυσικής ΕΚΠΑ (Αθήνα). Έχει γράψει 10.664 μηνύματα.
05-10-23
09:45
Κάτι που δεν διδάσκεται πλέον στο λύκειο...
ΛΥΣΗ
Dias
Επιφανές μέλος
Ο Dias αυτή τη στιγμή δεν είναι συνδεδεμένος. Είναι Καθηγητής κι έχει σπουδάσει στο τμήμα Φυσικής ΕΚΠΑ (Αθήνα). Έχει γράψει 10.664 μηνύματα.
05-10-23
22:11
ΛΥΣΗ
Dias
Επιφανές μέλος
Ο Dias αυτή τη στιγμή δεν είναι συνδεδεμένος. Είναι Καθηγητής κι έχει σπουδάσει στο τμήμα Φυσικής ΕΚΠΑ (Αθήνα). Έχει γράψει 10.664 μηνύματα.
06-10-23
13:54
Κάτι απλό. Δεν είναι και Πυρηνική Φυσική! (Και όμως είναι!!!)
ΛΥΣΗ
ΛΥΣΗ
Dias
Επιφανές μέλος
Ο Dias αυτή τη στιγμή δεν είναι συνδεδεμένος. Είναι Καθηγητής κι έχει σπουδάσει στο τμήμα Φυσικής ΕΚΠΑ (Αθήνα). Έχει γράψει 10.664 μηνύματα.
06-10-23
23:20
Για την Οπτική ισχύει ότι «Μηδείς αγεωμέτρητος εισίτω»
ΛΥΣΗ
ΛΥΣΗ
Samael
Τιμώμενο Μέλος
Ο Samael αυτή τη στιγμή δεν είναι συνδεδεμένος. Είναι 26 ετών, Πτυχιούχος του τμήματος Ηλεκτρολόγων & Ηλεκτρονικών Μηχανικών ΠΑΔΑ και μας γράφει από Πειραιάς (Αττική). Έχει γράψει 12.073 μηνύματα.
07-10-23
15:55
Πρόβλημα :
Δύο παιδιά βρίσκονται σε έναν παιδότοπο . Το ένα παιδί βρίσκεται στο ένα άκρο του παιδότοπου και το άλλο βρίσκεται στο απέναντι άκρο . Κάθε άκρο συνδέεται μέσω μιας τσουλήθρας με το κέντρο του παιδότοπου . Τα παιδιά αποφασίζουν να παίξουν ένα παιχνίδι στο οποίο νικητής θα είναι αυτός που θα φτάσει πιο γρήγορα στο κέντρο , αφού τσουλίσει πρώτα απο την τσουλήθρα που βρίσκεται στην πλευρά του . Εαν η τσουλήθρα για το ένα παιδί έχει μορφή που δίνεται απο την σχέση y = x , και για το άλλο έχει μορφή y = x² , ποιο παιδί θα νικήσει;
Θεωρήστε οτι τα άκρα ισαπέχουν απο το κέντρο του παιδότοπου κατά d , πως οι τσουλήθρες δεν έχουν τριβές , και πως βρίσκονται στο ίδιο ύψος h .
Δύο παιδιά βρίσκονται σε έναν παιδότοπο . Το ένα παιδί βρίσκεται στο ένα άκρο του παιδότοπου και το άλλο βρίσκεται στο απέναντι άκρο . Κάθε άκρο συνδέεται μέσω μιας τσουλήθρας με το κέντρο του παιδότοπου . Τα παιδιά αποφασίζουν να παίξουν ένα παιχνίδι στο οποίο νικητής θα είναι αυτός που θα φτάσει πιο γρήγορα στο κέντρο , αφού τσουλίσει πρώτα απο την τσουλήθρα που βρίσκεται στην πλευρά του . Εαν η τσουλήθρα για το ένα παιδί έχει μορφή που δίνεται απο την σχέση y = x , και για το άλλο έχει μορφή y = x² , ποιο παιδί θα νικήσει;
Θεωρήστε οτι τα άκρα ισαπέχουν απο το κέντρο του παιδότοπου κατά d , πως οι τσουλήθρες δεν έχουν τριβές , και πως βρίσκονται στο ίδιο ύψος h .
