Samael
Τιμώμενο Μέλος
Ο Samael αυτή τη στιγμή δεν είναι συνδεδεμένος. Είναι 26 ετών, Πτυχιούχος του τμήματος Ηλεκτρολόγων & Ηλεκτρονικών Μηχανικών ΠΑΔΑ και μας γράφει από Πειραιάς (Αττική). Έχει γράψει 12.050 μηνύματα.

08-07-24

18:19
Η θεωρία ανίχνευσης είναι ένα όμορφο αντικείμενο που αναπτύχθηκε για τις ανάγκες των ραντάρ κατά τον 2ο παγκόσμιο πόλεμο. Έκτοτε έχει βρει ευρύτατες εφαρμογές σε πολλούς κλάδους όπως στις τηλεπικοινωνίες, στην τηλεπισκόπηση, στην ανίχνευση στοιχειωδών σωματιδίων στην φυσική, στην αναλυτική χημεία, στην ιατρική απεικόνιση, αλλά ακόμα και στην ψυχοφυσική, η οποία με την σειρά της έχει συνεισφέρει μάλιστα στην βελτιστοποίηση αλγόριθμων συμπίεσης εικόνας και ήχου με την ελάχιστη δυνατή όχληση στον άνθρωπο ως προς την ποιότητα.
Ας δούμε ένα παράδειγμα εφαρμογής που αφορά την ανίχνευση της πληροφορίας σε ένα σύστημα πολλαπλών κεραιών, όπως για παράδειγμα στα ρούτερ μας.
Ας δούμε ένα παράδειγμα εφαρμογής που αφορά την ανίχνευση της πληροφορίας σε ένα σύστημα πολλαπλών κεραιών, όπως για παράδειγμα στα ρούτερ μας.
Cade
Πολύ δραστήριο μέλος
Ο Cade αυτή τη στιγμή δεν είναι συνδεδεμένος. Είναι Απόφοιτος λυκείου. Έχει γράψει 871 μηνύματα.

13-07-24

20:33
Μια "όμορφη" και εύκολα κατανοήσιμη, ως προς το ποιοτικό των αποτελεσμάτων, άσκηση στατικής υπερστατικών φορέων. Ζητάμε το διάγραμμα ροπών ενός αμφίπακτου πλαισίου, το οποίο καταπονείται από ένα κατανεμημένο φορτίο και μια συγκεντρωμένη ροπή, όπως στην εικόνα.
Samael
Τιμώμενο Μέλος
Ο Samael αυτή τη στιγμή δεν είναι συνδεδεμένος. Είναι 26 ετών, Πτυχιούχος του τμήματος Ηλεκτρολόγων & Ηλεκτρονικών Μηχανικών ΠΑΔΑ και μας γράφει από Πειραιάς (Αττική). Έχει γράψει 12.050 μηνύματα.

26-07-24

15:00
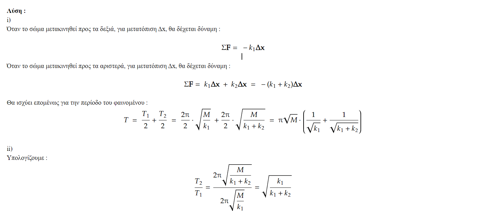
Ας δούμε και ένα παράδειγμα ταλάντωσης με μη σταθερές παράμετρους συστήματος !
Samael
Τιμώμενο Μέλος
Ο Samael αυτή τη στιγμή δεν είναι συνδεδεμένος. Είναι 26 ετών, Πτυχιούχος του τμήματος Ηλεκτρολόγων & Ηλεκτρονικών Μηχανικών ΠΑΔΑ και μας γράφει από Πειραιάς (Αττική). Έχει γράψει 12.050 μηνύματα.

