Dias
Επιφανές μέλος
Ο Dias αυτή τη στιγμή δεν είναι συνδεδεμένος. Είναι Καθηγητής κι έχει σπουδάσει στο τμήμα Φυσικής ΕΚΠΑ (Αθήνα). Έχει γράψει 10.663 μηνύματα.

19-04-24

11:05
Ενημερωμένο ευρετήριο...
A’ ΛΥΚΕΙΟΥ
Β’ ΛΥΚΕΙΟΥ ΓΕΝΙΚΗΣ ΠΑΙΔΕΙΑΣ
Β’ ΛΥΚΕΙΟΥ ΠΡΟΣΑΝΑΤΟΛΙΣΜΟΥ
Γ’ ΛΥΚΕΙΟΥ ΠΡΟΣΑΝΑΤΟΛΙΣΜΟΥ
A’ ΛΥΚΕΙΟΥ
Ευθύγραμμες Κινήσεις | 257 003 465 437 290 339 351 715 733 744 |
Ισορροπία υλ. Σημείου | 612 628 718 737 |
Νόμοι Νewton | 204 368 632 685 689 709 730 |
Τριβή | 384 378 504 577 507 671 678 692 698 723 759 |
Ενέργεια | 552 648 667 695 701 727 |
Β’ ΛΥΚΕΙΟΥ ΓΕΝΙΚΗΣ ΠΑΙΔΕΙΑΣ
Στατικός ηλεκτρισμός | 412 370 |
Φορτισμένοι αγωγοί - Πυκνωτές | 343 420 |
Συνεχές ηλεκτρικό ρεύμα | 400 423 505 471 547 509 635 673 691 |
Φύση, διάδοση και ταχύτητα φωτός | 703 |
Διάθλαση φωτός | 476 189 710 728 |
Ατομικά πρότυπα | 369 719 738 |
Ακτίνες Roentgen | 453 |
Σχετικές κινήσεις - Βολές | 227 561 449 |
Κυκλική κίνηση | 337 347 270 353 380 757 |
Ορμή - Ώθηση- Διατήρηση ορμής | 416 221 330 108 441 661 750 |
Κρούσεις | 428 358 323 462 287 590 665 752 |
Νόμοι Αερίων | 415 660 694 731 |
Κινητική θεωρία της θερμότητας | 474 706 |
Θερμοδυναμική Εφαρμοσμένη Θερμοδυναμική | 541 213 493 670 684 700 712 725 713 |
Κίνηση σε ηλεκτρικό πεδίο | 566 366 629 675 688 716 |
Βαρύτητα | 445 223 651 680 697 735 754 |
Γ’ ΛΥΚΕΙΟΥ ΠΡΟΣΑΝΑΤΟΛΙΣΜΟΥ
Κρούσεις Ισορροπία Στερεού | 428 358 323 462 287 590 665 745 230 446 742 |
Κίνηση Στερεού | 300 550 |
Διατήρηση Στροφορμής | 283 657 |
Δυναμική Στερεού | 145 196 346 521 96 182 702 720 756 |
Γραμμικές Ταλαντώσεις | 132 511 567 501 431 543 557 646 681 749 755 |
Φθίνουσες - Εξαναγκασμένες - Σύνθεση | 564 758 |
Μηχανικά Κύματα | 469 513 569 631 696 751 |
Ηλεκτρομαγνητισμός | 568 653 672 686 722 760 |
Κίνηση σε μαγνητικό πεδίο | 581 656 663 693 714 729 753 |
Ηλεκτρομαγνητική επαγωγή | 223 668 677 690 699 704 726 |
Αυτεπαγωγή | 604 674 717 7.36 |
Εναλλασσόμενο ρεύμα | 560 708 739 |
Ηλεκτρομαγνητικά κύματα | 608 |
Κβαντική Φυσική | 459 627 711 747 |

Dias
Επιφανές μέλος
Ο Dias αυτή τη στιγμή δεν είναι συνδεδεμένος. Είναι Καθηγητής κι έχει σπουδάσει στο τμήμα Φυσικής ΕΚΠΑ (Αθήνα). Έχει γράψει 10.663 μηνύματα.