Guest 691153
Επισκέπτης
αυτή τη στιγμή δεν είναι συνδεδεμέν. Δεν έχει γράψει κανένα μήνυμα.
07-10-23
16:50
Αυτό δεν ήταν και πείραμα στους MythBusters?Εαν η τσουλήθρα για το ένα παιδί έχει μορφή που δίνεται απο την σχέση y = x , και για το άλλο έχει μορφή y = x² , ποιο παιδί θα νικήσει;
Που έδειχναν οτι η ευθεία γραμμή είναι το πιο σύντομο μονοπάτι? https://youtube.com/shorts/H-qNPV4WSsE?si=n3tUtJ9H9o_79BfK
Samael
Τιμώμενο Μέλος
Ο Samael αυτή τη στιγμή δεν είναι συνδεδεμένος. Είναι 26 ετών, Πτυχιούχος του τμήματος Ηλεκτρολόγων & Ηλεκτρονικών Μηχανικών ΠΑΔΑ και μας γράφει από Πειραιάς (Αττική). Έχει γράψει 12.073 μηνύματα.
07-10-23
16:51
Δεν είναι*Αυτό δεν ήταν και πείραμα στους MythBusters?
Που έδειχναν οτι η ευθεία γραμμή είναι το πιο σύντομο μονοπάτι? https://youtube.com/shorts/H-qNPV4WSsE?si=n3tUtJ9H9o_79BfK
Dias
Επιφανές μέλος
Ο Dias αυτή τη στιγμή δεν είναι συνδεδεμένος. Είναι Καθηγητής κι έχει σπουδάσει στο τμήμα Φυσικής ΕΚΠΑ (Αθήνα). Έχει γράψει 10.664 μηνύματα.
07-10-23
19:46
Δεν είμαι βέβαιος ότι κατάλαβα. Αυτό εννοείς;Πρόβλημα :
Δύο παιδιά βρίσκονται σε έναν παιδότοπο ....
Samael
Τιμώμενο Μέλος
Ο Samael αυτή τη στιγμή δεν είναι συνδεδεμένος. Είναι 26 ετών, Πτυχιούχος του τμήματος Ηλεκτρολόγων & Ηλεκτρονικών Μηχανικών ΠΑΔΑ και μας γράφει από Πειραιάς (Αττική). Έχει γράψει 12.073 μηνύματα.
07-10-23
19:47
Ναι ακριβώς !
Μια διόρθωση μόνο , η άλλη τσουλήθρα πρέπει να έχεις μορφή y = x^2/d (αλλιώς δεν μπορούν να είναι ισοϋψείς και να απέχουν το ίδιο από το κέντρο του παιδότοπου ) .
Guest 691153
Επισκέπτης
αυτή τη στιγμή δεν είναι συνδεδεμέν. Δεν έχει γράψει κανένα μήνυμα.
07-10-23
19:51
ολοι στο φορουμ μου την εχουν στησει και διορθωνουν οτι πωΔεν είναι*

Samael
Τιμώμενο Μέλος
Ο Samael αυτή τη στιγμή δεν είναι συνδεδεμένος. Είναι 26 ετών, Πτυχιούχος του τμήματος Ηλεκτρολόγων & Ηλεκτρονικών Μηχανικών ΠΑΔΑ και μας γράφει από Πειραιάς (Αττική). Έχει γράψει 12.073 μηνύματα.
07-10-23
20:05
Εάν πάντα τα λες σωστά δεν έχει πλάκα όμως !ολοι στο φορουμ μου την εχουν στησει και διορθωνουν οτι πω![]()
Guest 691153
Επισκέπτης
αυτή τη στιγμή δεν είναι συνδεδεμέν. Δεν έχει γράψει κανένα μήνυμα.
07-10-23
20:06
ε δεν ειμαι και μπαμπινιωτηςΕάν πάντα τα λες σωστά δεν έχει πλάκα όμως !

