Guest 691153
Επισκέπτης
αυτή τη στιγμή δεν είναι συνδεδεμέν. Δεν έχει γράψει κανένα μήνυμα.

10-09-23

03:17
Είμαι σχετικά καλός στη φυσική, και είναι μαλιστα το αγαπημένο μου μάθημα, αλλα βλέποντας αυτα τα λάθη εστω και αν ειναι λιγοστά με αποσυντονίζουν και με ρίχνουν αντί να το λαμβανω σαν μια νικη
Samael
Τιμώμενο Μέλος
Ο Samael αυτή τη στιγμή δεν είναι συνδεδεμένος. Είναι 26 ετών, Πτυχιούχος του τμήματος Ηλεκτρολόγων & Ηλεκτρονικών Μηχανικών ΠΑΔΑ και μας γράφει από Πειραιάς (Αττική). Έχει γράψει 12.052 μηνύματα.

10-09-23

03:28
Κοίταξε να δεις τι γίνεται τώρα . Η δική μου εμπειρία είναι οτι το σχολικό περιβάλλον γενικά προωθεί μια φιλοσοφία που σε κάνει φοβικό στο να κάνεις λάθος . Ο λόγος είναι οτι όλα γίνονται για τις πανελλήνιες , στις οποίες πρέπει να τα πας καλά . Αυτή η νοοτροπία αποτελεί τεράστιο πρόβλημα αργότερα γιατί φεύγοντας απο το λύκειο πιστεύεις οτι είσαι πολύ καλός και μπορείς να λύσεις όλα τα προβλήματα που θα σου δώσουν ποτέ...το οποίο είναι λάθος . Θα βρεθείς άπειρες φορές αντιμέτωπος με προβλήματα τα οποία όχι απλώς θα κάνεις λάθος , αλλά δεν θα τα κατανοείς καν για να προσπαθήσεις να τα λύσεις .Είμαι σχετικά καλός στη φυσική, και είναι μαλιστα το αγαπημένο μου μάθημα, αλλα βλέποντας αυτα τα λάθη εστω και αν ειναι λιγοστά με αποσυντονίζουν και με ρίχνουν αντί να το λαμβανω σαν μια νικη
Τέλος πάντων , εκεί που θέλω να καταλήξω είναι πως μπορείς να αυτομαστιγωθείς όσο θες στις πανελλήνιες . Όσο κάνεις εξάσκηση όμως , δεν έχει νόημα ή αξία να απαιτείς απο τον εαυτό σου να είναι τέλειος . Εαν έλυνες όλες τις ασκήσεις σωστά δεν θα είχε νόημα εξαρχής η εξάσκηση . Κατέγραψε ΚΑΘΕ λάθος που κάνεις σε μια λίστα . Στο επόμενο πρόβλημα προσπάθησε να μην κάνεις τα ίδια λάθη . Όταν φτάσεις στο σημείο να λύνεις μια άσκηση ολοκληρωμένα απο την αρχή μέχρι το τέλος χωρίς ούτε ένα λάθος , τότε θα ξέρεις οτι έχεις κάνει καλή δουλειά .
Και όπως λεω πάντα...κάθε λάθος που δεν κάνεις στην εξάσκηση , θα το κάνεις στην εξέταση . Οπότε ΘΕΣ να κάνεις όσα περισσότερα λάθη γίνεται διότι μετά ξέρεις ακριβώς τι μπορεί να πάει στραβά και έτσι το σώζεις .
Guest 691153
Επισκέπτης
αυτή τη στιγμή δεν είναι συνδεδεμέν. Δεν έχει γράψει κανένα μήνυμα.