28-07-24

22:56
Παρά το γεγονός οτι η φυσική του λυκείου περιλαμβάνει κυκλώματα, δυστυχώς δεν υπάρχει ο απαιτούμενος χρόνος για την εις βάθος μελέτη τους. Δυστυχώς αυτό έχει ως αποτέλεσμα πολλοί μαθητές να θεωρούν οτι η επιστήμη των κυκλωμάτων περιορίζεται σε ανιαρά προβλήματα που περιλαμβάνουν μόνο αντιστάσεις και υπολογισμούς ρευμάτων και τάσεων χωρίς να υπάρχει κάποια χρήσιμη λειτουργία ή να διαφαίνεται κάποιο ιδιαίτερο νόημα.
Φυσικά αυτό είναι μια στρεβλή και εξαιρετικά λανθασμένη εικόνα της πραγματικότητας καθώς η ηλεκτρονική είναι απο τις πιο νεαρές επιστήμες, που ωστόσο είχε -και έχει- τεράστια επίδραση στην ζωή των ανθρώπων. Σήμερα εταιρίες έχουν φτάσει σε αξία τρισεκατομμυρίων δολλαρίων εξαιτίας της ικανότητας τους να κατασκευάζουν καλά κυκλώματα. Ίσως οι βασικοί φυσικοί νόμοι που τα διέπουν να είναι γνωστοί, αλλά αυτό δεν σημαίνει οτι η τέχνη της δημιουργίας κυκλωμάτων με καλύτερες ιδιότητες έχει κλείσει σαν κεφάλαιο. Κάθε άλλο μάλιστα, συνεχώς οι επιλογές και οι δυνατότητες αυξάνονται, όρεξη και φαντασία να έχει κανείς χρειάζεται μόνο! Είναι εντυπωσιακό λοιπόν το πως φτάσαμε σε τόσο σύντομο χρονικό διάστημα απο τον έλεγχο των ηλεκτρονίων, στο να αυτοματοποιούμε τους υπολογισμούς, κατασκευάζοντας ηλεκτρονικούς υπολογιστές(να'ναι καλά ο Turing),και στο να μιλάμε για πολύπλοκα μοντέλα τεχνητής νοημοσύνης σήμερα που κάνουν όλα αυτά τα θαυμαστά πράγματα. Για την ακρίβεια απο τις πιο σημαντικές, εαν όχι η σημαντικότερη εφεύρεση σε ολόκληρη την ανθρώπινη ιστορία πιθανότατα να ήταν αυτή του τρανζίστορ. Είναι σίγουρα η πιο επιτυχημένη συσκευή που δημιουργήθηκε ποτέ, η οποία κατέστησε τον υπολογισμό και τις επικοινωνίες μεταξύ των ανθρώπων εφικτές.
Τι είναι στην ουσία αυτό το φαινομενικά αθώο τερατάκι όμως ; Σκεφτείτε το σαν έναν σωλήνα νερού ο οποίος ελέγχεται απο μια βαλβίδα. Επιτρέποντας την διέλευση μιας μεγάλης ποσότητας νερού στο σωλήνα είναι δυνατόν με μικρές μεταβολές της βαλβίδας να δημιουργηθούν μεγάλες αυξομειώσεις στην ποσότητα του νερού που ρέει στον σωλήνα. Έτσι πετυχαίνουμε ενίσχυση ! Ακριβώς το ίδιο κάνει και το διπολικό τρανζίστορ επαφής : Μέσω της εφαρμογής μιας τάσεως μεταξύ δύο ακροδεκτών, της βάσης(Β) και του εκπομπού(Ε), είναι σε θέση να προκαλέσει μεταβολές στο μεγάλο ρεύμα που ρέει μεταξύ του συλλέκτη και του εκπομπού. Αυτές οι μεταβολές ρεύματος, μέσω μιας αντίστασης Rc στον συλλέκτη(C), μετατρέπονται σε μεταβολές τάσης. Όπως στην περίπτωση του σωλήνα με το νερό, μεγαλύτερη ροή νερού σημαίνει πως οι ίδιες μεταβολές της βαλβίδας δημιουργούν μεγαλύτερες αυξομειώσεις στην ροή του νερού, έτσι συμβαίνει και στο τρανζίστορ. Οπότε μια παράμετρος gm που ονομάζεται διαγωγιμότητα, και εξαρτάται άμεσα απο την ροή ρεύματος στον συλλέκτη, επηρεάζει την ενίσχυση. Όσο μεγαλύτερο το ρεύμα στον συλλέκτη, άρα και το gm, τόσο μεγαλύτερη η ενίσχυση λοιπόν ! Δυστυχώς όμως, όπως είπαμε είναι ένα φαιμονενικά αθώο στοιχείο, το οποίο είναι τερατάκι καταβάθος... γιατί όσο αυξάνει το ρεύμα στον συλλέκτη του, τόσο τείνει να αλλάξει την συμπεριφορά του, και να μην λειτουργεί πλέον σαν σωλήνας νερού ελεγχόμενος απο μια βαλβίδα. Για να ισχύει η αναλογία, πρέπει να υπάρξει κατάλληλο κύκλωμα πόλωσης που θα το εξαναγκάσει να συμπεριφέρεται με αυτόν τον τρόπο ικανοποιώντας συγκεκριμένες συνθήκες τάσεων μεταξύ των ακροδεκτών του.
Ας δούμε και το απλούστερο προβλήματα εφαρμογής που θα μπορούσε να σκεφτεί κανείς :
Πρόβλημα :
Να σχεδιαστεί ένας απλός ενισχυτής τοπολογίας κοινού εκπομπού, που θα παρέχει κέρδος τάσης Av = 20, και θα έχει αντίσταση εισόδου Rin = 1ΚΩ. Η τάση τροφοδοσίας είναι Vcc = 1.8V ενώ το τρανζίστορ είναι npn και χαρακτηρίζεται απο β = 100, και ανάστροφο ρεύμα κορεσμού Is = 5*10^(-17)A. Επιβεβαιώστε επίσης οτι το τρανζίστορ λειτουργεί πράγματι στην ενεργό περιοχή. Ποιο είναι το μέγιστο κέρδος τάσης που μπορεί να επιτευχθεί ; Τι θα συμβεί εαν η πόλωση υλοποιηθεί με διαιρέτη τάσης ;
Θεωρήστε την θερμική τάση Vτ = 26mV.
Λύση :
Για αντίσταση εισόδου θέλουμε ρεύμα συλλέκτη :
Rin = rπ = β/gm = βVτ/Ic =>
Ic/βVτ = 1/Rin =>
Ic = βVτ/Rin =>
Ic = 100*26mV/1ΚΩ =>
Ic = 2.6mA
Το φορτίο στον συλλέκτη πρέπει να είναι για να επιτευχθεί κέρδος Av = 20 :
|Av| = gmRc =>
Rc = |Av|/gm =>
Rc = VτAv/Ic =>
Rc = 26mV*20/2.6mA =>
Rc = 200Ω
Η τάση της επαφής βάση-εκπομπού θα είναι :
Vbe = Vτ*ln(Ic/Is) =>
Vbe = 0.821V
Η τάση στον συλλέκτη θα είναι :
Vc = Vcc - IcRc =>
Vc = 1.8V - 2.6mA*200Ω =>
Vc = 1.28V
Επομένως η τάση συλλέκτη-βάσης είναι :
Vcb = Vc - Vb =>
Vcb = Vc - Vbe =>
Vcb = 1.28V - 0.821V =>
Vcb = 0.459V > 0
Διαπιστώνουμε οτι το τρανζίστορ είναι πράγματι στην ενεργό περιοχή λοιπόν αφού η επαφή B-C είναι ανάστροφα πολωμένη.
Το μέγιστο κέρδος που μπορεί να επιτευχθεί θα είναι :
Av <= (Vcc - Vbe)/Vτ =>
Av <= (1.8V - 0.821V)/0.026V =>
Av <= 37.65
Για το δίκτυο πόλωσης θεωρούμε έναν διαιρέτη τάσης, για την απεξάρτηση της τάσης της επαφής vbe απο το β.
Σε αυτή την περίπτωση το ρεύμα στην βάση θα είναι :
Ib = Ic/β = 26 μΑ
Άρα θέλουμε :
Vcc/(R1+R2) >= 10Ib , έτσι ώστε να υπάρχει μικρή απόκλιση απο την θεώρηση του διαιρέτη τάσης
&
Vcc*R2/(R1+R2) = Vbe , έτσι ώστε να δημιουργούμε την κατάλληλη τάση στην επαφή Vbe.
Δηλαδή :
R1 + R2 <= 1.8V/(10*26μA) =>
R1 + R2 <= 6.92ΚΩ
Άρα εαν επιλέξουμε R2 = 3KΩ, τότε :
R1 = VccR2/Vbe - R1 =>