Χρήστες Βρείτε παρόμοια
-
Τα παρακάτω 0 μέλη και 1 επισκέπτες διαβάζουν μαζί με εσάς αυτό το θέμα:Tα παρακάτω 277 μέλη διάβασαν αυτό το θέμα:
- ChrisG152
- ether--net
- Hased Babis
- GNick06
- Marildrea
- globglogabgalab
- Georgiaaa_
- Bonaparte
- Ilias__
- Kabamaru Hayate
- panosalex7
- eukleidhs1821
- SlimShady
- jYanniss
- Drscientist
- Corfu kitty
- bak07
- Kate1914
- aris65
- jellojina
- Unboxholics
- sakplat
- Chrisphys
- bigguy
- kelyphos
- love_to_learn
- tsiobieman
- Wonderkid
- Tolis211
- suaimhneas
- Indecisive2
- madness83828
- bibliofagos
- Hecticism
- ggl
- panosT436
- rseven
- Debugging_Demon
- andromaxh07
- Scandal
- georgetherrr
- antonis97
- BatGuin
- thesmilingchild
- iiTzArismaltor_
- Μήτσος10
- Orfano
- charmander
- eirinipap
- exotic xo
- Giorgosvr
- Qwerty 0
- Than003
- angela_k
- Jomo
- Joji
- kost28
- redpointer
- Albert.123
- Leo komm
- P.Dam.
- Steliosgkougkou
- chjan
- Evangeloz
- wmaria
- Maynard
- χημεια4λαιφ
- donut_daddy
- marikakitsou16
- physicscrazy
- Lia 2006
- chester20080
- panaman
- Msp1
- Sotis
- mirara
- melver
- grad778
- nickd
- V@Per
- ssalex
- catlover033
- carnage
- Μιχαήλ
- vas2017
- beatrixx
- phleidhs
- gegeorgiou90
- Dr. Gl. Luminous
- agg41
- thepigod762
- Helen06
- math2arch
- MrDragonboy
- chrismpd
- bill09876
- Paragontas7000
- ikigai
- Marel
- soleilst
- Startx0
- marilenaaa
- EllieKal
- gzois
- EFAKIT
- Φινεύς
- estrela
- Lifelong Learner
- Annie
- Panatha mono
- Mitsaras23
- Isa
- BiteTheDust
- Chris180
- aplalew
- user111
- Chemwizard
- giannhs2001
- Mukumbura
- MR WHITE
- SIAmia
- supertom4000
- J.Cameron
- persour
- Totreno
- sotirislk
- Specon
- Mariosm.
- Claire05
- Giorgos216
- Jimpower
- shezza94
- kwstasloul
- kan3nas
- dmav
- Obi-Wan Kenobi
- Nancysmilkyway
- Νομάρχης
- ogigidi
- ένας τυχαίος
- Hmmytheos
- constansn
- cannot_log_in
- hello1234
- ilal1200
- Alessandra Eliza
- Giannis327
- phoni
- aggorf
- Nala
- Frozensun
- xrisamikol
- Ilovemycats27
- PanosApo
- nik64
- angies
- dimitris_eee
- mike19
- angeloskar
- eltqt
- CrusaderKingsIII
- flaura
- elevag
- Patroklos
- Anonymous1
- IcedBreaje
- kiyoshi
- nicole1982
- Lost_In_Life
- Γατέχων
- AggelikiGr
- Nansytsg
- Lathy
- k4t
- Maria_Xagorari
- suuuuiiii
- SoyN
- thecrazycretan
- Jesse_
- A350
- Ιωάννης1234
- george777
- Abiogenesis
- Enhypen
- Mary06
- arko
- Giorgkalo
- velentzakoss
- Giota_pel
- AnnaRd
- Νικολινα
- NikNik1995
- BillyTheKid
- Nick_nt
- a namaves
- xristarac
- ilovekpop
- GeorgePap2003
- Sofos Gerontas
- topg
- Γιώτα Γιαννακού
- plantbee
- Peter Pan13
- Ness
- MrDna
- Jojo K
- Mewmaw
-
Φορτώνει...
-
Το forum μας χρησιμοποιεί cookies για να βελτιστοποιήσει την εμπειρία σας.
Συνεχίζοντας την περιήγησή σας, συναινείτε στη χρήση cookies στον περιηγητή σας.
Αρχική Forum
Ρωτήστε κάτι
Προσωπικές Συζητήσεις
Πανελλαδικές
Αγγελίες
Συνδεδεμένοι Χρήστες
Λίστα Αποκλεισμένων
Υπεύθυνοι του Forum
e-steki
