Συλλογή ασκήσεων και τεστ στα Μαθηματικά Προσανατολισμού

eukleidhs1821

Διάσημο μέλος

Ο eukleidhs1821 αυτή τη στιγμή δεν είναι συνδεδεμένος. Είναι Πτυχιούχος του τμήματος Ιατρικής Ιωαννίνων (Ιωάννινα) και μας γράφει από Καινούργιο (Ηράκλειο). Έχει γράψει 3.965 μηνύματα.
νομιζω σε επιπεδο λυκειου αυτη η διαφορικη εξισωση δεν ξερετε να την λυνετε.τεσπα παρολα αυτα ειναι y''(x)=y(x) θετω y(x)=e^rx ετσι εχεις ρ^2=1 ρ=+-1 οποτε η γενικη λυση της ειναι y(x)=c1e^x+c2e^-x και σαν δεδομενο εχεις y(0)=0 y'(0)=1 για να βρεις συντελεστες
 

Alexandros28

Δραστήριο μέλος

Ο Alexandros28 αυτή τη στιγμή δεν είναι συνδεδεμένος. Έχει γράψει 750 μηνύματα.
νομιζω σε επιπεδο λυκειου αυτη η διαφορικη εξισωση δεν ξερετε να την λυνετε.τεσπα παρολα αυτα ειναι y''(x)=y(x) θετω y(x)=e^rx ετσι εχεις ρ^2=1 ρ=+-1 οποτε η γενικη λυση της ειναι y(x)=c1e^x+c2e^-x και σαν δεδομενο εχεις y(0)=0 y'(0)=1 για να βρεις συντελεστες
Χρειάζεται τέχνασμα για να βγει με γνώσεις Λυκείου. Αρκετά απλό αλλά μόλις το δεις έχει βγει η άσκηση σε δευτερόλεπτα.
 

bovid19

Εκκολαπτόμενο μέλος

Ο bovid19 αυτή τη στιγμή δεν είναι συνδεδεμένος. Είναι 27 ετών και Πτυχιούχος του τμήματος Οικονομικής Επιστήμης ΟΠΑ. Έχει γράψει 344 μηνύματα.
Εναλλακτικά δείχνεις ότι και με λίγο έμπειρο μάτι φαίνεται ότι είναι το υπερβολικό ημίτονο. Πεθαίνω να δω πως βγαίνει με λυκειακές γνώσεις.
 

Alexandros28

Δραστήριο μέλος

Ο Alexandros28 αυτή τη στιγμή δεν είναι συνδεδεμένος. Έχει γράψει 750 μηνύματα.
Από τα δεδομένα προκύπτει f”(x)=f(x)
Προσθέτοντας και στα 2 μέλη την f’ έχουμε
(f’(x) + f(x))’=f’(x)+f(x)
Άρα από εφαρμογή του σχολικού βιβλίου ισχύει ότι: f’(x) + f(x) = ce^x

η συνέχεια είναι γνωστή.
 

eukleidhs1821

Διάσημο μέλος

Ο eukleidhs1821 αυτή τη στιγμή δεν είναι συνδεδεμένος. Είναι Πτυχιούχος του τμήματος Ιατρικής Ιωαννίνων (Ιωάννινα) και μας γράφει από Καινούργιο (Ηράκλειο). Έχει γράψει 3.965 μηνύματα.
Εναλλακτικά δείχνεις ότι και με λίγο έμπειρο μάτι φαίνεται ότι είναι το υπερβολικό ημίτονο. Πεθαίνω να δω πως βγαίνει με λυκειακές γνώσεις.
αυτο για να το δειξεις πολλαπλασιαζεις και τα δυο μελη με 2f'(x) και βγαζεις [f'(x)]^2=f^2(x) και καταληγεις εκει που λες αλλα δεν νομιζω να σε βοηθα μετα
 

bovid19

Εκκολαπτόμενο μέλος

Ο bovid19 αυτή τη στιγμή δεν είναι συνδεδεμένος. Είναι 27 ετών και Πτυχιούχος του τμήματος Οικονομικής Επιστήμης ΟΠΑ. Έχει γράψει 344 μηνύματα.
αυτο για να το δειξεις πολλαπλασιαζεις και τα δυο μελη με 2f'(x) και βγαζεις [f'(x)]^2=f^2(x) και καταληγεις εκει που λες αλλα δεν νομιζω να σε βοηθα μετα
Όχι έναν μαθητή λυκείου τουλάχιστον. Τεσπά, έσκασε ωραία ντρίπλα ο Άλεξ.
 

