marian
Νεοφερμένο μέλος
Η marian αυτή τη στιγμή δεν είναι συνδεδεμένη. Είναι 34 ετών και Φοιτήτρια του τμήματος Επιστήμης Υπολογιστών Κρήτης. Έχει γράψει 115 μηνύματα.

18-04-21

16:48
Παιδιά σορρυ αν φαίνονται κάπως χαζες οι ερωτήσεις μου αλλά δίνω μετά από χρόνια και διαβάζω μόνη μου.
Διαβαζω από το βοήθημα του Μπάρλα και δε βλεπω κάπου ασκήσεις με ασύμπτωτές (στο β τευχος, εκτός και αν δεν εχω δει καλά).
Επίσης, θεωρω οτι καλυτερο ειναι να εχω ως οδηγο το βιβλιο και οχι το βοηθημα (νωρις το καταλαβα
)Τωρα είμαι στις συνέπειες του θεωρήματος της μεσης τιμης και στο βιβλιο δεν υπαρχει άσκηση που να πρεπει να κανεις αντιπαραγωγιση ( σελ.256...) και να βρεις τη συναρτηση της. Στο βοήθημα υπαρχουν ομως και σκεφτομαι να δωσω βαση εκει ή οχι αφου βασιζονται στα ολοκληρωματα τα οποια ειναι εκτός ύλης;
Διαβαζω από το βοήθημα του Μπάρλα και δε βλεπω κάπου ασκήσεις με ασύμπτωτές (στο β τευχος, εκτός και αν δεν εχω δει καλά).
Επίσης, θεωρω οτι καλυτερο ειναι να εχω ως οδηγο το βιβλιο και οχι το βοηθημα (νωρις το καταλαβα

Alexandros28
Δραστήριο μέλος
Ο Alexandros28 αυτή τη στιγμή δεν είναι συνδεδεμένος. Έχει γράψει 750 μηνύματα.
Samael
Τιμώμενο Μέλος
Ο Samael αυτή τη στιγμή δεν είναι συνδεδεμένος. Είναι 26 ετών, Πτυχιούχος του τμήματος Ηλεκτρολόγων & Ηλεκτρονικών Μηχανικών ΠΑΔΑ και μας γράφει από Πειραιάς (Αττική). Έχει γράψει 12.048 μηνύματα.

21-04-21

21:13
Όχι ιδιαίτερα δύσκολη ασκησούλα, αλλά είναι μια καλή γενική πάνω στα όρια που όποιος την δοκιμάσει θα καταλάβει εάν έχει κενά και εάν χρειάζεται να εξασκηθεί παραπάνω. Μου αρέσει πάντως πολύ το γεγονός απο άποψη ιδέας οτι ορίζει συνάρτηση μέσω ορίου. Δεν συνηθίζεται τόσο στο λύκειο ή μάλλον ξεχνιέται οτι μπορεί να γίνει(η e^x ορίζεται και έτσι ουσιαστικά μεταξύ άλλων τρόπων). Οπότε είναι καλή για να ψαρώσει κάποιον πιστεύω. Αλλά και μια ευκαιρία για να καταλάβει ο μαθητής πόσο ελαστικές είναι οι έννοιες που μαθαίνει.
f(λ) = (e-1)/(e+1) , αν λ = e.
f(λ) = -1/λ , αν λ > e
f(λ) = e , αν 0< λ < e
f(λ) = -1/λ , αν λ > e
f(λ) = e , αν 0< λ < e
Guest 749981
Επισκέπτης
αυτή τη στιγμή δεν είναι συνδεδεμέν. Δεν έχει γράψει κανένα μήνυμα.

21-04-21

22:01
Ωραία ασκησούλα και για εμένα που δεν τα έχω τόσο φρέσκα ώστε να τα θυμηθώ.
eukleidhs1821
Διάσημο μέλος
Ο eukleidhs1821 αυτή τη στιγμή δεν είναι συνδεδεμένος. Είναι Πτυχιούχος του τμήματος Ιατρικής Ιωαννίνων (Ιωάννινα) και μας γράφει από Καινούργιο (Ηράκλειο). Έχει γράψει 3.965 μηνύματα.