R1 = 1.8V*3ΚΩ/0.821V - 3ΚΩ =>
R1 = 3.58ΚΩ
Είναι ξεκάθαρο οτι ικανοποιούν τον αρχικό περιορισμό αλλά η αντίσταση εισόδου τώρα έχει μειωθεί αφού :
Rin = rπ||R1||R2 = 0.62ΚΩ
Φυσικά αυτό είναι μια στρεβλή και εξαιρετικά λανθασμένη εικόνα της πραγματικότητας καθώς η ηλεκτρονική είναι απο τις πιο νεαρές επιστήμες, που ωστόσο είχε -και έχει- τεράστια επίδραση στην ζωή των ανθρώπων. Σήμερα εταιρίες έχουν φτάσει σε αξία τρισεκατομμυρίων δολλαρίων εξαιτίας της ικανότητας τους να κατασκευάζουν καλά κυκλώματα. Ίσως οι βασικοί φυσικοί νόμοι που τα διέπουν να είναι γνωστοί, αλλά αυτό δεν σημαίνει οτι η τέχνη της δημιουργίας κυκλωμάτων με καλύτερες ιδιότητες έχει κλείσει σαν κεφάλαιο. Κάθε άλλο μάλιστα, συνεχώς οι επιλογές και οι δυνατότητες αυξάνονται, όρεξη και φαντασία να έχει κανείς χρειάζεται μόνο! Είναι εντυπωσιακό λοιπόν το πως φτάσαμε σε τόσο σύντομο χρονικό διάστημα απο τον έλεγχο των ηλεκτρονίων, στο να αυτοματοποιούμε τους υπολογισμούς, κατασκευάζοντας ηλεκτρονικούς υπολογιστές(να'ναι καλά ο Turing),και στο να μιλάμε για πολύπλοκα μοντέλα τεχνητής νοημοσύνης σήμερα που κάνουν όλα αυτά τα θαυμαστά πράγματα. Για την ακρίβεια απο τις πιο σημαντικές, εαν όχι η σημαντικότερη εφεύρεση σε ολόκληρη την ανθρώπινη ιστορία πιθανότατα να ήταν αυτή του τρανζίστορ. Είναι σίγουρα η πιο επιτυχημένη συσκευή που δημιουργήθηκε ποτέ, η οποία κατέστησε τον υπολογισμό και τις επικοινωνίες μεταξύ των ανθρώπων εφικτές.
Τι είναι στην ουσία αυτό το φαινομενικά αθώο τερατάκι όμως ; Σκεφτείτε το σαν έναν σωλήνα νερού ο οποίος ελέγχεται απο μια βαλβίδα. Επιτρέποντας την διέλευση μιας μεγάλης ποσότητας νερού στο σωλήνα είναι δυνατόν με μικρές μεταβολές της βαλβίδας να δημιουργηθούν μεγάλες αυξομειώσεις στην ποσότητα του νερού που ρέει στον σωλήνα. Έτσι πετυχαίνουμε ενίσχυση ! Ακριβώς το ίδιο κάνει και το διπολικό τρανζίστορ επαφής : Μέσω της εφαρμογής μιας τάσεως μεταξύ δύο ακροδεκτών, της βάσης(Β) και του εκπομπού(Ε), είναι σε θέση να προκαλέσει μεταβολές στο μεγάλο ρεύμα που ρέει μεταξύ του συλλέκτη και του εκπομπού. Αυτές οι μεταβολές ρεύματος, μέσω μιας αντίστασης Rc στον συλλέκτη(C), μετατρέπονται σε μεταβολές τάσης. Όπως στην περίπτωση του σωλήνα με το νερό, μεγαλύτερη ροή νερού σημαίνει πως οι ίδιες μεταβολές της βαλβίδας δημιουργούν μεγαλύτερες αυξομειώσεις στην ροή του νερού, έτσι συμβαίνει και στο τρανζίστορ. Οπότε μια παράμετρος gm που ονομάζεται διαγωγιμότητα, και εξαρτάται άμεσα απο την ροή ρεύματος στον συλλέκτη, επηρεάζει την ενίσχυση. Όσο μεγαλύτερο το ρεύμα στον συλλέκτη, άρα και το gm, τόσο μεγαλύτερη η ενίσχυση λοιπόν ! Δυστυχώς όμως, όπως είπαμε είναι ένα φαιμονενικά αθώο στοιχείο, το οποίο είναι τερατάκι καταβάθος... γιατί όσο αυξάνει το ρεύμα στον συλλέκτη του, τόσο τείνει να αλλάξει την συμπεριφορά του, και να μην λειτουργεί πλέον σαν σωλήνας νερού ελεγχόμενος απο μια βαλβίδα. Για να ισχύει η αναλογία, πρέπει να υπάρξει κατάλληλο κύκλωμα πόλωσης που θα το εξαναγκάσει να συμπεριφέρεται με αυτόν τον τρόπο ικανοποιώντας συγκεκριμένες συνθήκες τάσεων μεταξύ των ακροδεκτών του.
Ας δούμε και το απλούστερο προβλήματα εφαρμογής που θα μπορούσε να σκεφτεί κανείς :
Πρόβλημα :
Να σχεδιαστεί ένας απλός ενισχυτής τοπολογίας κοινού εκπομπού, που θα παρέχει κέρδος τάσης Av = 20, και θα έχει αντίσταση εισόδου Rin = 1ΚΩ. Η τάση τροφοδοσίας είναι Vcc = 1.8V ενώ το τρανζίστορ είναι npn και χαρακτηρίζεται απο β = 100, και ανάστροφο ρεύμα κορεσμού Is = 5*10^(-17)A. Επιβεβαιώστε επίσης οτι το τρανζίστορ λειτουργεί πράγματι στην ενεργό περιοχή. Ποιο είναι το μέγιστο κέρδος τάσης που μπορεί να επιτευχθεί ; Τι θα συμβεί εαν η πόλωση υλοποιηθεί με διαιρέτη τάσης ;
Θεωρήστε την θερμική τάση Vτ = 26mV.
Λύση :
Για αντίσταση εισόδου θέλουμε ρεύμα συλλέκτη :
Rin = rπ = β/gm = βVτ/Ic =>
Ic/βVτ = 1/Rin =>
Ic = βVτ/Rin =>
Ic = 100*26mV/1ΚΩ =>
Ic = 2.6mA
Το φορτίο στον συλλέκτη πρέπει να είναι για να επιτευχθεί κέρδος Av = 20 :
|Av| = gmRc =>
Rc = |Av|/gm =>
Rc = VτAv/Ic =>
Rc = 26mV*20/2.6mA =>
Rc = 200Ω
Η τάση της επαφής βάση-εκπομπού θα είναι :
Vbe = Vτ*ln(Ic/Is) =>
Vbe = 0.821V
Η τάση στον συλλέκτη θα είναι :
Vc = Vcc - IcRc =>
Vc = 1.8V - 2.6mA*200Ω =>
Vc = 1.28V
Επομένως η τάση συλλέκτη-βάσης είναι :
Vcb = Vc - Vb =>
Vcb = Vc - Vbe =>
Vcb = 1.28V - 0.821V =>
Vcb = 0.459V > 0
Διαπιστώνουμε οτι το τρανζίστορ είναι πράγματι στην ενεργό περιοχή λοιπόν αφού η επαφή B-C είναι ανάστροφα πολωμένη.
Το μέγιστο κέρδος που μπορεί να επιτευχθεί θα είναι :
Av <= (Vcc - Vbe)/Vτ =>
Av <= (1.8V - 0.821V)/0.026V =>
Av <= 37.65
Για το δίκτυο πόλωσης θεωρούμε έναν διαιρέτη τάσης, για την απεξάρτηση της τάσης της επαφής vbe απο το β.
Σε αυτή την περίπτωση το ρεύμα στην βάση θα είναι :
Ib = Ic/β = 26 μΑ
Άρα θέλουμε :
Vcc/(R1+R2) >= 10Ib , έτσι ώστε να υπάρχει μικρή απόκλιση απο την θεώρηση του διαιρέτη τάσης
&
Vcc*R2/(R1+R2) = Vbe , έτσι ώστε να δημιουργούμε την κατάλληλη τάση στην επαφή Vbe.
Δηλαδή :
R1 + R2 <= 1.8V/(10*26μA) =>
R1 + R2 <= 6.92ΚΩ
Άρα εαν επιλέξουμε R2 = 3KΩ, τότε :
R1 = VccR2/Vbe - R1 =>
R1 = 1.8V*3ΚΩ/0.821V - 3ΚΩ =>
R1 = 3.58ΚΩ
Είναι ξεκάθαρο οτι ικανοποιούν τον αρχικό περιορισμό αλλά η αντίσταση εισόδου τώρα έχει μειωθεί αφού :
Rin = rπ||R1||R2 = 0.62ΚΩ
Guest 691153
Επισκέπτης
αυτή τη στιγμή δεν είναι συνδεδεμέν. Δεν έχει γράψει κανένα μήνυμα.