eukleidhs1821

Διάσημο μέλος

Ο eukleidhs1821 αυτή τη στιγμή δεν είναι συνδεδεμένος. Είναι Πτυχιούχος του τμήματος Ιατρικής Ιωαννίνων (Ιωάννινα) και μας γράφει από Καινούργιο (Ηράκλειο). Έχει γράψει 3.965 μηνύματα.
Από τα δεδομένα προκύπτει f”(x)=f(x)
Προσθέτοντας και στα 2 μέλη την f’ έχουμε
(f’(x) + f(x))’=f’(x)+f(x)
Άρα από εφαρμογή του σχολικού βιβλίου ισχύει ότι: f’(x) + f(x) = ce^x

η συνέχεια είναι γνωστή.
σωστος.πολυ εξυπνο κολπο και πλακα στην πλακα πριν αρκετα χρονια παιζει να ειχε τεθει σε πανελλαδικες
 

Samael

Τιμώμενο Μέλος

Ο Samael αυτή τη στιγμή δεν είναι συνδεδεμένος. Είναι 26 ετών, Πτυχιούχος του τμήματος Ηλεκτρολόγων & Ηλεκτρονικών Μηχανικών ΠΑΔΑ και μας γράφει από Πειραιάς (Αττική). Έχει γράψει 12.048 μηνύματα.
Από τα δεδομένα προκύπτει f”(x)=f(x)
Προσθέτοντας και στα 2 μέλη την f’ έχουμε
(f’(x) + f(x))’=f’(x)+f(x)
Άρα από εφαρμογή του σχολικού βιβλίου ισχύει ότι: f’(x) + f(x) = ce^x

η συνέχεια είναι γνωστή.

Δεν ξέρω γιατί το μπλέξατε τόσο το πρόβλημα με υπερβολικά ημίτονα και άλλα:P .

Αλέξανδρε, πολύ καλή η λύση σου. Μάλιστα στα ανώτερα μαθηματικά οι βασικές συναρτήσεις συχνά ορίζονται ως λύσεις διαφορικών εξισώσεων. Παραθέτω παρακάτω μια μεθοδολογία χωρίς ανάγκη αναφοράς του βιβλίου, την οποία θεωρώ στάνταρ και την πιο φιλική σε αυτό το επίπεδο.

f''(x) = f(x) =>
f''(x)+f'(x) = f(x) +f'(x) =>
f''(x)(e^x) + f'(x)(e^x) = f(x)(e^x) +f'(x)(e^x) =>
[f'(x)(e^x)]' = [f(x)(e^x)]' =>
f'(x)(e^x) = f(x)(e^x) + c =>

Για x = 0 στην παραπάνω και δεδομένου οτι f'(0)=1 & f(0) = 0 =>
f'(0) = c => c = 1

Τελικά :
f'(x)(e^x) = f(x)(e^x) + 1
[f'(x)e^(x) - f(x)e^(x)]/(e^2x) = [e^(-2x)] =>
(f(x)/[e^(x)])' = [-0.5e^(-2x)]' =>
f(x)/[e^(x)] = -0.5e^(-2x) + c =>
f(x) = -0.5e^(-x) + ce^(x)

Και εφόσον :
f(0) = 0 => c= +0.5

Θα έχουμε :
f(x) = 0.5e^(x)- 0.5e^(-x)

Υ.Γ. Ο τρόπος του Ευκλείδη είναι valid,αλλά προσωπικά θα τον απέφευγα γιατί φαίνεται σαν να βγάζεις λαγούς απο το καπέλο εαν δεν αναφερθείς σε πιο προχωρημένες έννοιες. Ακόμα και εαν μαντέψετε δηλαδή την συνάρτηση, οφείλετε να αποδείξετε την αρχή της επαλληλίας, αλλιώς θα οδηγηθείτε σε λάθος λύση. Δηλαδή οτι εαν μια γραμμική διαφορική εξίσωση έχει λύσεις y1(x) και y2(x) ,τότε και ο γραμμικός συνδυασμός τους είναι λύση. Άρα ως γενική λύση δεχόμαστε την συνάρτηση y(x) = c1*y1(x)+ c2*y2(x) ,οπου c1,c2 σταθερές στο R. Δεν είναι κάτι δύσκολο, αλλά χωρίς το σωστό context δεν είναι τόσο εύκολο. Μάλιστα μπορεί να φαίνεται τελείως intuitive αλλά δεν είναι τόσο όσο φαίνεται.
 