10-09-23

03:34
Σωστά αυτά που λές.. Κοίτα, εγώ τώρα έχω κατα αγχωθεί γιατι εχει ξεκινήσει μια νεα σελίδα της ζωης μου με φροντιστηρια και πιο ανταγωνιστικο περιβάλλον. Στο φροντιστήριο μου έχασα και το πρωτο επαναληπτικό μάθημα και τρέχω να κάνω ασκήσεις στις 3 το πρωι με τα ebooks.edu.gr διοτι πεταξα τα βιβλια, μετα απο 3 μηνες χωρις καθολου φυσικη. Μου εχει ριζωθει αυτη η φιλοσοφια του να φοβουμαι το λαθος, και παρολο που συμφωνω οτι απο τα λαθη μαθαινω, εχω ακομα αυτον τον φοβο οτι ενα μικρο τετοιο λαθος πιθανως να μου κοστισει τη σχολη σε 2 χρονια
Samael
Τιμώμενο Μέλος
Ο Samael αυτή τη στιγμή δεν είναι συνδεδεμένος. Είναι 26 ετών, Πτυχιούχος του τμήματος Ηλεκτρολόγων & Ηλεκτρονικών Μηχανικών ΠΑΔΑ και μας γράφει από Πειραιάς (Αττική). Έχει γράψει 12.052 μηνύματα.

10-09-23

03:40
Σχετικά με το ανταγωνιστικό περιβάλλον θα σου πρότεινα να τους γράψεις όλους και να εστιάσεις στον εαυτό σου. Διάβασε και ασχολήσου για εσένα . Εαν οι άλλοι θέλουν να κοιτάνε τι κάνεις εσύ , δικαίωμα σου , αλλά εσύ θα επωφεληθείς μόνο όταν προσπαθείς να γίνεσαι καθημερινά καλύτερος απο οτι ήσουν χθες . Το internet είναι επίσης γεμάτο υλικό και μπορείς να λάβεις βοήθεια και απο εδώ . Οπότε δεν χρειάζεται να αγχώνεσαι για τα κενά που σου έχουν δημιουργηθεί . Θα τα καλύψεις εφόσον διαβάζεις .Σωστά αυτά που λές.. Κοίτα, εγώ τώρα έχω κατα αγχωθεί γιατι εχει ξεκινήσει μια νεα σελίδα της ζωης μου με φροντιστηρια και πιο ανταγωνιστικο περιβάλλον. Στο φροντιστήριο μου έχασα και το πρωτο επαναληπτικό μάθημα και τρέχω να κάνω ασκήσεις στις 3 το πρωι με τα ebooks.edu.gr διοτι πεταξα τα βιβλια, μετα απο 3 μηνες χωρις καθολου φυσικη.
Πίστεψε με δεν είναι καθόλου παραγωγικό να αγχωθείς απο τώρα για το τι θα γίνει σε 2 χρόνια . Φυσικά μπορείς να το κάνεις αλλά δεν στο συνιστώ εαν θες να παραμείνεις στα λογικά σου . Προσπάθησε να εστιάσεις στο τι κάνεις τώρα . Όταν περάσουν 2 χρόνια , ανησυχείς και για το τότε .Μου εχει ριζωθει αυτη η φιλοσοφια του να φοβουμαι το λαθος, και παρολο που συμφωνω οτι απο τα λαθη μαθαινω, εχω ακομα αυτον τον φοβο οτι ενα μικρο τετοιο λαθος πιθανως να μου κοστισει τη σχολη σε 2 χρονια
Guest 691153
Επισκέπτης
αυτή τη στιγμή δεν είναι συνδεδεμέν. Δεν έχει γράψει κανένα μήνυμα.

10-09-23

03:44
Τι να πω. Ευχαριστώ πολύ για τις συμβουλές... Το οτι κανω φυσικη στις 4 το πρωι δε βοηθαει σιγουρα
Samael
Τιμώμενο Μέλος
Ο Samael αυτή τη στιγμή δεν είναι συνδεδεμένος. Είναι 26 ετών, Πτυχιούχος του τμήματος Ηλεκτρολόγων & Ηλεκτρονικών Μηχανικών ΠΑΔΑ και μας γράφει από Πειραιάς (Αττική). Έχει γράψει 12.052 μηνύματα.

10-09-23

04:10
Όχι ιδιαίτερα όντως . Το καλύτερο αποτέλεσμα θα το έχεις λύνοντας με το χεράκι σε ώρες που το μυαλό σου λειτουργεί καλύτερα . Δηλαδή πρωινά και μεσημέρια .Τι να πω. Ευχαριστώ πολύ για τις συμβουλές... Το οτι κανω φυσικη στις 4 το πρωι δε βοηθαει σιγουρα
Joji
Επιφανές μέλος
Η Ιωάννα αυτή τη στιγμή δεν είναι συνδεδεμένη. Είναι 22 ετών και Φοιτήτρια του τμήματος Επιστημών της Εκπαίδευσης & Κοινωνικής Εργασίας Πατρών. Έχει γράψει 8.705 μηνύματα.

