asdfqwerty
Πολύ δραστήριο μέλος


οχι δεν χρειαζεται (μεγαλωσε την ανισωση χωρις την ριζα)θελει μεθοδο αντικαταστασης λογικα
Σημείωση: Το μήνυμα αυτό γράφτηκε 5 χρόνια πριν. Ο συντάκτης του πιθανόν να έχει αλλάξει απόψεις έκτοτε.
eukleidhs1821
Διάσημο μέλος


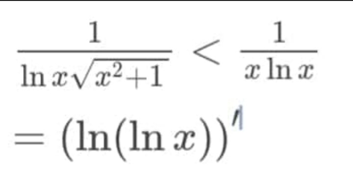
ναι εχεις δικιο.ειναι η γνωστη ανισοτητα ριζα(χ^2+1)>ριζα(χ^2)=απολυτο(χ)>=χ τα ακρα του ολοκληρωματος ειναι στο (e,e^e) οποτε χlnxριζα(χ^2+1)>=χ^2lnx το τουμπαρω και βγαινει 1/χlnxριζα(χ^2+1)<=1/χ^2lnxοχι δεν χρειαζεται (μεγαλωσε την ανισωση χωρις την ριζα)
e<=x<=e^2 lne<=lnx<=ln(e^2) x^2<=x^2lnx<=2x^2 το τουμπαρω 1/χ^2lnx>=1/2x^2 παιρνω τα ολοκληρωματα απο e στο e^2 ολοκληρωμα(1/χ^2lnx)>[-1/2x] απο e εως e^2
Σημείωση: Το μήνυμα αυτό γράφτηκε 5 χρόνια πριν. Ο συντάκτης του πιθανόν να έχει αλλάξει απόψεις έκτοτε.
asdfqwerty
Πολύ δραστήριο μέλος


παρατηρησε τη σχεση εχει τo (x^2+1)^1/2 με την μοναδα
και κανε το ιδιο

ναι εχεις δικιο.ειναι η γνωστη ανισοτητα ριζα(χ^2+1)>ριζα(χ^2)=απολυτο(χ)>=χ τα ακρα του ολοκληρωματος ειναι στο (e,e^e) οποτε χlnxριζα(χ^2+1)>=χ^2lnx το τουμπαρω και βγαινει 1/χlnxριζα(χ^2+1)<=1/χ^2lnx
e<=x<=e^2 lne<=lnx<=ln(e^2) x^2<=x^2lnx<=2x^2 το τουμπαρω 1/χ^2lnx>=1/2x^2 παιρνω τα ολοκληρωματα απο e στο e^2 ολοκληρωμα(1/χ^2lnx)>[-1/2x] απο e εως e^2
Σημείωση: Το μήνυμα αυτό γράφτηκε 5 χρόνια πριν. Ο συντάκτης του πιθανόν να έχει αλλάξει απόψεις έκτοτε.
Μάρκος Βασίλης
Πολύ δραστήριο μέλος


Σημείωση: Το μήνυμα αυτό γράφτηκε 5 χρόνια πριν. Ο συντάκτης του πιθανόν να έχει αλλάξει απόψεις έκτοτε.
Samael
Τιμώμενο Μέλος


δεν νομιζω να καταληγει καπου αυτο
παρατηρησε τη σχεση εχει τo (x^2+1)^1/2 με την μοναδα
και κανε το ιδιο![]()
Προσωπικά θα έκανα την εξής προσέγγιση :
Το ολοκλήρωμα της f(x) = 1/xlnx στο [e,e^e] = 1 .
Όμως f/sqrt(x²+1) < f => Int(f/sqrt(x²+1)) < Int(f) = 1 .
Τελικά : Int[1/xlnx*sqrt(x²+1)] < 1
Σημείωση: Το μήνυμα αυτό γράφτηκε 5 χρόνια πριν. Ο συντάκτης του πιθανόν να έχει αλλάξει απόψεις έκτοτε.
asdfqwerty
Πολύ δραστήριο μέλος