Τελευταία επεξεργασία:

eukleidhs1821

Διάσημο μέλος

Ο eukleidhs1821 αυτή τη στιγμή δεν είναι συνδεδεμένος. Είναι Πτυχιούχος του τμήματος Ιατρικής Ιωαννίνων (Ιωάννινα) και μας γράφει από Καινούργιο (Ηράκλειο). Έχει γράψει 3.965 μηνύματα.
Δεν ξέρω γιατί το μπλέξατε τόσο το πρόβλημα με υπερβολικά ημίτονα και άλλα:P .

Αλέξανδρε, πολύ καλή η λύση σου. Μάλιστα στα ανώτερα μαθηματικά οι βασικές συναρτήσεις συχνά ορίζονται ως λύσεις διαφορικών εξισώσεων. Παραθέτω παρακάτω μια μεθοδολογία χωρίς ανάγκη αναφοράς του βιβλίου, την οποία θεωρώ στάνταρ και την πιο φιλική σε αυτό το επίπεδο.

f''(x) = f(x) =>
f''(x)+f'(x) = f(x) +f'(x) =>
f''(x)(e^x) + f'(x)(e^x) = f(x)(e^x) +f'(x)(e^x) =>
[f'(x)(e^x)]' = [f(x)(e^x)]' =>
f'(x)(e^x) = f(x)(e^x) + c =>

Για x = 0 στην παραπάνω και δεδομένου οτι f'(0)=1 & f(0) = 0 =>
f'(0) = c => c = 1

Τελικά :
f'(x)(e^x) = f(x)(e^x) + 1
[f'(x)e^(x) - f(x)e^(x)]/(e^2x) = [e^(-2x)] =>
(f(x)/[e^(x)])' = [-0.5e^(-2x)]' =>
f(x)/[e^(x)] = -0.5e^(-2x) + c =>
f(x) = -0.5e^(-x) + ce^(x)

Και εφόσον :
f(0) = 0 => c= +0.5

Θα έχουμε :
f(x) = 0.5e^(x)- 0.5e^(-x)

Υ.Γ. Ο τρόπος του Ευκλείδη είναι valid,αλλά προσωπικά θα τον απέφευγα γιατί φαίνεται σαν να βγάζεις λαγούς απο το καπέλο εαν δεν αναφερθείς σε πιο προχωρημένες έννοιες. Ακόμα και εαν μαντέψετε δηλαδή την συνάρτηση, οφείλετε να αποδείξετε την αρχή της επαλληλίας, αλλιώς θα οδηγηθείτε σε λάθος λύση. Δηλαδή οτι εαν μια γραμμική διαφορική εξίσωση έχει λύσεις y1(x) και y2(x) ,τότε και ο γραμμικός συνδυασμός τους είναι λύση. Άρα ως γενική λύση δεχόμαστε την συνάρτηση y(x) = c1*y1(x)+ c2*y2(x) ,οπου c1,c2 σταθερές στο R. Δεν είναι κάτι δύσκολο, αλλά χωρίς το σωστό context δεν είναι τόσο εύκολο. Μάλιστα μπορεί να φαίνεται τελείως intuitive αλλά δεν είναι τόσο όσο φαίνεται.
αυτο στη θεωρια των διαφορικων εξισωσεων ειναι ετοιμη θεωρια.τι να αποδειξεις ακριβως??σαν να μου λες απεδειξε μου οτι εχει μια τουλαχιστον ριζα και να χρησιμοποιω το bolzano και να μου λες απεδειξε το μου μετα.απλα τονισα οτι αυτη ειναι μια απλη σδε σε επιπεδο μαθηματικων τμηματων.στο λυκειο προφανως αυτος ο τροπος δεν ειναι αποδεκτος γτ δεν εχει διδαχθει ως θεωρια οποτε ο μονος διαθεσιμος τροπος ειναι του αλεξανδρου
Αυτόματη ένωση συνεχόμενων μηνυμάτων:

επισης ο samuel ουσιαστικα αποδεικνυει αυτο που παιρνετε απευθειας στο λυκειο οτι φ΄(χ)=φ(χ) τοτε φ(χ)=ce^x καλο ειναι να ξερετε οτι αυτο βγαινει πολλαπλασιαζοντας με e^-x οποτε φ(χ)e^-x=c και βγηκε αυτο.αυτη η εφαρμογη παλια ειχε πεσει σε πανελλαδικες και ειχε καψει πολυ κοσμο,δεν αποκλειεται να ξανατεθει καποια στιγμη αν και και την αντιπαραγωγιση την αποφευγουν οπως ο διαολος το λιβανι τα τελευταια 4 5 χρονια
 
Τελευταία επεξεργασία:

Samael

Τιμώμενο Μέλος

Ο Samael αυτή τη στιγμή δεν είναι συνδεδεμένος. Είναι 26 ετών, Πτυχιούχος του τμήματος Ηλεκτρολόγων & Ηλεκτρονικών Μηχανικών ΠΑΔΑ και μας γράφει από Πειραιάς (Αττική). Έχει γράψει 12.048 μηνύματα.
αυτο στη θεωρια των διαφορικων εξισωσεων ειναι ετοιμη θεωρια.τι να αποδειξεις ακριβως??σαν να μου λες απεδειξε μου οτι εχει μια τουλαχιστον ριζα και να χρησιμοποιω το bolzano και να μου λες απεδειξε το μου μετα.απλα τονισα οτι αυτη ειναι μια απλη σδε σε επιπεδο μαθηματικων τμηματων.στο λυκειο προφανως αυτος ο τροπος δεν ειναι αποδεκτος γτ δεν εχει διδαχθει ως θεωρια οποτε ο μονος διαθεσιμος τροπος ειναι του αλεξανδρου
Αυτόματη ένωση συνεχόμενων μηνυμάτων:

επισης ο samuel ουσιαστικα αποδεικνυει αυτο που παιρνετε απευθειας στο λυκειο οτι φ΄(χ)=φ(χ) τοτε φ(χ)=ce^x καλο ειναι να ξερετε οτι αυτο βγαινει πολλαπλασιαζοντας με e^-x οποτε φ(χ)e^-x=c και βγηκε αυτο.αυτη η εφαρμογη παλια ειχε πεσει σε πανελλαδικες και ειχε καψει πολυ κοσμο,δεν αποκλειεται να ξανατεθει καποια στιγμη αν και και την αντιπαραγωγιση την αποφευγουν οπως ο διαολος το λιβανι τα τελευταια 4 5 χρονια

Μου κάνει εντύπωση που λες οτι είναι έτοιμη θεωρία για το λύκειο. Δεν διαφωνώ οτι κανένας δεν το αποδεικνύει στην πράξη, διότι θεωρείται τετριμμένη γνώση. Για έναν μαθητή λυκείου όμως μοιάζει θέσφατο, και σίγουρα δεν ισχύει σε όλες τις περιπτώσεις των δ.ε. . Εαν ένας μαθητής δοκιμάσει να βάλει ως δοκιμαστική την e^αχ για να λύσει το πρόβλημα, θα καταλήξει σε λύσεις για το α. Απο εκεί και πέρα ποια λογική του λέει, στο επίπεδο του λυκείου τονίζω πάλι, οτι μπορεί να συνδυάσει τις λύσεις ; Δεν νομίζω οτι έχει δει κάτι ανάλογο πουθενά αλλού. Με την ίδια λογική θα έπρεπε εαν λύνει μια 2ου βαθμού εξίσωση και βρει ρίζες
x1= +1 και x2 = -1, να πει αα, και η :
x3 = x1+x2 => x3 =0 ,είναι λύση. Που προφανώς δεν ισχύει απαραίτητα.

Και κάτι ακόμα. Εννοείται οτι ο τρόπος είναι αποδεκτός γιατί είναι μια λύση που θα μπορούσε να σκαρφιστεί ένας μαθητής λυκείου. Για την ακρίβεια, θεωρητικά νομίζω ότι οποιοσδήποτε τρόπος είναι αποδεκτός αρκεί να είναι σωστός και επαρκώς αιτιολογημένος. Αλλά το λέω και πάλι με την ελπίδα ότι θα επικοινωνήσουμε στο τέλος. Η αρχή της υπέρθεσης είναι αυτό που αμφιβάλλω εάν θα σκαρφιζόταν εκείνη την στιγμή κάποιος μαθητής και δεν θα έπεφτε στην παγίδα να πει, έχω δυο λύσεις :

f1(x) = c1e^(ρ1)x και f2(x) = c2e^(ρ2x)

Που clearly,δεν παράγει τον χώρο των λύσεων η καθεμία μόνη της.
 