10-09-23

09:31
Θέλω να σου δώσω μια συμβουλή. Αν θες την κρατάς, αν όχι την πετάς. Να μην μιλάς έτσι για τον εαυτό σου, ειδικά δημόσια. Όχι για εμάς, που τα βλέπουμε, αλλά για εσένα τον ίδιο. Όσο τα λες, τόσο θα τα «υιοθετείς» και σταδιακά θα χάνεις όποιο motivation. Δεν υποστηρίζω να είσαι υπερβολικός «Α είμαι τόσο καλός και θα σκίσω» αλλά να σου δίνεις ελαφρυντικά. «Μπορεί να μην τα πήγα καλά στην τάδε άσκηση αλλά θα βρω τον λόγο και θα βελτιωθώ».Εγω το λεω, κανω φροντιστηριο για θετικη με κατι ονειρα ΝΑ και εν τελη φουρναρης η παλιατζης θα την βγαλω (no offense to fournarides and paliatzides)
Υ.Γ. Να τον ακούς τον Σαμ
Dias
Επιφανές μέλος
Ο Dias αυτή τη στιγμή δεν είναι συνδεδεμένος. Είναι Καθηγητής κι έχει σπουδάσει στο τμήμα Φυσικής ΕΚΠΑ (Αθήνα). Έχει γράψει 10.663 μηνύματα.

10-09-23

16:04
Καιρό είχα να λύσω ασκησούλα...
Guest 691153
Επισκέπτης
αυτή τη στιγμή δεν είναι συνδεδεμέν. Δεν έχει γράψει κανένα μήνυμα.

16-09-23

01:22
"Ο δρόμος που χωρίζει δύο πολυκατοικίες έχει πλάτος d=25m. μια μπάλα ρίχνεται οριζόντια απο την άκρη της ταράτσας της μιας πολυκατοικίας με ταχύτητα υ0=10m/s. Να υπολογίσετε:
α. ποσο χρονο θα κανει η μπαλα να φτασει την απεναντι πολυκατοικια
β. ποσο πιο χαμηλα απο την ταρατσα που ριχθηκε θα χτυπησει η μπαλα την απεναντι πολυκατοικια
γ. την ταχυτητα με την οποια η μπαλα χτυπά την απέναντι πολυκατοικία."
βρήκα
α) 0,4 sec
β) 0.8m
γ) 2√29 m/s
α. ποσο χρονο θα κανει η μπαλα να φτασει την απεναντι πολυκατοικια
β. ποσο πιο χαμηλα απο την ταρατσα που ριχθηκε θα χτυπησει η μπαλα την απεναντι πολυκατοικια
γ. την ταχυτητα με την οποια η μπαλα χτυπά την απέναντι πολυκατοικία."
βρήκα
α) 0,4 sec
β) 0.8m
γ) 2√29 m/s
Samael
Τιμώμενο Μέλος
Ο Samael αυτή τη στιγμή δεν είναι συνδεδεμένος. Είναι 26 ετών, Πτυχιούχος του τμήματος Ηλεκτρολόγων & Ηλεκτρονικών Μηχανικών ΠΑΔΑ και μας γράφει από Πειραιάς (Αττική). Έχει γράψει 12.052 μηνύματα.

16-09-23

03:30
Θες να μου εξηγήσεις για το α) πως υπολόγισες 0.4 s ;"Ο δρόμος που χωρίζει δύο πολυκατοικίες έχει πλάτος d=25m. μια μπάλα ρίχνεται οριζόντια απο την άκρη της ταράτσας της μιας πολυκατοικίας με ταχύτητα υ0=10m/s. Να υπολογίσετε:
α. ποσο χρονο θα κανει η μπαλα να φτασει την απεναντι πολυκατοικια
β. ποσο πιο χαμηλα απο την ταρατσα που ριχθηκε θα χτυπησει η μπαλα την απεναντι πολυκατοικια
γ. την ταχυτητα με την οποια η μπαλα χτυπά την απέναντι πολυκατοικία."
βρήκα
α) 0,4 sec
β) 0.8m
γ) 2√29 m/s
Guest 691153
Επισκέπτης
αυτή τη στιγμή δεν είναι συνδεδεμέν. Δεν έχει γράψει κανένα μήνυμα.