ακριβωςΠροσωπικά θα έκανα την εξής προσέγγιση :
Το ολοκλήρωμα της f(x) = 1/xlnx στο [e,e^e] = 1 .
Όμως f/sqrt(x²+1) < f => Int(f/sqrt(x²+1)) < Int(f) = 1 .
Τελικά : Int[1/xlnx*sqrt(x²+1)] < 1
Σημείωση: Το μήνυμα αυτό γράφτηκε 5 χρόνια πριν. Ο συντάκτης του πιθανόν να έχει αλλάξει απόψεις έκτοτε.
Μάρκος Βασίλης
Πολύ δραστήριο μέλος


Σημείωση: Το μήνυμα αυτό γράφτηκε 5 χρόνια πριν. Ο συντάκτης του πιθανόν να έχει αλλάξει απόψεις έκτοτε.
asdfqwerty
Πολύ δραστήριο μέλος


οντως, απλως το συγκεκριμένο προκειται για quickie,οποτε η ιδεα όποιου το εφτιαξε ηταν η συγκεκριμένηΠάντως, η εκτίμηση του @eukleidhs1821 μπορεί να μη λύνει την άσκηση, αλλά δίνει πιο σφιχτό άνω φράγμα για το ολοκλήρωμα.
Σημείωση: Το μήνυμα αυτό γράφτηκε 5 χρόνια πριν. Ο συντάκτης του πιθανόν να έχει αλλάξει απόψεις έκτοτε.
eukleidhs1821
Διάσημο μέλος



Σημείωση: Το μήνυμα αυτό γράφτηκε 5 χρόνια πριν. Ο συντάκτης του πιθανόν να έχει αλλάξει απόψεις έκτοτε.
Μάρκος Βασίλης
Πολύ δραστήριο μέλος


οταν λες πιο σφιχτο ανω φραγμα εννοεις και πιο κατω απο 1?αρα τοσο καλυτερο![]()
Ναι, είναι πιο κάτω από το 1.
Σημείωση: Το μήνυμα αυτό γράφτηκε 5 χρόνια πριν. Ο συντάκτης του πιθανόν να έχει αλλάξει απόψεις έκτοτε.
Samael
Τιμώμενο Μέλος


Να δυσκολέψουμε λίγο την πρώτη: Εξετάστε αν υπάρχει αντιστρέψιμη συνάρτηση f ορισμένη στο R* με την παραπάνω ιδιότητα, δηλαδή f(x^2)-f^2(x)>=1/4.
Βρήκα λίγο χρόνο να ασχοληθώ και με τούτη . Βαθμολόγησε μαλακά

Ας υποθέσουμε οτι υπάρχει τέτοια f η οποία είναι 1-1 και επίσης ικανοποιεί την :
f(x²) - f²(x) >= 1/4
Έστω τώρα τυχαία x1,x2 E R* για τα οποία θα ισχύει :
f(x1²) - f²(x1) >= 1/4 (1)
f(x2²) - f²(x2) >= 1/4 (2)
Προσθέτοντας κατα μέλη τις (1) & (2) :
f(x1²) +f(x2²) - [f²(x1)+f²(x2)] >= 1/2 =>
Όμως :
f(x²)>= f(x²) - f²(x) >= 1/4
Δηλαδή f(x²) >= 1/4 για κάθε x Ε R*
Άρα ισχύει f(x1²)+f(x2²) >= 1/2 ,και για να ικανοποιείται η παραπάνω ανίσωση αρκεί :
f²(x1)+f²(x2) <= 0
f²(x1)+f²(x2) = 0 => [f²(x1) = 0] ^ [f²(x2) =0] .
Δηλαδή πρέπει f(x1)=f(x2)=0 . Άρα η f δεν είναι 1-1 .
Σημείωση: Το μήνυμα αυτό γράφτηκε 5 χρόνια πριν. Ο συντάκτης του πιθανόν να έχει αλλάξει απόψεις έκτοτε.
Μάρκος Βασίλης
Πολύ δραστήριο μέλος