Τελευταία επεξεργασία:

eukleidhs1821

Διάσημο μέλος

Ο eukleidhs1821 αυτή τη στιγμή δεν είναι συνδεδεμένος. Είναι Πτυχιούχος του τμήματος Ιατρικής Ιωαννίνων (Ιωάννινα) και μας γράφει από Καινούργιο (Ηράκλειο). Έχει γράψει 3.965 μηνύματα.
Μου κάνει εντύπωση που λες οτι είναι έτοιμη θεωρία για το λύκειο. Δεν διαφωνώ οτι κανένας δεν το αποδεικνύει στην πράξη, διότι θεωρείται τετριμμένη γνώση. Για έναν μαθητή λυκείου όμως μοιάζει θέσφατο, και σίγουρα δεν ισχύει σε όλες τις περιπτώσεις των δ.ε. . Εαν ένας μαθητής δοκιμάσει να βάλει ως δοκιμαστική την e^αχ για να λύσει το πρόβλημα, θα καταλήξει σε λύσεις για το α. Απο εκεί και πέρα ποια λογική του λέει, στο επίπεδο του λυκείου τονίζω πάλι, οτι μπορεί να συνδυάσει τις λύσεις ; Δεν νομίζω οτι έχει δει κάτι ανάλογο πουθενά αλλού. Με την ίδια λογική θα έπρεπε εαν λύνει μια 2ου βαθμού εξίσωση και βρει ρίζες
x1= +1 και x2 = -1, να πει αα, και η :
x3 = x1+x2 => x3 =0 ,είναι λύση. Που προφανώς δεν ισχύει απαραίτητα.

Και κάτι ακόμα. Εννοείται οτι ο τρόπος είναι αποδεκτός γιατί είναι μια λύση που θα μπορούσε να σκαρφιστεί ένας μαθητής λυκείου. Για την ακρίβεια, θεωρητικά νομίζω ότι οποιοσδήποτε τρόπος είναι αποδεκτός αρκεί να είναι σωστός και επαρκώς αιτιολογημένος. Αλλά το λέω και πάλι με την ελπίδα ότι θα επικοινωνήσουμε στο τέλος. Η αρχή της υπέρθεσης είναι αυτό που αμφιβάλλω εάν θα σκαρφιζόταν εκείνη την στιγμή κάποιος μαθητής και δεν θα έπεφτε στην παγίδα να πει, έχω δυο λύσεις :

f1(x) = c1e^(ρ1)x και f2(x) = c2e^(ρ2x)

Που clearly,δεν παράγει τον χώρο των λύσεων η καθεμία μόνη της.
το αντιθετο ειπα φιλε μου.ειπα για τα μαθηματικα τμηματα ειναι ετοιμη θεωρια για το λυκειο δεν μπορει να χρησιμοποιηθει
 

Alexandros28

Δραστήριο μέλος

Ο Alexandros28 αυτή τη στιγμή δεν είναι συνδεδεμένος. Έχει γράψει 750 μηνύματα.
Ισχυρισμός: Αν μια συνάρτηση f είναι συνεχής και 1-1, τότε και η αντίστροφή της είναι συνεχής.
 

eukleidhs1821

Διάσημο μέλος

Ο eukleidhs1821 αυτή τη στιγμή δεν είναι συνδεδεμένος. Είναι Πτυχιούχος του τμήματος Ιατρικής Ιωαννίνων (Ιωάννινα) και μας γράφει από Καινούργιο (Ηράκλειο). Έχει γράψει 3.965 μηνύματα.
Ισχυρισμός: Αν μια συνάρτηση f είναι συνεχής και 1-1, τότε και η αντίστροφή της είναι συνεχής.
εσυ πρεπει να σπουδασεις πριν καν δωσεις πανελληνιες.το ψαχνεις πολυ σε βαθος.ισχυει αυτος ο ισχυρισμος και λογικα αποδεικνυεται με καποια αντικατασταση απλα βαριεμαι τωρα να το ψαξω
 

