Panzerkampfwagen
Διάσημο μέλος
Ο Panzerkampfwagen αυτή τη στιγμή δεν είναι συνδεδεμένος. Είναι Φοιτητής του τμήματος Νομικής ΑΠΘ. Έχει γράψει 3.610 μηνύματα.

23-09-23

17:15
Μού αρέσει ο τρόπος που γράφεις, πάντως θεωρώ τα κείμενά σου θα γινόντουσαν απείρως πιο ευπαρουσίαστα μέσω LaTeX.
ιωαννηs
Επιφανές μέλος
Ο ιωαννηs αυτή τη στιγμή δεν είναι συνδεδεμένος. Είναι 25 ετών, Φοιτητής του τμήματος Πρόγραμμα Ιερατικών Σπουδών και μας γράφει από Πειραιάς (Αττική). Έχει γράψει 15.193 μηνύματα.

23-09-23

19:13
ευχαριστω πολυΜού αρέσει ο τρόπος που γράφεις, πάντως θεωρώ τα κείμενά σου θα γινόντουσαν απείρως πιο ευπαρουσίαστα μέσω LaTeX.
Μπα το λατεχ δεν ειναι για μενα
Εχει πληθωρα κομμαντς και δεν μπορω το ταϊπινκ ,,με ενα δακτυλο γραφω
Κοιτα εδω τι θελει να γραψεις κατι
Το math type ειναι πολυ απλουστερο με 2-3 κλικ
Για μενα το word ειναι ο πιο καλος εντιτορ
Και το math type εχει απειρα φοντ να προσαρμοσω την ομορφια ...αλλα θελει δοκιμες ,,, εγω οτι μου εδωσαν εξ αρχης δουλευω .
Panzerkampfwagen
Διάσημο μέλος
Ο Panzerkampfwagen αυτή τη στιγμή δεν είναι συνδεδεμένος. Είναι Φοιτητής του τμήματος Νομικής ΑΠΘ. Έχει γράψει 3.610 μηνύματα.

23-09-23

19:16
Κοίταξε κάτι δίνεις κάτι παίρνεις.ευχαριστω πολυ
Μπα το λατεχ δεν ειναι για μενα
Εχει πληθωρα κομμαντς και δεν μπορω το ταϊπινκ ,,με ενα δακτυλο γραφω
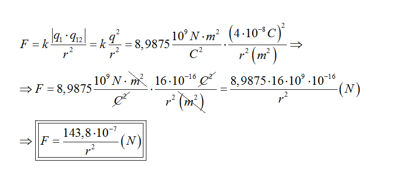
Κοιτα εδω τι θελει να γραψεις κατι
View attachment 122532
Το math type ειναι πολυ απλουστερο με 2-3 κλικ
Για μενα το word ειναι ο πιο καλος εντιτορ
Και το math type εχει απειρα φοντ να προσαρμοσω την ομορφια ...αλλα θελει δοκιμες ,,, εγω οτι μου εδωσαν εξ αρχης δουλευω .
Για εμένα που γράφω 5+ χρόνια με LaTeX (κυρίως λόγω σχολής γιατί από όσο ξέρω μόνο οι μαθηματικοί έχουμε τέτοια καύλα με το λέιτεκ) πλέον μού φαίνονται εμετικά τα έγγραφα που προκύπτουν από μη-LaTeX editors.
Ακόμη και Word όταν χρειάζεται να προετοιμάσω, φροντίζω τα διάστιχα, τα κενά, τις γραμματοσειρές να τις φέρνω όσο πιο κοντά γίνεται στο Τεκ.
Επίσης, αν μπεις στο πνεύμα, δεν χρειάζεται να ανησυχείς για τίτλους, επικεφαλίδες, υποσημειώσεις κλπ. Στα κάνει όλα μόνο του.
Αλλά θέλει δουλειά να φτάσεις εκεί, σίγουρα. Δεν είναι σαν το Word που ό,τι πατάς αυτό γίνεται.
ιωαννηs
Επιφανές μέλος
Ο ιωαννηs αυτή τη στιγμή δεν είναι συνδεδεμένος. Είναι 25 ετών, Φοιτητής του τμήματος Πρόγραμμα Ιερατικών Σπουδών και μας γράφει από Πειραιάς (Αττική). Έχει γράψει 15.193 μηνύματα.

23-09-23

19:23
ε για αυτο σου λεω δεν ειναι για μενα ...ειναι για νοικοκυρεμενα μυαλαΚοίταξε κάτι δίνεις κάτι παίρνεις.
Για εμένα που γράφω 5+ χρόνια με LaTeX (κυρίως λόγω σχολής γιατί από όσο ξέρω μόνο οι μαθηματικοί έχουμε τέτοια καύλα με το λέιτεκ) πλέον μού φαίνονται εμετικά τα έγγραφα που προκύπτουν από μη-LaTeX editors.
Ακόμη και Word όταν χρειάζεται να προετοιμάσω, φροντίζω τα διάστιχα, τα κενά, τις γραμματοσειρές να τις φέρνω όσο πιο κοντά γίνεται στο Τεκ.
Επίσης, αν μπεις στο πνεύμα, δεν χρειάζεται να ανησυχείς για τίτλους, επικεφαλίδες, υποσημειώσεις κλπ. Στα κάνει όλα μόνο του.
Αλλά θέλει δουλειά να φτάσεις εκεί, σίγουρα. Δεν είναι σαν το Word που ό,τι πατάς αυτό γίνεται.
επειτα εγω βλεπω και λυνω ..δεν βαζω χαρτι κατω,,, η λυση στο math type... με το λατεξ δεν γινεται
Guest 691153
Επισκέπτης
αυτή τη στιγμή δεν είναι συνδεδεμέν. Δεν έχει γράψει κανένα μήνυμα.

23-09-23

20:16
Χρήστες Βρείτε παρόμοια
-
Τα παρακάτω 0 μέλη και 5 επισκέπτες διαβάζουν μαζί με εσάς αυτό το θέμα:Tα παρακάτω 119 μέλη διάβασαν αυτό το θέμα:
- JohnOppie
- ggl
- Wonderkid
- bigguy
- Joji
- Magigi
- Panatha mono
- phleidhs
- Marel
- Jesse_
- SoyN
- carnage
- Ilovemycats27
- Hased Babis
- Maynard
- Unboxholics
- iiTzArismaltor_
- Sofos Gerontas
- AnnaRd
- Γατέχων
- Abiogenesis
- Than003
- Startx0
- Lifelong Learner
- Enhypen
- love_to_learn
- Γιώτα Γιαννακού
- suaimhneas
- Νομάρχης
- dsmir
- Leo komm
- Helen06
- velentzakoss
- BillyTheKid
- constansn
- arko
- BatGuin
- Ness
- Ιωάννης1234
- ilovekpop
- Scandal
- aslanidou.
- suuuuiiii
- ειδήμων
- spring day
- Peter Pan13
- hello1234
- Μαριαννα20
- P.Dam.
- flaura
- Mewmaw
- a namaves
- Marcos.Kis
- desperate-ambitious!
- tsiobieman
- Jojo K
- arapakos
- American Economist
- ager
- ister
- το κοριτσι του μαη
- Superhuman
- katapliksi
- Outer Banks
- Cat lady
- _Aggelos123
- Κώστας 7708
- Katerinaki13
- Anxious
- El_
- ssalex
- Angie_b
-
Φορτώνει...