22-04-21

14:22
αρκετα πονηρη ασκηση δεν θα την ελεγα και ευκολη.
το λεπτο σημειο ειναι να διαιρεσεις αριθμητη και παρονομαστη με λ^χ
αρα δημιουργειται (e*(e/λ)^χ-1)/((e/λ)^χ+λ)
αν το 0<λ<e e/λ>1 επομένως έχουμε απροσδιοριστια +00/+00.αν κανουμε l hospital παιρνουμε e*(e/λ)^χ*ln(e/λ)/(e/λ)^χ*ln(e/λ)=e
λ=e τοτε ειναι e-1/e+1
λ>e -1/λ
προσεχτε την παραγωγο a^x ειναι α^χlna.παρα πολλα παιδια μπερδευονται.επομενως αν θες να βρεις την παραγωγο (e/λ)^χ τον ρολο του α παιζει το e/λ.
το λεπτο σημειο ειναι να διαιρεσεις αριθμητη και παρονομαστη με λ^χ
αρα δημιουργειται (e*(e/λ)^χ-1)/((e/λ)^χ+λ)
αν το 0<λ<e e/λ>1 επομένως έχουμε απροσδιοριστια +00/+00.αν κανουμε l hospital παιρνουμε e*(e/λ)^χ*ln(e/λ)/(e/λ)^χ*ln(e/λ)=e
λ=e τοτε ειναι e-1/e+1
λ>e -1/λ
προσεχτε την παραγωγο a^x ειναι α^χlna.παρα πολλα παιδια μπερδευονται.επομενως αν θες να βρεις την παραγωγο (e/λ)^χ τον ρολο του α παιζει το e/λ.
igeorgeoikonomo
Νεοφερμένο μέλος
Ο igeorgeoikonomo αυτή τη στιγμή δεν είναι συνδεδεμένος. Έχει γράψει 97 μηνύματα.

22-04-21

15:54
Παιδιά, συγγνώμη που διακόπτω την συζήτηση για το όριο. Ήθελα να σας ρωτήσω όλους σχετικά με το που μπορώ να προμηθευτώ καλό υλικό για επανάληψη στα Μαθηματικά, τέτοιες ασκήσεις π.χ που βλέπω εδώ (κάπως τρελές φάση
) τις βρίσκετε σε κάποιο σάιτ συγκεντρωμένες;

Alexandros28
Δραστήριο μέλος
Ο Alexandros28 αυτή τη στιγμή δεν είναι συνδεδεμένος. Έχει γράψει 750 μηνύματα.

22-04-21

15:57
Την ιδέα αυτή την είχα δει από έναν Ρώσο τρελακια στο YouTube. Γενικά δεν υπάρχει ένα βιβλίο που να χει όλα αυτά που στέλνουμε μαζεμένα. Το καθένα έχει λίγα που είναι έξυπνα. Αυτό που σου συνιστώ εγώ είναι γενικά να ψάχνεις από παντού υπάρχει άπειρο υλικό στο διαδίκτυο για τα μαθήματα της Γ λυκείου.
Παρά πολύ καλά θέματα βγάζει η Μαθηματική εταιρεία. Υπάρχουν και στα περιοδικά Ευκλείδης που βρίσκονται δωρεάν online.
Αυτόματη ένωση συνεχόμενων μηνυμάτων:
Παρά πολύ καλά θέματα βγάζει η Μαθηματική εταιρεία. Υπάρχουν και στα περιοδικά Ευκλείδης που βρίσκονται δωρεάν online.
igeorgeoikonomo
Νεοφερμένο μέλος
Ο igeorgeoikonomo αυτή τη στιγμή δεν είναι συνδεδεμένος. Έχει γράψει 97 μηνύματα.