19-04-24

15:34

Dias
Επιφανές μέλος
Ο Dias αυτή τη στιγμή δεν είναι συνδεδεμένος. Είναι Καθηγητής κι έχει σπουδάσει στο τμήμα Φυσικής ΕΚΠΑ (Αθήνα). Έχει γράψει 10.663 μηνύματα.

20-04-24

10:23

Dias
Επιφανές μέλος
Ο Dias αυτή τη στιγμή δεν είναι συνδεδεμένος. Είναι Καθηγητής κι έχει σπουδάσει στο τμήμα Φυσικής ΕΚΠΑ (Αθήνα). Έχει γράψει 10.663 μηνύματα.

21-04-24

10:44

Dias
Επιφανές μέλος
Ο Dias αυτή τη στιγμή δεν είναι συνδεδεμένος. Είναι Καθηγητής κι έχει σπουδάσει στο τμήμα Φυσικής ΕΚΠΑ (Αθήνα). Έχει γράψει 10.663 μηνύματα.

22-04-24

16:26

Samael
Τιμώμενο Μέλος
Ο Samael αυτή τη στιγμή δεν είναι συνδεδεμένος. Είναι 26 ετών, Πτυχιούχος του τμήματος Ηλεκτρολόγων & Ηλεκτρονικών Μηχανικών ΠΑΔΑ και μας γράφει από Πειραιάς (Αττική). Έχει γράψει 12.050 μηνύματα.

02-05-24

16:41
i) Βρείτε μια έκφραση για το πλήθος των αριθμών του συνόλου Α = {1,2,...,n} που διαιρούνται απο τον θετικό ακέραιο k.
ii) Ως αριθμητικό παράδειγμα βρείτε το πλήθος των αριθμών του συνόλου {1,2,...,10} που διαιρούνται είτε απο το 2, ή το 3 ή το 7, χωρίς την χρήση του i) και επιβεβαιώστε στην συνέχεια το αποτέλεσμα μέσω της έκφρασης του i).
iii) Επαναλάβατε το ii) για το σύνολο αριθμών {1,2,...,1000} κάνοντας χρήση του i).
ii) Ως αριθμητικό παράδειγμα βρείτε το πλήθος των αριθμών του συνόλου {1,2,...,10} που διαιρούνται είτε απο το 2, ή το 3 ή το 7, χωρίς την χρήση του i) και επιβεβαιώστε στην συνέχεια το αποτέλεσμα μέσω της έκφρασης του i).
iii) Επαναλάβατε το ii) για το σύνολο αριθμών {1,2,...,1000} κάνοντας χρήση του i).
eukleidhs1821
Διάσημο μέλος
Ο eukleidhs1821 αυτή τη στιγμή δεν είναι συνδεδεμένος. Είναι Πτυχιούχος του τμήματος Ιατρικής Ιωαννίνων (Ιωάννινα) και μας γράφει από Καινούργιο (Ηράκλειο). Έχει γράψει 3.965 μηνύματα.

03-05-24

18:29
Tωρα που πλησιαζουν πανελληνιες βαλτε καμια ασκηση με θεωρηματα να αγχωθουν οι υποψηφιοι!Αντε γτ εχει σκουριασει το φορουμ απιστευτα!
ιωαννηs
Επιφανές μέλος
Ο ιωαννηs αυτή τη στιγμή δεν είναι συνδεδεμένος. Είναι 25 ετών, Φοιτητής του τμήματος Πρόγραμμα Ιερατικών Σπουδών και μας γράφει από Πειραιάς (Αττική). Έχει γράψει 15.193 μηνύματα.