30-07-24

23:39
Βλεπω προχωρημενα μαθηματικά και γουστάρω τρελά... μετά βλέπω αντιστάσεις και ηλεκτρισμό και μου μελατώνει..
δια που εισια με τη φυσική σου, στειλε εστω ενα γραμμα
δια που εισια με τη φυσική σου, στειλε εστω ενα γραμμα

Samael
Τιμώμενο Μέλος
Ο Samael αυτή τη στιγμή δεν είναι συνδεδεμένος. Είναι 26 ετών, Πτυχιούχος του τμήματος Ηλεκτρολόγων & Ηλεκτρονικών Μηχανικών ΠΑΔΑ και μας γράφει από Πειραιάς (Αττική). Έχει γράψει 12.050 μηνύματα.

30-07-24

23:54
Τα μαθηματικά είναι καλά, αλλά δεν αρκούν μόνο αυτά !Βλεπω προχωρημενα μαθηματικά και γουστάρω τρελά... μετά βλέπω αντιστάσεις και ηλεκτρισμό και μου μελατώνει..
δια που εισια με τη φυσική σου, στειλε εστω ενα γραμμα![]()
Guest 691153
Επισκέπτης
αυτή τη στιγμή δεν είναι συνδεδεμέν. Δεν έχει γράψει κανένα μήνυμα.

30-07-24

23:58
Tο ξερω... Αλλα τα αγαπημενα μου μαθηματα εδω περα ειναι μεμπτά και μη ευπρόσδεκτα, οποτε κανω stalk οσο μπορώΤα μαθηματικά είναι καλά, αλλά δεν αρκούν μόνο αυτά !

juanium
Εκκολαπτόμενο μέλος
Ο Αλέξανδρος αυτή τη στιγμή δεν είναι συνδεδεμένος. Είναι 18 ετών, Φοιτητής του τμήματος Πληροφορικής Πειραιά και μας γράφει από Χολαργός (Αττική). Έχει γράψει 384 μηνύματα.

31-07-24

00:38
χαχαχα ναι και εγώ το κάνω αυτό, έχει πλάκα. Νιώθω σαν να βλέπω trailer του μέλλοντός μουTο ξερω... Αλλα τα αγαπημενα μου μαθηματα εδω περα ειναι μεμπτά και μη ευπρόσδεκτα, οποτε κανω stalk οσο μπορώ![]()
Guest 691153
Επισκέπτης
αυτή τη στιγμή δεν είναι συνδεδεμέν. Δεν έχει γράψει κανένα μήνυμα.

31-07-24

00:42
Ειχε προσπαθήσει ο φίλος μου ο γίαννης εδω να κανει δυο ασκήσεις χημείας και έφαγε τρομερό μπόυλιγκ.. Ξέρω οτι αμα βαλω βιολογία θα με στείλουνε στο εκτελεστικό απόσπασμαχαχαχα ναι και εγώ το κάνω αυτό, έχει πλάκα. Νιώθω σαν να βλέπω trailer του μέλλοντός μου

οπότε σας αφήνω εσάς συναδελφους να απολάυσετε τις ζωές σας με τα μαθηματικά, και θα καθομα ιστη γωνια και θα σας ενθαρρυνω με τα λογια μου.,
juanium
Εκκολαπτόμενο μέλος
Ο Αλέξανδρος αυτή τη στιγμή δεν είναι συνδεδεμένος. Είναι 18 ετών, Φοιτητής του τμήματος Πληροφορικής Πειραιά και μας γράφει από Χολαργός (Αττική). Έχει γράψει 384 μηνύματα.