22-04-21

16:08
Δεν ήξερα ότι τα περιοδικά αυτά είναι δωρεάν.. Νόμιζα πως υπάρχει αντίτιμο. Θα τα ψάξω. Τα θέματα της Μαθηματικής τα έχουμε δει στο σχολείο. Καλά για τον Ρώσο δεν σχολιάζω 

asdfqwerty
Πολύ δραστήριο μέλος
Ο asdfqwerty αυτή τη στιγμή δεν είναι συνδεδεμένος. Είναι Φοιτητής του τμήματος Πληροφορικής & Τηλεπικοινωνιών ΕΚΠΑ. Έχει γράψει 1.347 μηνύματα.

23-04-21

00:15
Γεια σου,και εγω δεν θεωρω οτι θα υπαρξει θεμα που θα χρειαστει αντιπαραγωγιση δεδομενου οτι ειναι εκτος το κεφαλαιο των παραγουσων.Ωστοσο μπορουν να σου δωσουν μια διαφορικη εξισωση και στο 1ο ερωτημα να λεει δειξε οτι η ταδε ειναι σταθερη συναρτηση και μετα βρες την συναρτηση πχ(δες θεμα δ επαναληπτικες πανελε 2020 νεο συστημα)Παιδιά σορρυ αν φαίνονται κάπως χαζες οι ερωτήσεις μου αλλά δίνω μετά από χρόνια και διαβάζω μόνη μου.
Διαβαζω από το βοήθημα του Μπάρλα και δε βλεπω κάπου ασκήσεις με ασύμπτωτές (στο β τευχος, εκτός και αν δεν εχω δει καλά).
Επίσης, θεωρω οτι καλυτερο ειναι να εχω ως οδηγο το βιβλιο και οχι το βοηθημα (νωρις το καταλαβα)Τωρα είμαι στις συνέπειες του θεωρήματος της μεσης τιμης και στο βιβλιο δεν υπαρχει άσκηση που να πρεπει να κανεις αντιπαραγωγιση ( σελ.256...) και να βρεις τη συναρτηση της. Στο βοήθημα υπαρχουν ομως και σκεφτομαι να δωσω βαση εκει ή οχι αφου βασιζονται στα ολοκληρωματα τα οποια ειναι εκτός ύλης;
eukleidhs1821
Διάσημο μέλος
Ο eukleidhs1821 αυτή τη στιγμή δεν είναι συνδεδεμένος. Είναι Πτυχιούχος του τμήματος Ιατρικής Ιωαννίνων (Ιωάννινα) και μας γράφει από Καινούργιο (Ηράκλειο). Έχει γράψει 3.965 μηνύματα.

23-04-21

15:19
Αυτόματη ένωση συνεχόμενων μηνυμάτων:
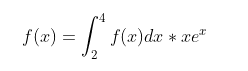
Δίνεται η συναρτηση f(x)=xe^xολοκληρωμααπο2 εως 4f(x)dx.Να βρειτε την f
asdfqwerty
Πολύ δραστήριο μέλος
Ο asdfqwerty αυτή τη στιγμή δεν είναι συνδεδεμένος. Είναι Φοιτητής του τμήματος Πληροφορικής & Τηλεπικοινωνιών ΕΚΠΑ. Έχει γράψει 1.347 μηνύματα.

23-04-21

19:04
αν καταλαβα καλα εννοεις αυτοΑυτόματη ένωση συνεχόμενων μηνυμάτων:
Δίνεται η συναρτηση f(x)=xe^xολοκληρωμααπο2 εως 4f(x)dx.Να βρειτε την f
eukleidhs1821
Διάσημο μέλος
Ο eukleidhs1821 αυτή τη στιγμή δεν είναι συνδεδεμένος. Είναι Πτυχιούχος του τμήματος Ιατρικής Ιωαννίνων (Ιωάννινα) και μας γράφει από Καινούργιο (Ηράκλειο). Έχει γράψει 3.965 μηνύματα.