16-09-23

09:56
λοιπον giving myself the benefit of the doubt και λεγοντας οτι σιγουρα δεν εκανα λαθος χιαστή, δίνω τα ανανεωμένα αποτελέσματα μουΘες να μου εξηγήσεις για το α) πως υπολόγισες 0.4 s ;
α) 2.5 sec
β) 31,25m
γ) 5√29 m/s
Samael
Τιμώμενο Μέλος
Ο Samael αυτή τη στιγμή δεν είναι συνδεδεμένος. Είναι 26 ετών, Πτυχιούχος του τμήματος Ηλεκτρολόγων & Ηλεκτρονικών Μηχανικών ΠΑΔΑ και μας γράφει από Πειραιάς (Αττική). Έχει γράψει 12.052 μηνύματα.

16-09-23

13:56
Τώρα φαίνονται καλύτεραλοιπον giving myself the benefit of the doubt και λεγοντας οτι σιγουρα δεν εκανα λαθος χιαστή, δίνω τα ανανεωμένα αποτελέσματα μου
α) 2.5 sec
β) 31,25m
γ) 5√29 m/s

Guest 691153
Επισκέπτης
αυτή τη στιγμή δεν είναι συνδεδεμέν. Δεν έχει γράψει κανένα μήνυμα.

16-09-23

14:09
Τώρα φαίνονται καλύτερα, μπράβο !
Guest 691153
Επισκέπτης
αυτή τη στιγμή δεν είναι συνδεδεμέν. Δεν έχει γράψει κανένα μήνυμα.

17-09-23

01:19
απλα μια μικρή επαλήθευση:
Σώμα βάλλεται οριζόντια με ταχύτητα υ0=10m/s. Να βρείτε σε ποια χρονικη στιγμή:
α) Η οριζοντια μετατοπιση του σωματος ειναι διπλασια της κατακορυφης μετατόπισής του.
β) Το μέτρο της ταχύτητας του σωματος είναι διπλάσιο του μέτρου της αρχικής του ταχύτητας
γ) η διεύθυνση της ταχύτητας του σώματος σχηματίζει γωνία 60 μοιρες με την οριζόντια διεύθυνση
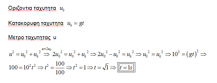
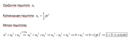
α) 0sec ή 10sec
β) 10√3 sec
γ) 10√3 sec
Σώμα βάλλεται οριζόντια με ταχύτητα υ0=10m/s. Να βρείτε σε ποια χρονικη στιγμή:
α) Η οριζοντια μετατοπιση του σωματος ειναι διπλασια της κατακορυφης μετατόπισής του.
β) Το μέτρο της ταχύτητας του σωματος είναι διπλάσιο του μέτρου της αρχικής του ταχύτητας
γ) η διεύθυνση της ταχύτητας του σώματος σχηματίζει γωνία 60 μοιρες με την οριζόντια διεύθυνση
α) 0sec ή 10sec
β) 10√3 sec
γ) 10√3 sec
ιωαννηs
Επιφανές μέλος
Ο ιωαννηs αυτή τη στιγμή δεν είναι συνδεδεμένος. Είναι 25 ετών, Φοιτητής του τμήματος Πρόγραμμα Ιερατικών Σπουδών και μας γράφει από Πειραιάς (Αττική). Έχει γράψει 15.195 μηνύματα.