Βρήκα λίγο χρόνο να ασχοληθώ και με τούτη . Βαθμολόγησε μαλακά.
Ας υποθέσουμε οτι υπάρχει τέτοια f η οποία είναι 1-1 και επίσης ικανοποιεί την :
f(x²) - f²(x) >= 1/4
Έστω τώρα τυχαία x1,x2 E R* για τα οποία θα ισχύει :
f(x1²) - f²(x1) >= 1/4 (1)
f(x2²) - f²(x2) >= 1/4 (2)
Προσθέτοντας κατα μέλη τις (1) & (2) :
f(x1²) +f(x2²) - [f²(x1)+f²(x2)] >= 1/2 =>
Όμως :
f(x²)>= f(x²) - f²(x) >= 1/4
Δηλαδή f(x²) >= 1/4 για κάθε x Ε R*
Άρα ισχύει f(x1²)+f(x2²) >= 1/2 ,και για να ικανοποιείται η παραπάνω ανίσωση αρκεί :
f²(x1)+f²(x2) <= 0
f²(x1)+f²(x2) = 0 => [f²(x1) = 0] ^ [f²(x2) =0] .
Δηλαδή πρέπει f(x1)=f(x2)=0 . Άρα η f δεν είναι 1-1 .
Το bold είναι λάθος, γιατί θα μπορούσε να ισχύει χωρίς να είναι και τα δύο μηδέν - το bold είναι σωστό αν το >= το κάνεις = παντού, αλλά με την ανισότητα δεν ισχύει γιατί μπορεί να ισχύει το > μόνο.
Μπορούμε να αποδείξουμε ότι δεν υπάρχει τέτοια συνάρτηση συνεχής - αυτό είναι οριακά εντός λυκείου. Επίσης, με λίγο κλέψιμο από το πανεπιστήμιο μπορούμε να αποδείξουμε ότι f(x)>1/2 για κάθε x>0.
Σημείωση: Το μήνυμα αυτό γράφτηκε 5 χρόνια πριν. Ο συντάκτης του πιθανόν να έχει αλλάξει απόψεις έκτοτε.
Samael
Τιμώμενο Μέλος


Το bold είναι λάθος, γιατί θα μπορούσε να ισχύει χωρίς να είναι και τα δύο μηδέν - το bold είναι σωστό αν το >= το κάνεις = παντού, αλλά με την ανισότητα δεν ισχύει γιατί μπορεί να ισχύει το > μόνο.
Μπορούμε να αποδείξουμε ότι δεν υπάρχει τέτοια συνάρτηση συνεχής - αυτό είναι οριακά εντός λυκείου. Επίσης, με λίγο κλέψιμο από το πανεπιστήμιο μπορούμε να αποδείξουμε ότι f(x)>1/2 για κάθε x>0.
Λύση 100% εντός της ύλης του λυκείου δεν έχω βρει ακόμα. :Ρ Σε κάποιο σημείο επικαλούμαι και κάτι εκτός ύλης ό,τι κι αν δοκίμασα.
Ναι ακριβώς εκεί φοβόμουν οτι έμπαζε . Δεν ξέρω εαν μπορώ να κάνω κάτι για να το συνεχίσω,propably not .
Εαν είναι συνεχής τότε κάπως διευκολύνεται η κατάσταση. Χωρίς αυτή την πληροφορία πάντως,εαν και αρχικά δεν γεμίζει το μάτι, είναι tough ερώτημα .
Τώρα κάτι εκτός λυκείου δεν είχα δοκιμάσει,αλλά μπορεί να το κάνω .
I feel weak without my derivatives,i'm dying

Σημείωση: Το μήνυμα αυτό γράφτηκε 5 χρόνια πριν. Ο συντάκτης του πιθανόν να έχει αλλάξει απόψεις έκτοτε.
Μάρκος Βασίλης
Πολύ δραστήριο μέλος


Ναι ακριβώς εκεί φοβόμουν οτι έμπαζε . Δεν ξέρω εαν μπορώ να κάνω κάτι για να το συνεχίσω,propably not .
Εαν είναι συνεχής τότε κάπως διευκολύνεται η κατάσταση. Χωρίς αυτή την πληροφορία πάντως,εαν και αρχικά δεν γεμίζει το μάτι, είναι tough ερώτημα .
Τώρα κάτι εκτός λυκείου δεν είχα δοκιμάσει,αλλά μπορεί να το κάνω .
I feel weak without my derivatives,i'm dying.
Μπορείς να δείξεις όπως πριν ότι f(1)=1/2 και μετά, από τη συνέχεια και το 1-1 και το γεγονός ότι f(x)>1/2 για x> και διάφορο του 1 να καταλήξεις σε άτοπο - θα πρέπει να μοιάζει με μπολάκι εκεί κοντά στο 1. Αλλά εδώ κάπου λίγο ξεφεύγει από το λύκειο. :Ρ
Σημείωση: Το μήνυμα αυτό γράφτηκε 5 χρόνια πριν. Ο συντάκτης του πιθανόν να έχει αλλάξει απόψεις έκτοτε.
Samael
Τιμώμενο Μέλος