23-04-21

19:46
σωστα οταν επεσε ομως πριν 13 χρονια κλαψανε πολλοι τοτε.θεωρω οταν ξαναμπουν τα ολοκληρωματα υλη παλι θα ειναι πιθανο θεμα κατευθειαναν καταλαβα καλα εννοεις αυτο View attachment 79862αρκετα "βατη" απο την αποψη οτι ειναι γνωστη ασκηση και σιγουρα υπαρχει τουλαχιστον ενα παραδειγμα σε οποιοδηποτε βοηθημα .
Samael
Τιμώμενο Μέλος
Ο Samael αυτή τη στιγμή δεν είναι συνδεδεμένος. Είναι 26 ετών, Πτυχιούχος του τμήματος Ηλεκτρολόγων & Ηλεκτρονικών Μηχανικών ΠΑΔΑ και μας γράφει από Πειραιάς (Αττική). Έχει γράψει 12.048 μηνύματα.

23-04-21

22:30
σωστα οταν επεσε ομως πριν 13 χρονια κλαψανε πολλοι τοτε.θεωρω οταν ξαναμπουν τα ολοκληρωματα υλη παλι θα ειναι πιθανο θεμα κατευθειαν
Τα ολοκληρώματα έχουν βγει απο την ύλη ; Δεν είμαστε καλά...

Guest 831328
Επισκέπτης
αυτή τη στιγμή δεν είναι συνδεδεμέν. Δεν έχει γράψει κανένα μήνυμα.

24-04-21

11:04
βασικα οχι εντελως τουλαχιστον το 2019 ηταν μεσα οι παραγραφοι που παραθετω στην εικονα. Νομιζω βγηκαν φετος λογω κορωνοϊου, του χρονου που θα δωσω εγω και οσοι αλλοι, πιθανοτατα θα επαναφερθουν. Μια και επεται μια αλλαγη βιβλιων του χρονου κιολας υπαρχει περιπτωση το 2022 να δωσουμε εχοντας στην υλη και μιγαδικούς αλλα δεν ειναι και σιγουρο.Τα ολοκληρώματα έχουν βγει απο την ύλη ; Δεν είμαστε καλά.
Συνημμένα
asdfqwerty
Πολύ δραστήριο μέλος
Ο asdfqwerty αυτή τη στιγμή δεν είναι συνδεδεμένος. Είναι Φοιτητής του τμήματος Πληροφορικής & Τηλεπικοινωνιών ΕΚΠΑ. Έχει γράψει 1.347 μηνύματα.

24-04-21

17:38
αυτο που λενε με τα 3 βιβλια (καλα θα παει αυτο ) θα εφαρμοστει οπως λενε απο το 2023. Η συγγραφη θα ξεκινησει απο το καλοκαιριβασικα οχι εντελως τουλαχιστον το 2019 ηταν μεσα οι παραγραφοι που παραθετω στην εικονα. Νομιζω βγηκαν φετος λογω κορωνοϊου, του χρονου που θα δωσω εγω και οσοι αλλοι, πιθανοτατα θα επαναφερθουν. Μια και επεται μια αλλαγη βιβλιων του χρονου κιολας υπαρχει περιπτωση το 2022 να δωσουμε εχοντας στην υλη και μιγαδικούς αλλα δεν ειναι και σιγουρο.
Guest 831328
Επισκέπτης
αυτή τη στιγμή δεν είναι συνδεδεμέν. Δεν έχει γράψει κανένα μήνυμα.

24-04-21

19:08
αυτο που λενε με τα 3 βιβλια (καλα θα παει αυτο ) θα εφαρμοστει οπως λενε απο το 2023. Η συγγραφη θα ξεκινησει απο το καλοκαιρι
Ποιο με τα τρία βιβλία εγώ απλά ξέρω ότι θα αλλάξει το βιβλίο της Γ Λυκείου του χρόνου καθώς αυτό μου είπαν σε ένα βιβλιοπωλείο όταν πήγα να το ζητήσω πριν λίγες εβδομάδες. Αν ήταν να ισχύσει το 2023 δεν νομίζω να μου το έλεγαν αυτό.
asdfqwerty
Πολύ δραστήριο μέλος
Ο asdfqwerty αυτή τη στιγμή δεν είναι συνδεδεμένος. Είναι Φοιτητής του τμήματος Πληροφορικής & Τηλεπικοινωνιών ΕΚΠΑ. Έχει γράψει 1.347 μηνύματα.

