Or3st1s SOAD
Εκκολαπτόμενο μέλος
Χμ τώρα που την ξαναβλέπω παρατηρώ ότι στο 4ο ερώτημα είχα διαβάσει λάθος τον τύπο της f
αντί
που είναι το σωστό. Αυτό για όποιον προσπαθήσει να την λύσει. Φιλιά!![]()
χαχα σωστα τον ειχες διαβασει τον τυπο.Το 3+ριζα7 ειναι ο εκθετης.
Σημείωση: Το μήνυμα αυτό γράφτηκε 14 χρόνια πριν. Ο συντάκτης του πιθανόν να έχει αλλάξει απόψεις έκτοτε.
kosmas13green
Νεοφερμένο μέλος
Τα Π.Ο και το Σ.Τ τα βρηκες σωστα. Εκει που το εχεις φτασει ειναι μια χαρα αλλα καλο ειναι να λυνεις παντα ως προος χ και μετα να συνοψιζεις τους περιορισμους που εχεις για το y.
Δηλαδή
Σημείωση: Το μήνυμα αυτό γράφτηκε 14 χρόνια πριν. Ο συντάκτης του πιθανόν να έχει αλλάξει απόψεις έκτοτε.
rebel
Πολύ δραστήριο μέλος
Σημείωση: Το μήνυμα αυτό γράφτηκε 14 χρόνια πριν. Ο συντάκτης του πιθανόν να έχει αλλάξει απόψεις έκτοτε.
drosos
Πολύ δραστήριο μέλος
NΔΟ
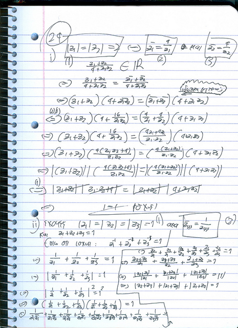
2)Να βρεθει ο γτ των εικόνων των z αν
Στην 1η αντι για
Στην 2η σκεφτηκα να παω το 16 στο αλλο μελος και να προσθεσω 8|z| ώστε να φτιαξω την ταυτοτητα αλλα δεν καταλήγω κάπου

Σημείωση: Το μήνυμα αυτό γράφτηκε 14 χρόνια πριν. Ο συντάκτης του πιθανόν να έχει αλλάξει απόψεις έκτοτε.
rebel
Πολύ δραστήριο μέλος
Επίσης
2) Έστω
Επομένως είναι κύκλος με
Σημείωση: Το μήνυμα αυτό γράφτηκε 14 χρόνια πριν. Ο συντάκτης του πιθανόν να έχει αλλάξει απόψεις έκτοτε.
drosos
Πολύ δραστήριο μέλος
Ευχαριστωω!Σημείωση: Το μήνυμα αυτό γράφτηκε 14 χρόνια πριν. Ο συντάκτης του πιθανόν να έχει αλλάξει απόψεις έκτοτε.
rebel
Πολύ δραστήριο μέλος