Alexandros28

Δραστήριο μέλος

Ο Alexandros28 αυτή τη στιγμή δεν είναι συνδεδεμένος. Έχει γράψει 750 μηνύματα.
εσυ πρεπει να σπουδασεις πριν καν δωσεις πανελληνιες.το ψαχνεις πολυ σε βαθος.ισχυει αυτος ο ισχυρισμος και λογικα αποδεικνυεται με καποια αντικατασταση απλα βαριεμαι τωρα να το ψαξω
Δε θέλω να το χαλάσω αλλά έχω ήδη έτοιμο αντιπαράδειγμα
 

eukleidhs1821

Διάσημο μέλος

Ο eukleidhs1821 αυτή τη στιγμή δεν είναι συνδεδεμένος. Είναι Πτυχιούχος του τμήματος Ιατρικής Ιωαννίνων (Ιωάννινα) και μας γράφει από Καινούργιο (Ηράκλειο). Έχει γράψει 3.965 μηνύματα.

Alexandros28

Δραστήριο μέλος

Ο Alexandros28 αυτή τη στιγμή δεν είναι συνδεδεμένος. Έχει γράψει 750 μηνύματα.
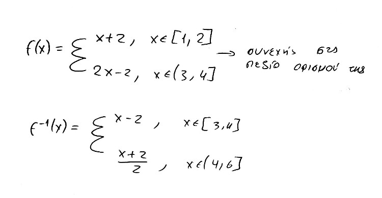
Με πράσινο χρώμα απεικονίζεται η f. Δε φαίνεται καλά το ανοιχτό άκρο του πεδίου ορισμού της f στο 3.

F159E507-BE15-46CD-B6C2-BF9F99DC0F88.jpeg
6E91FD87-0872-46DC-B4F2-96DD69C7ED09.jpeg
 

eukleidhs1821

Διάσημο μέλος

Ο eukleidhs1821 αυτή τη στιγμή δεν είναι συνδεδεμένος. Είναι Πτυχιούχος του τμήματος Ιατρικής Ιωαννίνων (Ιωάννινα) και μας γράφει από Καινούργιο (Ηράκλειο). Έχει γράψει 3.965 μηνύματα.
Με πράσινο χρώμα απεικονίζεται η f. Δε φαίνεται καλά το ανοιχτό άκρο του πεδίου ορισμού της f στο 3.

View attachment 76339View attachment 76340
το ψιλιαστηκα οτι μαλλον το πηγαινες στο ποιο ειναι το πεδιο ορισμου.αυτο αν ηταν διαστημα το πεδιο ορισμου ηταν σωστο.απο απορια το βρηκες καπου αυτο ή το σκεφτηκες?
 

eukleidhs1821

Διάσημο μέλος

Ο eukleidhs1821 αυτή τη στιγμή δεν είναι συνδεδεμένος. Είναι Πτυχιούχος του τμήματος Ιατρικής Ιωαννίνων (Ιωάννινα) και μας γράφει από Καινούργιο (Ηράκλειο). Έχει γράψει 3.965 μηνύματα.
Το έχω βρει από τις παρατηρήσεις σε έναν παλιό Μπάρλα
μαλιστα.πολυ ακραιο να τεθει κατι τετοιο σε εξετασεις.συνηθως βαζουνε προτασεις απο το βιβλιο κατι πολυ κραχτο οπως το φετινο πχ.βεβαια το 2013 ειχε πεσει το ακραιο ερωτημα στους μιγαδικους οποτε ποτε μην λες ποτε αλλα μου φαινεται καπως ακραιο
 

Alexandros28

Δραστήριο μέλος

Ο Alexandros28 αυτή τη στιγμή δεν είναι συνδεδεμένος. Έχει γράψει 750 μηνύματα.
μαλιστα.πολυ ακραιο να τεθει κατι τετοιο σε εξετασεις.συνηθως βαζουνε προτασεις απο το βιβλιο κατι πολυ κραχτο οπως το φετινο πχ.βεβαια το 2013 ειχε πεσει το ακραιο ερωτημα στους μιγαδικους οποτε ποτε μην λες ποτε αλλα μου φαινεται καπως ακραιο
Δεν υπάρχει περίπτωση να πέσει. Το μισό mathematica έχει δώσει πάνω από 5 αποδείξεις ότι ισχύει ο ισχυρισμός φαντάσου τι έχει να γίνει από μαθητές
 

Χρήστες Βρείτε παρόμοια

Top