24-04-21

20:18
Αποκλειεται να γινει η αλλαγη αυτη του χρονου.Λέγεται οτι θα υπαρξουν 3 βιβλια που το καθενα θα πραγματευεται ενα διαφορετικο κομματι των μαθηματικων (αναλυση,αναλυτικη γεωμετρια,στερεομετρια αυτα ακουγονται προς το παρον. ) . Η συγγραφη των νεων βιβλιων δρομολογειται για το καλοκαιρι.Ποιο με τα τρία βιβλία εγώ απλά ξέρω ότι θα αλλάξει το βιβλίο της Γ Λυκείου του χρόνου καθώς αυτό μου είπαν σε ένα βιβλιοπωλείο όταν πήγα να το ζητήσω πριν λίγες εβδομάδες. Αν ήταν να ισχύσει το 2023 δεν νομίζω να μου το έλεγαν αυτό.
eukleidhs1821
Διάσημο μέλος
Ο eukleidhs1821 αυτή τη στιγμή δεν είναι συνδεδεμένος. Είναι Πτυχιούχος του τμήματος Ιατρικής Ιωαννίνων (Ιωάννινα) και μας γράφει από Καινούργιο (Ηράκλειο). Έχει γράψει 3.965 μηνύματα.

24-04-21

21:04
θα βαλουνε στερεομετρια???Αποκλειεται να γινει η αλλαγη αυτη του χρονου.Λέγεται οτι θα υπαρξουν 3 βιβλια που το καθενα θα πραγματευεται ενα διαφορετικο κομματι των μαθηματικων (αναλυση,αναλυτικη γεωμετρια,στερεομετρια αυτα ακουγονται προς το παρον. ) . Η συγγραφη των νεων βιβλιων δρομολογειται για το καλοκαιρι.

Guest 831328
Επισκέπτης
αυτή τη στιγμή δεν είναι συνδεδεμέν. Δεν έχει γράψει κανένα μήνυμα.

24-04-21

21:06
Προφανώς δεν αναφέρομαι σε τέτοιες αλλαγές. Λέω μικρόαλλαγες τύπου επαναπροσθεση των μιγαδικών. Δεν νομίζω και τα δύο βιβλιοπωλεία που ρώτησα να πληροφορήθηκαν λάθος. Οι αλλαγές που λες εσύ θα ισχύσουν αλλά πολύ αργότερα καθώς μιλάς για ολική αναμόρφωση του και όχι απλά την επαναπροσθεση ενός κεφαλαίου.Αποκλειεται να γινει η αλλαγη αυτη του χρονου.Λέγεται οτι θα υπαρξουν 3 βιβλια που το καθενα θα πραγματευεται ενα διαφορετικο κομματι των μαθηματικων (αναλυση,αναλυτικη γεωμετρια,στερεομετρια αυτα ακουγονται προς το παρον. ) . Η συγγραφη των νεων βιβλιων δρομολογειται για το καλοκαιρι.
Guest 749981
Επισκέπτης
αυτή τη στιγμή δεν είναι συνδεδεμέν. Δεν έχει γράψει κανένα μήνυμα.