31-07-24

00:48
Αυτό είναι ειλικρινά έργο τέχνης. Ο αναποφάσιστος εγκέφαλος μου δεν ξέρει τι θέλει να σπουδάσει ακόμα... Άντε να δούμε πως θα πάνε οι δοκιμαστικές διαλέξεις που λέγαμε Σαμαελ, μπας και βοηθήσουν να ξεκαθαριστούν τα πράγματα. Να σε προλάβω, έχω ήδη φροντίσει το βήμα του "κοιτάμε τον οδηγό και πρόγραμμα σπουδών της σχολής", ακόμα ανάκατα είναι. Δεν θέλω να ανοίξω ολόκληρο θέμα τώρα για αυτή την κουβέντα. Μένοντας στα πλαίσια του θέματος, συγχαρητήρια που μας παρουσιάζεις τέτοια προβληματάκια, παρόλο που μερικοί είμαστε ακόμα μικρούλικαΠαρά το γεγονός οτι η φυσική του λυκείου περιλαμβάνει κυκλώματα, δυστυχώς δεν υπάρχει ο απαιτούμενος χρόνος για την εις βάθος μελέτη τους. Δυστυχώς αυτό έχει ως αποτέλεσμα πολλοί μαθητές να θεωρούν οτι η επιστήμη των κυκλωμάτων περιορίζεται σε ανιαρά προβλήματα που περιλαμβάνουν μόνο αντιστάσεις και υπολογισμούς ρευμάτων και τάσεων χωρίς να υπάρχει κάποια χρήσιμη λειτουργία ή να διαφαίνεται κάποιο ιδιαίτερο νόημα.
Φυσικά αυτό είναι μια στρεβλή και εξαιρετικά λανθασμένη εικόνα της πραγματικότητας καθώς η ηλεκτρονική είναι απο τις πιο νεαρές επιστήμες, που ωστόσο είχε -και έχει- τεράστια επίδραση στην ζωή των ανθρώπων. Σήμερα εταιρίες έχουν φτάσει σε αξία τρισεκατομμυρίων δολλαρίων εξαιτίας της ικανότητας τους να κατασκευάζουν καλά κυκλώματα. Ίσως οι βασικοί φυσικοί νόμοι που τα διέπουν να είναι γνωστοί, αλλά αυτό δεν σημαίνει οτι η τέχνη της δημιουργίας κυκλωμάτων με καλύτερες ιδιότητες έχει κλείσει σαν κεφάλαιο. Κάθε άλλο μάλιστα, συνεχώς οι επιλογές και οι δυνατότητες αυξάνονται, όρεξη και φαντασία να έχει κανείς χρειάζεται μόνο! Είναι εντυπωσιακό λοιπόν το πως φτάσαμε σε τόσο σύντομο χρονικό διάστημα απο τον έλεγχο των ηλεκτρονίων, στο να αυτοματοποιούμε τους υπολογισμούς, κατασκευάζοντας ηλεκτρονικούς υπολογιστές(να'ναι καλά ο Turing),και στο να μιλάμε για πολύπλοκα μοντέλα τεχνητής νοημοσύνης σήμερα που κάνουν όλα αυτά τα θαυμαστά πράγματα. Για την ακρίβεια απο τις πιο σημαντικές, εαν όχι η σημαντικότερη εφεύρεση σε ολόκληρη την ανθρώπινη ιστορία πιθανότατα να ήταν αυτή του τρανζίστορ. Είναι σίγουρα η πιο επιτυχημένη συσκευή που δημιουργήθηκε ποτέ, η οποία κατέστησε τον υπολογισμό και τις επικοινωνίες μεταξύ των ανθρώπων εφικτές.
Τι είναι στην ουσία αυτό το φαινομενικά αθώο τερατάκι όμως ; Σκεφτείτε το σαν έναν σωλήνα νερού ο οποίος ελέγχεται απο μια βαλβίδα. Επιτρέποντας την διέλευση μιας μεγάλης ποσότητας νερού στο σωλήνα είναι δυνατόν με μικρές μεταβολές της βαλβίδας να δημιουργηθούν μεγάλες αυξομειώσεις στην ποσότητα του νερού που ρέει στον σωλήνα. Έτσι πετυχαίνουμε ενίσχυση ! Ακριβώς το ίδιο κάνει και το διπολικό τρανζίστορ επαφής : Μέσω της εφαρμογής μιας τάσεως μεταξύ δύο ακροδεκτών, της βάσης(Β) και του εκπομπού(Ε), είναι σε θέση να προκαλέσει μεταβολές στο μεγάλο ρεύμα που ρέει μεταξύ του συλλέκτη και του εκπομπού. Αυτές οι μεταβολές ρεύματος, μέσω μιας αντίστασης Rc στον συλλέκτη(C), μετατρέπονται σε μεταβολές τάσης. Όπως στην περίπτωση του σωλήνα με το νερό, μεγαλύτερη ροή νερού σημαίνει πως οι ίδιες μεταβολές της βαλβίδας δημιουργούν μεγαλύτερες αυξομειώσεις στην ροή του νερού, έτσι συμβαίνει και στο τρανζίστορ. Οπότε μια παράμετρος gm που ονομάζεται διαγωγιμότητα, και εξαρτάται άμεσα απο την ροή ρεύματος στον συλλέκτη, επηρεάζει την ενίσχυση. Όσο μεγαλύτερο το ρεύμα στον συλλέκτη, άρα και το gm, τόσο μεγαλύτερη η ενίσχυση λοιπόν ! Δυστυχώς όμως, όπως είπαμε είναι ένα φαιμονενικά αθώο στοιχείο, το οποίο είναι τερατάκι καταβάθος... γιατί όσο αυξάνει το ρεύμα στον συλλέκτη του, τόσο τείνει να αλλάξει την συμπεριφορά του, και να μην λειτουργεί πλέον σαν σωλήνας νερού ελεγχόμενος απο μια βαλβίδα. Για να ισχύει η αναλογία, πρέπει να υπάρξει κατάλληλο κύκλωμα πόλωσης που θα το εξαναγκάσει να συμπεριφέρεται με αυτόν τον τρόπο ικανοποιώντας συγκεκριμένες συνθήκες τάσεων μεταξύ των ακροδεκτών του.
Ας δούμε και το απλούστερο προβλήματα εφαρμογής που θα μπορούσε να σκεφτεί κανείς :
Πρόβλημα :
Να σχεδιαστεί ένας απλός ενισχυτής τοπολογίας κοινού εκπομπού, που θα παρέχει κέρδος τάσης Av = 20, και θα έχει αντίσταση εισόδου Rin = 1ΚΩ. Η τάση τροφοδοσίας είναι Vcc = 1.8V ενώ το τρανζίστορ είναι npn και χαρακτηρίζεται απο β = 100, και ανάστροφο ρεύμα κορεσμού Is = 5*10^(-17)A. Επιβεβαιώστε επίσης οτι το τρανζίστορ λειτουργεί πράγματι στην ενεργό περιοχή. Ποιο είναι το μέγιστο κέρδος τάσης που μπορεί να επιτευχθεί ; Τι θα συμβεί εαν η πόλωση υλοποιηθεί με διαιρέτη τάσης ;
Θεωρήστε την θερμική τάση Vτ = 26mV.
View attachment 135907
Λύση :
Για αντίσταση εισόδου θέλουμε ρεύμα συλλέκτη :
Rin = rπ = β/gm = βVτ/Ic =>
Ic/βVτ = 1/Rin =>
Ic = βVτ/Rin =>
Ic = 100*26mV/1ΚΩ =>
Ic = 2.6mA
Το φορτίο στον συλλέκτη πρέπει να είναι για να επιτευχθεί κέρδος Av = 20 :
|Av| = gmRc =>
Rc = |Av|/gm =>
Rc = VτAv/Ic =>
Rc = 26mV*20/2.6mA =>
Rc = 200Ω
Η τάση της επαφής βάση-εκπομπού θα είναι :
Vbe = Vτ*ln(Ic/Is) =>
Vbe = 0.821V
Η τάση στον συλλέκτη θα είναι :
Vc = Vcc - IcRc =>
Vc = 1.8V - 2.6mA*200Ω =>
Vc = 1.28V
Επομένως η τάση συλλέκτη-βάσης είναι :
Vcb = Vc - Vb =>
Vcb = Vc - Vbe =>
Vcb = 1.28V - 0.821V =>
Vcb = 0.459V > 0
Διαπιστώνουμε οτι το τρανζίστορ είναι πράγματι στην ενεργό περιοχή λοιπόν αφού η επαφή B-C είναι ανάστροφα πολωμένη.
Το μέγιστο κέρδος που μπορεί να επιτευχθεί θα είναι :
Av <= (Vcc - Vbe)/Vτ =>
Av <= (1.8V - 0.821V)/0.026V =>
Av <= 37.65
Για το δίκτυο πόλωσης θεωρούμε έναν διαιρέτη τάσης, για την απεξάρτηση της τάσης της επαφής vbe απο το β.
Σε αυτή την περίπτωση το ρεύμα στην βάση θα είναι :
Ib = Ic/β = 26 μΑ
Άρα θέλουμε :
Vcc/(R1+R2) >= 10Ib , έτσι ώστε να υπάρχει μικρή απόκλιση απο την θεώρηση του διαιρέτη τάσης
&
Vcc*R2/(R1+R2) = Vbe , έτσι ώστε να δημιουργούμε την κατάλληλη τάση στην επαφή Vbe.
Δηλαδή :
R1 + R2 <= 1.8V/(10*26μA) =>
R1 + R2 <= 6.92ΚΩ
Άρα εαν επιλέξουμε R2 = 3KΩ, τότε :
R1 = VccR2/Vbe - R1 =>
R1 = 1.8V*3ΚΩ/0.821V - 3ΚΩ =>
R1 = 3.58ΚΩ
Είναι ξεκάθαρο οτι ικανοποιούν τον αρχικό περιορισμό αλλά η αντίσταση εισόδου τώρα έχει μειωθεί αφού :
Rin = rπ||R1||R2 = 0.62ΚΩ
Samael
Τιμώμενο Μέλος
Ο Samael αυτή τη στιγμή δεν είναι συνδεδεμένος. Είναι 26 ετών, Πτυχιούχος του τμήματος Ηλεκτρολόγων & Ηλεκτρονικών Μηχανικών ΠΑΔΑ και μας γράφει από Πειραιάς (Αττική). Έχει γράψει 12.050 μηνύματα.