Μπορείς να δείξεις όπως πριν ότι f(1)=1/2 και μετά, από τη συνέχεια και το 1-1 και το γεγονός ότι f(x)>1/2 για x> και διάφορο του 1 να καταλήξεις σε άτοπο - θα πρέπει να μοιάζει με μπολάκι εκεί κοντά στο 1. Αλλά εδώ κάπου λίγο ξεφεύγει από το λύκειο. :Ρ
Χμ κατάλαβα το σκεπτικό. Βγάζει απόλυτο νόημα, ωραίος !
Χωρίς την υπόθεση της συνέχειας υπάρχει απάντηση στο ερώτημα ;
Αυτά τα ερωτήματα ύπαρξης είναι καλή άσκηση για το μυαλό και διασκεδαστικά.
Μου θύμισε λίγο ερωτήματα του στυλ "Πόσες συνεχείς συναρτήσεις υπάρχουν;" .
Σημείωση: Το μήνυμα αυτό γράφτηκε 5 χρόνια πριν. Ο συντάκτης του πιθανόν να έχει αλλάξει απόψεις έκτοτε.
Μάρκος Βασίλης
Πολύ δραστήριο μέλος


Χμ κατάλαβα το σκεπτικό. Βγάζει απόλυτο νόημα, ωραίος !
Χωρίς την υπόθεση της συνέχειας υπάρχει απάντηση στο ερώτημα ;
Αυτά τα ερωτήματα ύπαρξης είναι καλή άσκηση για το μυαλό και διασκεδαστικά.
Μου θύμισε λίγο ερωτήματα του στυλ "Πόσες συνεχείς συναρτήσεις υπάρχουν;" .
Κοίτα, χωρίς την υπόθεση της συνέχειας δεν πέφτουμε μέσα στην ύλη του λυκείου - τουλάχιστον με όσα έχω σκεφτεί προς το παρόν. :Ρ
Σημείωση: Το μήνυμα αυτό γράφτηκε 5 χρόνια πριν. Ο συντάκτης του πιθανόν να έχει αλλάξει απόψεις έκτοτε.
Samael
Τιμώμενο Μέλος


Κοίτα, χωρίς την υπόθεση της συνέχειας δεν πέφτουμε μέσα στην ύλη του λυκείου - τουλάχιστον με όσα έχω σκεφτεί προς το παρόν. :Ρ
Σωστός,και μέσα στην ύλη γενικά δεν δουλεύονται ιδιαίτερα προβλήματα που δεν διασφαλίζεται έστω η συνέχεια .
Ας ρωτήσω κάτι πιο light τότε(μάλλον ; ). Έχεις σκεφτεί κανένα πρόβλημα με παντού συνεχής αλλά πουθενά διαφορίσιμη συνάρτηση;
Σημείωση: Το μήνυμα αυτό γράφτηκε 5 χρόνια πριν. Ο συντάκτης του πιθανόν να έχει αλλάξει απόψεις έκτοτε.
Μάρκος Βασίλης
Πολύ δραστήριο μέλος