Σημείωση: Το μήνυμα αυτό γράφτηκε 14 χρόνια πριν. Ο συντάκτης του πιθανόν να έχει αλλάξει απόψεις έκτοτε.
Leo 93
Εκκολαπτόμενο μέλος
Σύμφωνα με τη σχέση
Συνεπώς, ο
To ελάχιστο μέτρο του
Σημείωση: Το μήνυμα αυτό γράφτηκε 14 χρόνια πριν. Ο συντάκτης του πιθανόν να έχει αλλάξει απόψεις έκτοτε.
α) Να βρείτε τον γεωμετρικό τοπο C1 των εικόνων του z στο μιγαδικό επίπεδο για τον οποίο ισχύει
Β) Να βρείτε τον γεωμτρικό τόπο C2 των εικόνων του w στο μιγαδικό επίπεδο για τον οποίο ισχύει
Τον τρόπο με τον οποίο λύνονται τον ξέρω -δημιουργόυμε το w-3, μέτρα και αντικαταστούμε- όμως στις πράξεις δεν μου βγαίνει. Αν μπορεί κάποιος να κάνει τις πράξεις και να καταλήξει α) στον κύκλο
Σημείωση: Το μήνυμα αυτό γράφτηκε 14 χρόνια πριν. Ο συντάκτης του πιθανόν να έχει αλλάξει απόψεις έκτοτε.
kosmas13green
Νεοφερμένο μέλος
). Τώρα θέτω Από δω τι κάνω;
Σημείωση: Το μήνυμα αυτό γράφτηκε 14 χρόνια πριν. Ο συντάκτης του πιθανόν να έχει αλλάξει απόψεις έκτοτε.
βαζεις το χ που βρήκες στους περιορισμούς εδω για παραδειγμα -2<=χ<=2Να βρείτε το σύνολο τιμών της συνάρτησης:. Προφανώς το πεδίο ορισμού δίνεται [-2,2] (φαντάζομαι
). Τώρα θέτω
.
Από δω τι κάνω;
Σημείωση: Το μήνυμα αυτό γράφτηκε 14 χρόνια πριν. Ο συντάκτης του πιθανόν να έχει αλλάξει απόψεις έκτοτε.
drosos
Πολύ δραστήριο μέλος
Να ανήκει στο Af συναληθευση με το y<>1 και βρηκες το συνολο τιμων
Σημείωση: Το μήνυμα αυτό γράφτηκε 14 χρόνια πριν. Ο συντάκτης του πιθανόν να έχει αλλάξει απόψεις έκτοτε.
ellhnaras
Νεοφερμένο μέλος
Nα υπολογίσετε το παρακάτω όριο:
l i m(|x^3-5x^2+3x-2|-x^3)
x->+oo
Θα πρέπει να πάρω 2 περιπτώσεις,μία για |x^3-5x^2+3x-2|>0 κ μία για |x^3-5x^2+3x-2|<0 ή υπάρχει άλλος τρόπος;
Παρακαλώ απαντήστε μου το συντομότερο δυνατόν.
Ευχαριστώ εκ των προτέρων.
ΣΗΜΕΙΩΣΗ:το x τείνει στο συν άπειρο
Σημείωση: Το μήνυμα αυτό γράφτηκε 14 χρόνια πριν. Ο συντάκτης του πιθανόν να έχει αλλάξει απόψεις έκτοτε.
antwwwnis
Διάσημο μέλος
Βρίσκεις που τείνει το x^3-5x^2+3x-2 όταν το χ τείνει στο +οο . Αν τείνει σε θετικό αριθμό(ή -οο) το κρατάς όπως είναι, αλλιώς αλλάζεις πρόσημο -(x^3-5x^2+3x-2). Λογικά.Καλησπέρα,έχω απορία στην παρακάτω άσκηση:
Nα υπολογίσετε το παρακάτω όριο:
l i m(|x^3-5x^2+3x-2|-x^3)
x->+oo
Θα πρέπει να πάρω 2 περιπτώσεις,μία για |x^3-5x^2+3x-2|>0 κ μία για |x^3-5x^2+3x-2|<0 ή υπάρχει άλλος τρόπος;
Παρακαλώ απαντήστε μου το συντομότερο δυνατόν.
Ευχαριστώ εκ των προτέρων.
ΣΗΜΕΙΩΣΗ:το x τείνει στο συν άπειρο
Σημείωση: Το μήνυμα αυτό γράφτηκε 14 χρόνια πριν. Ο συντάκτης του πιθανόν να έχει αλλάξει απόψεις έκτοτε.
koum
Πολύ δραστήριο μέλος
...και θα κάνεις Horner για να βρεις τις ρίζες;Θα πρέπει να πάρω 2 περιπτώσεις,μία για |x^3-5x^2+3x-2|>0 κ μία για |x^3-5x^2+3x-2|<0 ή υπάρχει άλλος τρόπος;

Nope. Δε θα βγάλεις άκρη.
Ξέρεις ότι
Βγάλε τώρα κοινό παράγοντα από το απόλυτο το

Σημείωση: Το μήνυμα αυτό γράφτηκε 14 χρόνια πριν. Ο συντάκτης του πιθανόν να έχει αλλάξει απόψεις έκτοτε.
ellhnaras
Νεοφερμένο μέλος
Να βρείτε το όριο: l i m [(λ^2-4)x^3+(λ+2)x-3]
x->-00
για τις διάφορες τιμές του λεR
Μπορεί κάποιος να με βοηθήσει σε αυτή την άσκηση;Θα πρέπει να πάρω (λ+2)>0,(λ+2)<0,λ+2=0 & λ+2=1;
Σημείωση: Το μήνυμα αυτό γράφτηκε 14 χρόνια πριν. Ο συντάκτης του πιθανόν να έχει αλλάξει απόψεις έκτοτε.
Bemanos
Πολύ δραστήριο μέλος
Σημείωση: Το μήνυμα αυτό γράφτηκε 14 χρόνια πριν. Ο συντάκτης του πιθανόν να έχει αλλάξει απόψεις έκτοτε.
lowbaper92
Πολύ δραστήριο μέλος
Σημείωση: Το μήνυμα αυτό γράφτηκε 14 χρόνια πριν. Ο συντάκτης του πιθανόν να έχει αλλάξει απόψεις έκτοτε.
christina123
Δραστήριο μέλος
=lim [(λ^2-4)χ^3]= -00
νομιζω ετσι βγαινει