31-07-24

01:04
Σε αυτή την φάση, ο μόνος αξιόπιστος οδηγός για την επιλογή σου θα είναι ότι σου κάνει περισσότερο "κλίκ" βάσει των προγραμμάτων σπουδών + το πως φαντάζεσαι τον εαυτό σου αφού τελειώσεις την όποια σχολή. Πάντως, τα καλά νέα είναι πως οτι και να επιλέξεις, εαν επενδύσεις τον αναγκαίο χρόνο, θα είναι εξαιρετικά ενδιαφέρον, οπότε έξω δεν μπορείς να πέσεις και να θες !Αυτό είναι ειλικρινά έργο τέχνης. Ο αναποφάσιστος εγκέφαλος μου δεν ξέρει τι θέλει να σπουδάσει ακόμα... Άντε να δούμε πως θα πάνε οι δοκιμαστικές διαλέξεις που λέγαμε Σαμαελ, μπας και βοηθήσουν να ξεκαθαριστούν τα πράγματα. Να σε προλάβω, έχω ήδη φροντίσει το βήμα του "κοιτάμε τον οδηγό και πρόγραμμα σπουδών της σχολής", ακόμα ανάκατα είναι. Δεν θέλω να ανοίξω ολόκληρο θέμα τώρα για αυτή την κουβέντα. Μένοντας στα πλαίσια του θέματος, συγχαρητήρια που μας παρουσιάζεις τέτοια προβληματάκια, παρόλο που μερικοί είμαστε ακόμα μικρούλικα
Ευελπιστώ και εύχομαι το παρών θέμα να σε έχει πείσει για την ισχύ του ισχυρισμού μου, και φυσικά σε ευχαριστώ θερμά για τα καλά σου λόγια ! Χαίρομαι ιδιαίτερα εαν αυτά τα προβλήματάκια εξάπτουν την φαντασία και την περιέργεια σας.
juanium
Εκκολαπτόμενο μέλος
Ο Αλέξανδρος αυτή τη στιγμή δεν είναι συνδεδεμένος. Είναι 18 ετών, Φοιτητής του τμήματος Πληροφορικής Πειραιά και μας γράφει από Χολαργός (Αττική). Έχει γράψει 384 μηνύματα.

31-07-24

01:07
Να είσαι καλά!Σε αυτή την φάση, ο μόνος αξιόπιστος οδηγός για την επιλογή σου θα είναι ότι σου κάνει περισσότερο "κλίκ" βάσει των προγραμμάτων σπουδών + το πως φαντάζεσαι τον εαυτό σου αφού τελειώσεις την όποια σχολή. Πάντως, τα καλά νέα είναι πως οτι και να επιλέξεις, εαν επενδύσεις τον αναγκαίο χρόνο, θα είναι εξαιρετικά ενδιαφέρον, οπότε έξω δεν μπορείς να πέσεις και να θες !
Ευελπιστώ και εύχομαι το παρών θέμα να σε έχει πείσει για την ισχύ του ισχυρισμού μου, και φυσικά σε ευχαριστώ θερμά για τα καλά σου λόγια ! Χαίρομαι ιδιαίτερα εαν αυτά τα προβλήματάκια εξάπτουν την φαντασία και την περιέργεια σας.
Samael
Τιμώμενο Μέλος
Ο Samael αυτή τη στιγμή δεν είναι συνδεδεμένος. Είναι 26 ετών, Πτυχιούχος του τμήματος Ηλεκτρολόγων & Ηλεκτρονικών Μηχανικών ΠΑΔΑ και μας γράφει από Πειραιάς (Αττική). Έχει γράψει 12.050 μηνύματα.

08-08-24

22:39
Ας δούμε ένα πιο ρεαλιστικό πρόβλημα αντί για ράβδους να τρέχουν πάνω σε κυκλώματα, στο οποίο οι φυσικές διαστάσεις του κυκλώματος όχι μόνο δεν είναι αμελητέες αλλά είναι το βασικό ζητούμενο.
Cade
Πολύ δραστήριο μέλος
Ο Cade αυτή τη στιγμή δεν είναι συνδεδεμένος. Είναι Απόφοιτος λυκείου. Έχει γράψει 871 μηνύματα.