17-09-23

03:38
Σώμα βάλλεται οριζόντια με ταχύτητα υ0=10m/s. Να βρείτε σε ποια χρονικη στιγμή:
α) Η οριζοντια μετατοπιση του σωματος ειναι διπλασια της κατακορυφης μετατόπισής του.
β) Το μέτρο της ταχύτητας του σωματος είναι διπλάσιο του μέτρου της αρχικής του ταχύτητας
γ) η διεύθυνση της ταχύτητας του σώματος σχηματίζει γωνία 60 μοιρες με την οριζόντια διεύθυνση
-------------------------------------------------------------------------------------------
Απαντηση
Η βολη είναι επαλληλία ( συνθεση) δυο κινησεων
Της οριζοντιας την οποια εκλαμβανουμε ως ευθυγραμμη ομαλη ( σταθερη ταχυτητα)
Και της κατακορυφης η οποια είναι ομαλα επιταχυνομενη, με επιταχυνση g.
Αυτη ειναι η απαντηση στο Β με μια πρωτη ματια και με τα στοιχεια που δινει
Αν θελουμε ομως να ημαστε δημιουργικοτεροι τοτε το Β ερωτημα απανταται απο κοινου με το Γ ... με το ιδιο αποτελεσμα
Το θεμα ειναι ο δασκαλος τι απαντηση περιμενει?..πεστα και τα δυο να εισαι μεσα
α) Η οριζοντια μετατοπιση του σωματος ειναι διπλασια της κατακορυφης μετατόπισής του.
β) Το μέτρο της ταχύτητας του σωματος είναι διπλάσιο του μέτρου της αρχικής του ταχύτητας
γ) η διεύθυνση της ταχύτητας του σώματος σχηματίζει γωνία 60 μοιρες με την οριζόντια διεύθυνση
-------------------------------------------------------------------------------------------
Απαντηση
Η βολη είναι επαλληλία ( συνθεση) δυο κινησεων
Της οριζοντιας την οποια εκλαμβανουμε ως ευθυγραμμη ομαλη ( σταθερη ταχυτητα)
Και της κατακορυφης η οποια είναι ομαλα επιταχυνομενη, με επιταχυνση g.
Αυτη ειναι η απαντηση στο Β με μια πρωτη ματια και με τα στοιχεια που δινει
Αν θελουμε ομως να ημαστε δημιουργικοτεροι τοτε το Β ερωτημα απανταται απο κοινου με το Γ ... με το ιδιο αποτελεσμα
Το θεμα ειναι ο δασκαλος τι απαντηση περιμενει?..πεστα και τα δυο να εισαι μεσα
Συνημμένα
ιωαννηs
Επιφανές μέλος
Ο ιωαννηs αυτή τη στιγμή δεν είναι συνδεδεμένος. Είναι 25 ετών, Φοιτητής του τμήματος Πρόγραμμα Ιερατικών Σπουδών και μας γράφει από Πειραιάς (Αττική). Έχει γράψει 15.195 μηνύματα.

17-09-23

04:52
παραπανω στο ερωτημα β καναμε λαθος στις πραξεις
ή εγω ασχετα τα κανω ή η ασκηση ειναι γραμμενη στο ποδι
ή εγω ασχετα τα κανω ή η ασκηση ειναι γραμμενη στο ποδι
Guest 691153
Επισκέπτης
αυτή τη στιγμή δεν είναι συνδεδεμέν. Δεν έχει γράψει κανένα μήνυμα.

17-09-23

10:09
Γιανναρε μη μου θυμώσεις αλλά έκανα λάθος στην εκφώνηση είναι 100 m/s όχι 10ή εγω ασχετα τα κανω ή η ασκηση ειναι γραμμενη στο ποδι

Αλλά τις πράξεις τις έκανα με τον ακριβώς ίδιο τρόπο άρα υποθέτω ότι ειμαι οκ
Επισης γιατί έβαλες και συνημιτονο 30 μαζί με τις 60μοιρες
ιωαννηs
Επιφανές μέλος
Ο ιωαννηs αυτή τη στιγμή δεν είναι συνδεδεμένος. Είναι 25 ετών, Φοιτητής του τμήματος Πρόγραμμα Ιερατικών Σπουδών και μας γράφει από Πειραιάς (Αττική). Έχει γράψει 15.195 μηνύματα.