Σημείωση: Το μήνυμα αυτό γράφτηκε 14 χρόνια πριν. Ο συντάκτης του πιθανόν να έχει αλλάξει απόψεις έκτοτε.
ellhnaras
Νεοφερμένο μέλος
.Σημείωση: Το μήνυμα αυτό γράφτηκε 14 χρόνια πριν. Ο συντάκτης του πιθανόν να έχει αλλάξει απόψεις έκτοτε.
Χρήστες Βρείτε παρόμοια
-
Τα παρακάτω 0 μέλη και 4 επισκέπτες διαβάζουν μαζί με εσάς αυτό το θέμα:Tα παρακάτω 232 μέλη διάβασαν αυτό το θέμα:
- Hased Babis
- ChrisG152
- giorgos5002
- giannis06
- Panagiwths12
- mikke
- hristosdab
- trifasikodiavasma
- haji
- thepigod762
- Mariosm.
- soulatso
- oteletampis
- phleidhs
- AggelikiGr
- sir ImPeCaBlE
- veiNqh
- Scandal
- alekos
- Debugging_Demon
- just some guy
- xristosgkm
- ismember
- Apocalypse
- arrow25
- rempelos42
- ggl
- GStef
- QWERTY23
- xrisamikol
- Σωτηρία
- nikoletaz57
- _Aggelos123
- Mariam38
- SlimShady
- strsismos88
- Georgekk
- Lia 2006
- igeorgeoikonomo
- marian
- tsiobieman
- constansn
- Xristosdimitra
- Panagiotis849
- ρενακι 13
- Memetchi
- eukleidhs1821
- Nikkkpat
- Unboxholics
- korlef
- kwstaseL
- Thanos_D
- the purge
- T C
- Giii
- Papachrist
- liaiscool
- Αννα Τσιτα
- globglogabgalab
- Pharmacist01
- otinanai123
- abcdefg12345
- nicole1982
- thecrazycretan
- kvstas92
- KingOfPop
- maria301
- papa2g
- stefan
- Κλημεντίνη
- TonyMontanaEse
- Lathy
- Alexecon1991
- Μάρκος Βασίλης
- Cortes
- το κοριτσι του μαη
- calliope
- ale
- panagiotis G
- Kleanth
- aggelosst9
- BioChemical
- spring day
- nucomer
- Georgia110
- LeoDel
- pink_panther
- Alexandros973
- marsenis
- den antexw allh apotyxia
- KaterinaL
- kiyoshi
- drosos
- Λαμπρινηη
- Bill22
- Chrysablac.
- giorgosp97
- Βλα
- Monster Hunter
- jul25
- xxxtolis
- Stroka
- nicks1999
- totiloz
- Earendil
- mitsakos
- tasost
- lnesb
- ssalex
- alan09
- Livaja10
- χημεια4λαιφ
- Viedo
- UncleJ
- Kostakis45
- Infrared
- Zgian
- pepatogourounaki
- hirasawayui
- GeoCommand
- Eleni54
- American Economist
- EiriniS20
- ΘανάσοςG4
- stamoul1s
- Αριάνα123
- uni77
- Libertus
- tasoss
- PanosCh002
- Unseen skygge
- Νικόλας Ραπ.
- cel123
- The Limit Does Not Exist
- don_vito
- suaimhneas
- Αλκης Κ.
- alexrami
- Baggelitsa36
- Νομικάριος13
- spinalgr1990
- d_th
- Adolfo valencia
- Πα.Κ
- Vasilis25
- Johnman97
- Steffie88
- rekcoR
- gwgw_5
- fockos
- Mariahj
- roud
- kostas83
- Cpt.Philips
- Makis45
- Χρησλου
- Panos_02
- Vold
- tymvorixos
- GiorgosAsi
- Neos167
- theodoraooo
- George187
- Άρτεμις Α.
- Μαρία2222
- christos87
- Idontknoww
- jimis2001
- Metamorph
- Γατόπαρδος.
- Johnsk
- mitsos14
- johnsiak
- Elel
- Dreamer_SW
- Γιαννης1987Θεσσ
-
Φορτώνει...
-
Το forum μας χρησιμοποιεί cookies για να βελτιστοποιήσει την εμπειρία σας.
Συνεχίζοντας την περιήγησή σας, συναινείτε στη χρήση cookies στον περιηγητή σας.
Αρχική Forum
Ρωτήστε κάτι
Προσωπικές Συζητήσεις
Πανελλαδικές
Αγγελίες
Συνδεδεμένοι Χρήστες
Λίστα Αποκλεισμένων
Υπεύθυνοι του Forum
e-steki