11-08-24

20:48
Ας δούμε πώς η μεταβολή της θερμοκρασίας επηρεάζει τις κατασκευές όσον αφορά τις μετακινήσεις που προκαλεί.
Παραθέτω ένα παράδειγμα υπολογισμού της οριζόντιας μετατόπισης σε ένα αμφιέρειστο πλαίσιο:
Παραθέτω ένα παράδειγμα υπολογισμού της οριζόντιας μετατόπισης σε ένα αμφιέρειστο πλαίσιο:
ιωαννηs
Επιφανές μέλος
Ο ιωαννηs αυτή τη στιγμή δεν είναι συνδεδεμένος. Είναι 25 ετών, Φοιτητής του τμήματος Πρόγραμμα Ιερατικών Σπουδών και μας γράφει από Πειραιάς (Αττική). Έχει γράψει 15.193 μηνύματα.

12-08-24

07:55
Ωραια πραματα και ας μην καταλαβαινω τιποτα... εκεινο το αμφιέρειστο πλαισιο τι ειναι?Ας δούμε πώς η μεταβολή της θερμοκρασίας επηρεάζει τις κατασκευές όσον αφορά τις μετακινήσεις που προκαλεί.
Παραθέτω ένα παράδειγμα υπολογισμού της οριζόντιας μετατόπισης σε ένα αμφιέρειστο πλαίσιο:
Δηλαδη τωρα αυτο θα μεγαλωσει 1,5 εκατοστο ..ωχ την βαψαμε πανε τα πλακακια σπασανε.
Μπραβω... εξαιρετικες προβλεψεις.
Εδω παιζει μπαλα ο μηχανικος και οχι ο καλος μαστορας που μαγευει τις βιδες.
Cade
Πολύ δραστήριο μέλος
Ο Cade αυτή τη στιγμή δεν είναι συνδεδεμένος. Είναι Απόφοιτος λυκείου. Έχει γράψει 871 μηνύματα.

12-08-24

09:51
Με τον όρο αμφιέρειστο εννοούμε στήριξη και στις 2 πλευρές με κύλιση (κατακόρυφη δέσμευση) και άρθρωση (οριζόντια και κατακόρυφη δέσμευση μετακίνησης). Την εικόνα του πλαισίου μπορείς να τη φανταστείς σε 3d σαν ενα υποστύλωμα, το οποίο ενώνεται με μια δοκό σε γωνία 90°. Σκέψου τώρα η αρχική θερμοκρασία να είναι 30°C, σπίτι να ανοίγεις κλιματιστικό στους 20°C και έξω να έχει καύσωνα 40°C. Η διαφορά της θερμοκρασίας στην άνω και κάτω ίνα της δοκού προκαλεί κάμψη και πολλές φορές είναι σημαντική.Ωραια πραματα και ας μην καταλαβαινω τιποτα... εκεινο το αμφιέρειστο πλαισιο τι ειναι?
Δηλαδη τωρα αυτο θα μεγαλωσει 1,5 εκατοστο ..ωχ την βαψαμε πανε τα πλακακια σπασανε.
Μπραβω... εξαιρετικες προβλεψεις.
Εδω παιζει μπαλα ο μηχανικος και οχι ο καλος μαστορας που μαγευει τις βιδες.
Σημείωση:
1) Η μετακίνηση που βρήκαμε στο παραπάνω μοντέλο είναι μια "καλή" εκτίμηση βασισμένη σε συγκεκριμένες απλοποιητικές παραδοχές.
2) Αν το πλαίσιο έχει περισσότερες στηρίξεις το πρόβλημα γίνεται υπερστατικό και είναι λίγο πιο συνθετο, ίσως ανεβάσω ένα τις επόμενες μέρες.
Cade
Πολύ δραστήριο μέλος
Ο Cade αυτή τη στιγμή δεν είναι συνδεδεμένος. Είναι Απόφοιτος λυκείου. Έχει γράψει 871 μηνύματα.

20-08-24

18:53
Μια άσκηση φυσικής:
Όχημα μαζας M κινείται χωρίς τριβές σε οριζόντιο δάπεδο, και φέρει στο εσωτερικό του δύο μαζες m1, m2, οι οποίες συνδέονται μεταξύ τους με ελατήριο σταθεράς s και η κάθε μία ξεχωριστά με νήμα μήκους L στερεωμένο στην οροφή του οχήματος.
Όχημα μαζας M κινείται χωρίς τριβές σε οριζόντιο δάπεδο, και φέρει στο εσωτερικό του δύο μαζες m1, m2, οι οποίες συνδέονται μεταξύ τους με ελατήριο σταθεράς s και η κάθε μία ξεχωριστά με νήμα μήκους L στερεωμένο στην οροφή του οχήματος.
Cade
Πολύ δραστήριο μέλος
Ο Cade αυτή τη στιγμή δεν είναι συνδεδεμένος. Είναι Απόφοιτος λυκείου. Έχει γράψει 871 μηνύματα.

22-08-24

13:19
Εάν μετρήσουμε τις απομακρύνσεις των μαζών από τις αρχικές τους θέσεις (αδρανειακά σημεία αναφοράς), σύμφωνα με τον 2ο νόμο του Νewton παίρνουμε:
Ενδιαφέρον θα είχε η αναζήτηση κανονικών τρόπων ταλάντωσης των σωμάτων, με στόχο τον προσδιορισμό των κανονικών συχνοτήτων και εν τέλει των κανονικών συντεταγμένων, μέσω των οποίων επιτυγχάνεται η αποσύζευξη των διαφορικών εξισώσεων.
Για λόγους απλούστευσης των αλγεβρικών πράξεων μπορεί να θεωρηθεί: m1=m2=M=m και ωο^2 = s/m = g/L
Ενδιαφέρον θα είχε η αναζήτηση κανονικών τρόπων ταλάντωσης των σωμάτων, με στόχο τον προσδιορισμό των κανονικών συχνοτήτων και εν τέλει των κανονικών συντεταγμένων, μέσω των οποίων επιτυγχάνεται η αποσύζευξη των διαφορικών εξισώσεων.
Για λόγους απλούστευσης των αλγεβρικών πράξεων μπορεί να θεωρηθεί: m1=m2=M=m και ωο^2 = s/m = g/L
Samael
Τιμώμενο Μέλος
Ο Samael αυτή τη στιγμή δεν είναι συνδεδεμένος. Είναι 26 ετών, Πτυχιούχος του τμήματος Ηλεκτρολόγων & Ηλεκτρονικών Μηχανικών ΠΑΔΑ και μας γράφει από Πειραιάς (Αττική). Έχει γράψει 12.050 μηνύματα.