Σωστός,και μέσα στην ύλη γενικά δεν δουλεύονται ιδιαίτερα προβλήματα που δεν διασφαλίζεται έστω η συνέχεια .
Ας ρωτήσω κάτι πιο light τότε(μάλλον ; ). Έχεις σκεφτεί κανένα πρόβλημα με παντού συνεχής αλλά πουθενά διαφορίσιμη συνάρτηση;
Είχα βάλει μια φορά φέτος δύο πολύ δυνατές κοπέλες από ένα τμήμα στο φροντιστήριο να δουλέψουν λίγο την ιδέα προσπαθώντας να βρουν συναρτήσεις με όλο και περισσότερα σημεία ασυνέχειας. Η αλήθεια είναι ότι, μιας και τέτοιες συναρτήσεις προκύπτουν - συνήθως - ως ομοιόμορφο όριο συνεχών συναρτήσεων με «μύτες», είναι δύσκολο να τις αξιοποιήσεις κάπως στην τάξη - βασικά, εμένα μου φαίνεται δύσκολο. :Ρ Αλλά, πρακτικά, αν πεις σε ένα παιδί ότι μία συνάρτηση είναι συνεχής και δεν του πεις κάτι για την παραγωγισιμότητα, είναι σαν του δίνεις, μεταξύ άλλων, και μία τέτοια συνάρτηση - για θεωρητικές ασκήσεις, πάντα.
Σημείωση: Το μήνυμα αυτό γράφτηκε 5 χρόνια πριν. Ο συντάκτης του πιθανόν να έχει αλλάξει απόψεις έκτοτε.
Samael
Τιμώμενο Μέλος


Είχα βάλει μια φορά φέτος δύο πολύ δυνατές κοπέλες από ένα τμήμα στο φροντιστήριο να δουλέψουν λίγο την ιδέα προσπαθώντας να βρουν συναρτήσεις με όλο και περισσότερα σημεία ασυνέχειας. Η αλήθεια είναι ότι, μιας και τέτοιες συναρτήσεις προκύπτουν - συνήθως - ως ομοιόμορφο όριο συνεχών συναρτήσεων με «μύτες», είναι δύσκολο να τις αξιοποιήσεις κάπως στην τάξη - βασικά, εμένα μου φαίνεται δύσκολο. :Ρ Αλλά, πρακτικά, αν πεις σε ένα παιδί ότι μία συνάρτηση είναι συνεχής και δεν του πεις κάτι για την παραγωγισιμότητα, είναι σαν του δίνεις, μεταξύ άλλων, και μία τέτοια συνάρτηση - για θεωρητικές ασκήσεις, πάντα.
Ενδιαφέρον άσκηση για να παίξει κάποιος με την ιδέα

Τις προετοίμαζες μήπως και για κάποιον μαθηματικό διαγωνισμό ή απλά ήθελες ή/και ήθελαν εκείνες να δουν κάτι πιο τσιμπημένο ;
Σημείωση: Το μήνυμα αυτό γράφτηκε 5 χρόνια πριν. Ο συντάκτης του πιθανόν να έχει αλλάξει απόψεις έκτοτε.
Μάρκος Βασίλης
Πολύ δραστήριο μέλος