17-09-23

13:01
ε ωραια
Επισης γιατί έβαλες και συνημιτονο 30 μαζί με τις 60μοιρες
ελα ντε,... ετσι για ποικιλια και επειδη φαινεται στο σχημα
Μας ενδιαφερει η πλευρα που ειναι απεναντι απο τις 60 μοιρες οποτε μπορουμε να παρουμε και το ημίτονο -60 αλλα εχει αρνητικο πρόσημο το οποιο και θα αγνοησουμε ..
Γενικα στο νευτωνα βολευει να δουλευουμε με τα συνημίτονα
Επισης γιατί έβαλες και συνημιτονο 30 μαζί με τις 60μοιρες
ελα ντε,... ετσι για ποικιλια και επειδη φαινεται στο σχημα
Μας ενδιαφερει η πλευρα που ειναι απεναντι απο τις 60 μοιρες οποτε μπορουμε να παρουμε και το ημίτονο -60 αλλα εχει αρνητικο πρόσημο το οποιο και θα αγνοησουμε ..
Γενικα στο νευτωνα βολευει να δουλευουμε με τα συνημίτονα
Guest 691153
Επισκέπτης
αυτή τη στιγμή δεν είναι συνδεδεμέν. Δεν έχει γράψει κανένα μήνυμα.

18-09-23

16:28
ειμαι παικταρας, 4/5 ασκησεις σωστες και στην μια ειχα σωστο αποτέλεσμα αλλα λάθος πράξεις, ευχαριστώ πραγματικά όλους που βοηθάνε 

ιωαννηs
Επιφανές μέλος
Ο ιωαννηs αυτή τη στιγμή δεν είναι συνδεδεμένος. Είναι 25 ετών, Φοιτητής του τμήματος Πρόγραμμα Ιερατικών Σπουδών και μας γράφει από Πειραιάς (Αττική). Έχει γράψει 15.195 μηνύματα.

18-09-23

16:38
μπράβο ,μπράβο ,το μεγαλο κερδος ειναι να αυξησεις την αυτοπεποίθηση σουειμαι παικταρας, 4/5 ασκησεις σωστες και στην μια ειχα σωστο αποτέλεσμα αλλα λάθος πράξεις, ευχαριστώ πραγματικά όλους που βοηθάνε![]()
Κοιτα οι λαθος πραξεις στο πανεπιστημιο δεν πολυ μετρανε..ως και καθολου ...στις πανελληνιες ομως ειναι τσεκουρα
Χρήστες Βρείτε παρόμοια
-
Τα παρακάτω 0 μέλη και 3 επισκέπτες διαβάζουν μαζί με εσάς αυτό το θέμα:Tα παρακάτω 119 μέλη διάβασαν αυτό το θέμα:
- JohnOppie
- ggl
- Wonderkid
- bigguy
- Joji
- Magigi
- Panatha mono
- phleidhs
- Marel
- Jesse_
- SoyN
- carnage
- Ilovemycats27
- Hased Babis
- Maynard
- Unboxholics
- iiTzArismaltor_
- Sofos Gerontas
- AnnaRd
- Γατέχων
- Abiogenesis
- Than003
- Startx0
- Lifelong Learner
- Enhypen
- love_to_learn
- Γιώτα Γιαννακού
- suaimhneas
- Νομάρχης
- dsmir
- Leo komm
- Helen06
- velentzakoss
- BillyTheKid
- constansn
- arko
- BatGuin
- Ness
- Ιωάννης1234
- ilovekpop
- Scandal
- aslanidou.
- suuuuiiii
- ειδήμων
- spring day
- Peter Pan13
- hello1234
- Μαριαννα20
- P.Dam.
- flaura
- Mewmaw
- a namaves
- Marcos.Kis
- desperate-ambitious!
- tsiobieman
- Jojo K
- arapakos
- American Economist
- ager
- ister
- το κοριτσι του μαη
- Superhuman
- katapliksi
- Outer Banks
- Cat lady
- _Aggelos123
- Κώστας 7708
- Katerinaki13
- Anxious
- El_
- ssalex
- Angie_b
-
Φορτώνει...
-
Το forum μας χρησιμοποιεί cookies για να βελτιστοποιήσει την εμπειρία σας.
Συνεχίζοντας την περιήγησή σας, συναινείτε στη χρήση cookies στον περιηγητή σας.