11-11-24

13:43
Ο Gauss είχε αναφέρει πως τα μαθηματικά είναι η βασίλισσα των επιστημών, και η βασίλισσα των μαθηματικών είναι η θεωρία αριθμών. Πραγματικά είναι εντυπωσιακό το πόσα προβλήματα, τόσο θεωρητικά όσο και πρακτικά, εν τέλει καθορίζονται άμεσα απο τις ιδιότητες των ίδιων των αριθμών.
Πρόβλημα :
Έστω οτι έχουμε 100 πόρτες σε ένα κτίριο οι οποίες αρχικά είναι όλες κλειστές.
Ένας επιστάτης περνάει κάθε φορά και αλλάζει την κατάσταση μιας πόρτας(δηλαδή εαν ήταν κλειστή την ανοίγει και αντίστροφα) με τον εξής τρόπο :
Την πρώτη φορά ανοίγει τις πόρτες ανά μια(οπότε ανοίγει τις πόρτες 1,2,3...).
Την δεύτερη φορά ανοίγει κάθε δεύτερη πόρτα(οπότε ανοίγει τις πόρτες 2,4,6...).
Την τρίτη φορά ανοίγει κάθε τρίτη πόρτα(ανοίγει τις πόρτες με αριθμό 3,6,9,...).
κ.ο.κ.
Πόσες πόρτες θα έχουν μείνει ανοιχτές την 100η φορά που θα έχει περάσει απο όλες τις πόρτες ;
Πρόβλημα :
Έστω οτι έχουμε 100 πόρτες σε ένα κτίριο οι οποίες αρχικά είναι όλες κλειστές.
Ένας επιστάτης περνάει κάθε φορά και αλλάζει την κατάσταση μιας πόρτας(δηλαδή εαν ήταν κλειστή την ανοίγει και αντίστροφα) με τον εξής τρόπο :
Την πρώτη φορά ανοίγει τις πόρτες ανά μια(οπότε ανοίγει τις πόρτες 1,2,3...).
Την δεύτερη φορά ανοίγει κάθε δεύτερη πόρτα(οπότε ανοίγει τις πόρτες 2,4,6...).
Την τρίτη φορά ανοίγει κάθε τρίτη πόρτα(ανοίγει τις πόρτες με αριθμό 3,6,9,...).
κ.ο.κ.
Πόσες πόρτες θα έχουν μείνει ανοιχτές την 100η φορά που θα έχει περάσει απο όλες τις πόρτες ;
Χρήστες Βρείτε παρόμοια
-
Τα παρακάτω 0 μέλη και 1 επισκέπτες διαβάζουν μαζί με εσάς αυτό το θέμα:Tα παρακάτω 277 μέλη διάβασαν αυτό το θέμα:
- ether--net
- Hased Babis
- GNick06
- Marildrea
- globglogabgalab
- Georgiaaa_
- Bonaparte
- Ilias__
- Kabamaru Hayate
- panosalex7
- eukleidhs1821
- SlimShady
- jYanniss
- Drscientist
- Corfu kitty
- bak07
- Kate1914
- aris65
- jellojina
- Unboxholics
- sakplat
- Chrisphys
- hihat1
- bigguy
- kelyphos
- love_to_learn
- tsiobieman
- Wonderkid
- Tolis211
- suaimhneas
- Indecisive2
- madness83828
- bibliofagos
- Hecticism
- ggl
- panosT436
- rseven
- Debugging_Demon
- andromaxh07
- Scandal
- georgetherrr
- antonis97
- BatGuin
- thesmilingchild
- iiTzArismaltor_
- Μήτσος10
- Orfano
- charmander
- eirinipap
- exotic xo
- Giorgosvr
- Qwerty 0
- Than003
- angela_k
- Jomo
- Joji
- kost28
- redpointer
- Albert.123
- Leo komm
- P.Dam.
- Steliosgkougkou
- chjan
- Evangeloz
- wmaria
- Maynard
- χημεια4λαιφ
- donut_daddy
- marikakitsou16
- physicscrazy
- Lia 2006
- chester20080
- panaman
- Msp1
- Sotis
- mirara
- melver
- grad778
- nickd
- V@Per
- ssalex
- catlover033
- carnage
- Μιχαήλ
- vas2017
- beatrixx
- phleidhs
- gegeorgiou90
- Dr. Gl. Luminous
- agg41
- thepigod762
- Helen06
- math2arch
- MrDragonboy
- chrismpd
- bill09876
- Paragontas7000
- ikigai
- Marel
- soleilst
- Startx0
- marilenaaa
- EllieKal
- gzois
- EFAKIT
- Φινεύς
- estrela
- Lifelong Learner
- Annie
- Panatha mono
- Mitsaras23
- Isa
- BiteTheDust
- Chris180
- aplalew
- user111
- Chemwizard
- giannhs2001
- Mukumbura
- MR WHITE
- SIAmia
- supertom4000
- J.Cameron
- persour
- Totreno
- sotirislk
- Specon
- Mariosm.
- Claire05
- Giorgos216
- Jimpower
- shezza94
- kwstasloul
- kan3nas
- dmav
- Obi-Wan Kenobi
- Nancysmilkyway
- Νομάρχης
- ogigidi
- ένας τυχαίος
- Hmmytheos
- constansn
- cannot_log_in
- hello1234
- ilal1200
- Alessandra Eliza
- Giannis327
- phoni
- aggorf
- Nala
- Frozensun
- xrisamikol
- Ilovemycats27
- PanosApo
- nik64
- angies
- dimitris_eee
- mike19
- angeloskar
- eltqt
- CrusaderKingsIII
- flaura
- elevag
- Patroklos
- Anonymous1
- IcedBreaje
- kiyoshi
- nicole1982
- Lost_In_Life
- Γατέχων
- AggelikiGr
- Nansytsg
- Lathy
- k4t
- Maria_Xagorari
- suuuuiiii
- SoyN
- thecrazycretan
- Jesse_
- A350
- Ιωάννης1234
- george777
- Abiogenesis
- Enhypen
- Mary06
- arko
- Giorgkalo
- velentzakoss
- Giota_pel
- AnnaRd
- Νικολινα
- NikNik1995
- BillyTheKid
- Nick_nt
- a namaves
- xristarac
- ilovekpop
- GeorgePap2003
- Sofos Gerontas
- topg
- Γιώτα Γιαννακού
- plantbee
- Peter Pan13
- Ness
- MrDna
- Jojo K
- Mewmaw
-
Φορτώνει...
-
Το forum μας χρησιμοποιεί cookies για να βελτιστοποιήσει την εμπειρία σας.
Συνεχίζοντας την περιήγησή σας, συναινείτε στη χρήση cookies στον περιηγητή σας.