Ενδιαφέρον άσκηση για να παίξει κάποιος με την ιδέα. Σε πανελλήνιες πράγματι δεν πιστεύω να μπει ποτέ κάτι τέτοιο,πέρα απο το στυλ ιδού η f(x) συνεχής,και καμία πληροφορία για την διαφορισιμότητα στο Df . Εξάλλου δεν αφήνουν και πολλά περιθώρια για να δουλέψει κάποιος και την ύλη της Γ λυκείου καλά .
Τις προετοίμαζες μήπως και για κάποιον μαθηματικό διαγωνισμό ή απλά ήθελες ή/και ήθελαν εκείνες να δουν κάτι πιο τσιμπημένο ;
Η μία είχε δώσει σημάδια στην Α' λυκείου ότι τα πήγαινε καλά με τα μαθηματικά, όταν είχε ανταποκριθεί σε ένα ερώτημα του τύπου: μπορείτε να βάλετε τους πραγματικούς αριθμούς σε έναν κύκλο χωρίς να χαλάσει η διάταξη κ.λπ.; Και είπα να δω πόσο μακριά πάμε. :Ρ
Σημείωση: Το μήνυμα αυτό γράφτηκε 5 χρόνια πριν. Ο συντάκτης του πιθανόν να έχει αλλάξει απόψεις έκτοτε.
Χρήστες Βρείτε παρόμοια
-
Τα παρακάτω 0 μέλη και 3 επισκέπτες διαβάζουν μαζί με εσάς αυτό το θέμα:Tα παρακάτω 290 μέλη διάβασαν αυτό το θέμα:
- Maynard
- foxypup
- Pars3c
- mikke
- hihat1
- thepigod762
- 98.8%chimpanzee
- trifasikodiavasma
- ggl
- ioanna2007
- Hased Babis
- Mariosm.
- infection54
- Jesse_
- topg
- eukleidhs1821
- bill09876
- Debugging_Demon
- mali
- Joji
- Ness
- Helen06
- Scandal
- synthnightingale
- arko
- BillyTheKid
- Magigi
- Paragontas7000
- Unboxholics
- just some guy
- george777
- Wonderkid
- IceCream05
- Abiogenesis
- GeorgePap2003
- katia.m
- giannhs2001
- paul
- Praxis
- Apocalypse
- shezza94
- desp1naa
- rempelos42
- Sherlockina
- oups
- Dimgeb
- spring day
- KingOfPop
- mpapa
- Chrisa
- Physicsstudent
- tsiobieman
- P.Dam.
- persi
- theodoraooo
- PanosBat
- kost28
- mikriarchitectonissa
- BILL KEXA
- Dr. Gl. Luminous
- Eleftheria2
- Lathy
- bruh_234
- Miranda32
- SlimShady
- kallikd
- nucomer
- alpha.kappa
- Eeeee
- J.Cameron
- Marple
- Kitana
- F1L1PAS
- sophiaa
- VFD59
- papa2g
- το κοριτσι του μαη
- srg96
- Hopeful22
- Φινεύς
- Phys39
- Anta2004
- fairyelly
- Pharmacist01
- jYanniss
- Panagiotis849
- Kokro
- augustine
- Nikoletaant
- Mashiro@Iberan
- margik
- Mammy Nun
- Pastramis
- Σωτηρία
- Appolon
- panosveki
- Nickt23
- igeorgeoikonomo
- Steliosgkougkou
- QWERTY23
- Ameliak
- aladdin
- nimbus
- Φωτεινη Τζα.
- marian
- Georgekk
- xrisamikol
- the purge
- Dora140303
- Machris
- s93060
- Nikitas18
- Stif6
- stav.mdp
- damn
- aekaras 21
- Anthropaki
- Angelos12345
- ioannam
- Μάρκος Βασίλης
- skyway
- Nick2325
- Nala
- Manolo165
- Ryuzaki
- T C
- Devilshjoker
- El_
- George9989
- TonyMontanaEse
- globglogabgalab
- constansn
- barkos
- katerinavld
- fenia
- An_uknown_world
- Jimmis18
- maria2001
- KingPoul
- Xara
- thecrazycretan
- abcdefg12345
- Κλημεντίνη
- ale
- panagiotis G
- mechaniceng
- Giii
- calliope
- Tequila
- natalix
- Cortes
- Alexecon1991
- pepsoula
- Mariaathens
- Lia 2006
- 1205
- παιδι για κλαματα
- Alexandros36k
- alexd99
- chembam
- Specon
- Dr House
- panagiotis23
- Johnman97
- rhymeasylum
- Αννα Τσιτα
- KaterinaL
- Libertus
- LeoDel
- iminspain
- den antexw allh apotyxia
- Λαμπρινηη
- Mendel2003
- Ijt
- drosos
- Κορώνα
- JohnGreek
- Αρχηγος_β3
- alexandra_
- ΘανάσοςG4
- Dimitris9
- Birtjan
- george7cr7
- NickT
- Bgpanos
- JKTHEMAN
- nicole1982
- χημεια4λαιφ
- Stroka
- Kostakis45
- charmander
- leo41
- EiriniS20
- Αριάνα123
- MarilynSt
- iManosX13
- Nefh_
- Viedo
- Βλα
- suaimhneas
- george pol
- kristinbacktoschool
- fearless
- Rene2004
- Steffie88
- Slytherin
- jimnikol21
- Unseen skygge
- cel123
- jul25
- Thanos_D
- Ireneeneri
- tasost
- Mukumbura
- xxxtolis
-
Φορτώνει...
-
Το forum μας χρησιμοποιεί cookies για να βελτιστοποιήσει την εμπειρία σας.
Συνεχίζοντας την περιήγησή σας, συναινείτε στη χρήση cookies στον περιηγητή σας.