24-04-21

21:13
Άμα γίνει αυτό δεν ξαναμιλάω άσχημα για την Κεραμέως.Αποκλειεται να γινει η αλλαγη αυτη του χρονου.Λέγεται οτι θα υπαρξουν 3 βιβλια που το καθενα θα πραγματευεται ενα διαφορετικο κομματι των μαθηματικων (αναλυση,αναλυτικη γεωμετρια,στερεομετρια αυτα ακουγονται προς το παρον. ) . Η συγγραφη των νεων βιβλιων δρομολογειται για το καλοκαιρι.
Χρήστες Βρείτε παρόμοια
-
Τα παρακάτω 0 μέλη και 1 επισκέπτες διαβάζουν μαζί με εσάς αυτό το θέμα:Tα παρακάτω 290 μέλη διάβασαν αυτό το θέμα:
- Maynard
- foxypup
- Pars3c
- mikke
- hihat1
- thepigod762
- 98.8%chimpanzee
- trifasikodiavasma
- ggl
- ioanna2007
- Hased Babis
- Mariosm.
- infection54
- Jesse_
- topg
- eukleidhs1821
- bill09876
- Debugging_Demon
- mali
- Joji
- Ness
- Helen06
- Scandal
- synthnightingale
- arko
- BillyTheKid
- Magigi
- Paragontas7000
- Unboxholics
- just some guy
- george777
- Wonderkid
- IceCream05
- Abiogenesis
- GeorgePap2003
- katia.m
- giannhs2001
- paul
- Praxis
- Apocalypse
- shezza94
- desp1naa
- rempelos42
- Sherlockina
- oups
- Dimgeb
- spring day
- KingOfPop
- mpapa
- Chrisa
- Physicsstudent
- tsiobieman
- P.Dam.
- persi
- theodoraooo
- PanosBat
- kost28
- mikriarchitectonissa
- BILL KEXA
- Dr. Gl. Luminous
- Eleftheria2
- Lathy
- bruh_234
- Miranda32
- SlimShady
- kallikd
- nucomer
- alpha.kappa
- Eeeee
- J.Cameron
- Marple
- Kitana
- F1L1PAS
- sophiaa
- VFD59
- papa2g
- το κοριτσι του μαη
- srg96
- Hopeful22
- Φινεύς
- Phys39
- Anta2004
- fairyelly
- Pharmacist01
- jYanniss
- Panagiotis849
- Kokro
- augustine
- Nikoletaant
- Mashiro@Iberan
- margik
- Mammy Nun
- Pastramis
- Σωτηρία
- Appolon
- panosveki
- Nickt23
- igeorgeoikonomo
- Steliosgkougkou
- QWERTY23
- Ameliak
- aladdin
- nimbus
- Φωτεινη Τζα.
- marian
- Georgekk
- xrisamikol
- the purge
- Dora140303
- Machris
- s93060
- Nikitas18
- Stif6
- stav.mdp
- damn
- aekaras 21
- Anthropaki
- Angelos12345
- ioannam
- Μάρκος Βασίλης
- skyway
- Nick2325
- Nala
- Manolo165
- Ryuzaki
- T C
- Devilshjoker
- El_
- George9989
- TonyMontanaEse
- globglogabgalab
- constansn
- barkos
- katerinavld
- fenia
- An_uknown_world
- Jimmis18
- maria2001
- KingPoul
- Xara
- thecrazycretan
- abcdefg12345
- Κλημεντίνη
- ale
- panagiotis G
- mechaniceng
- Giii
- calliope
- Tequila
- natalix
- Cortes
- Alexecon1991
- pepsoula
- Mariaathens
- Lia 2006
- 1205
- παιδι για κλαματα
- Alexandros36k
- alexd99
- chembam
- Specon
- Dr House
- panagiotis23
- Johnman97
- rhymeasylum
- Αννα Τσιτα
- KaterinaL
- Libertus
- LeoDel
- iminspain
- den antexw allh apotyxia
- Λαμπρινηη
- Mendel2003
- Ijt
- drosos
- Κορώνα
- JohnGreek
- Αρχηγος_β3
- alexandra_
- ΘανάσοςG4
- Dimitris9
- Birtjan
- george7cr7
- NickT
- Bgpanos
- JKTHEMAN
- nicole1982
- χημεια4λαιφ
- Stroka
- Kostakis45
- charmander
- leo41
- EiriniS20
- Αριάνα123
- MarilynSt
- iManosX13
- Nefh_
- Viedo
- Βλα
- suaimhneas
- george pol
- kristinbacktoschool
- fearless
- Rene2004
- Steffie88
- Slytherin
- jimnikol21
- Unseen skygge
- cel123
- jul25
- Thanos_D
- Ireneeneri
- tasost
- Mukumbura
- xxxtolis
-
Φορτώνει...
-
Το forum μας χρησιμοποιεί cookies για να βελτιστοποιήσει την εμπειρία σας.
Συνεχίζοντας την περιήγησή σας, συναινείτε στη χρήση cookies στον περιηγητή σας.