03-05-24

19:36
Ε κατσε ντε ο θειος Διας εχει ξεσκιστει να βαζει ασκησεις πανελληνιων.Tωρα που πλησιαζουν πανελληνιες βαλτε καμια ασκηση με θεωρηματα να αγχωθουν οι υποψηφιοι!Αντε γτ εχει σκουριασει το φορουμ απιστευτα!
Α μιλας για μαθηματικα?
math2arch
Νεοφερμένο μέλος
Ο math2arch αυτή τη στιγμή δεν είναι συνδεδεμένος. Είναι Μεταπτυχιούχος και μας γράφει από Θεσσαλονίκη (Θεσσαλονίκη). Έχει γράψει 98 μηνύματα.

04-05-24

11:10
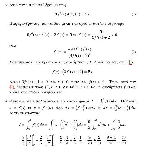
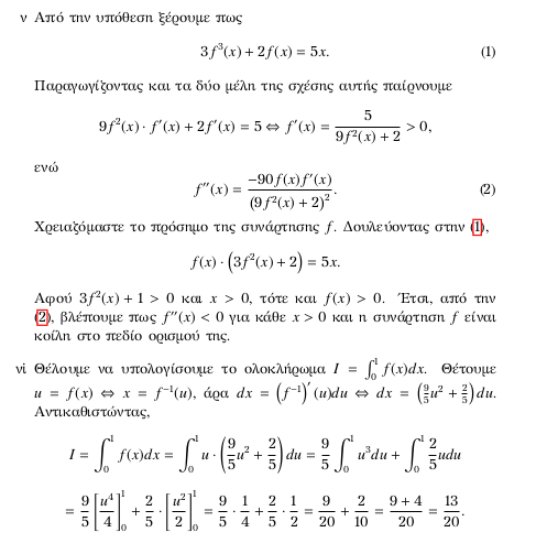
Μια άσκηση που θα μπορούσε να είναι ερώτημα σε θέμα Πανελληνίων και παραδοσιακά ταλαιπωρεί μαθητές λόγω του θεωρητικού της χαρακτήρα. Κομψή, λιτή, σκαλωτική...χομπίστικη.
Υ.Γ.: Σκέφτομαι κάθε Παρασκευή να ανεβάζω εδώ ένα θέμα (ολόκληρο, όχι σαν το σημερινό) στο επίπεδο θέματος Δ στα Μαθηματικά. Λογικά, από την ερχόμενη Παρασκευή θα ξεκινήσω.
Υ.Γ.: Σκέφτομαι κάθε Παρασκευή να ανεβάζω εδώ ένα θέμα (ολόκληρο, όχι σαν το σημερινό) στο επίπεδο θέματος Δ στα Μαθηματικά. Λογικά, από την ερχόμενη Παρασκευή θα ξεκινήσω.
eukleidhs1821
Διάσημο μέλος
Ο eukleidhs1821 αυτή τη στιγμή δεν είναι συνδεδεμένος. Είναι Πτυχιούχος του τμήματος Ιατρικής Ιωαννίνων (Ιωάννινα) και μας γράφει από Καινούργιο (Ηράκλειο). Έχει γράψει 3.965 μηνύματα.

04-05-24

11:26
Σωστος.Μπορει να χρησιμοποιηθει και κατευθειαν μια απορροια αυτου του θετ αν υποθεσεις οτι εστω η φ δεν ειναι σταθερη οτι η εικονα μιας συνεχους και μη σταθερης ειναι διαστημα επομενως ατοπο !Μια άσκηση που θα μπορούσε να είναι ερώτημα σε θέμα Πανελληνίων και παραδοσιακά ταλαιπωρεί μαθητές λόγω του θεωρητικού της χαρακτήρα. Κομψή, λιτή, σκαλωτική...χομπίστικη.
View attachment 132136
Υ.Γ.: Σκέφτομαι κάθε Παρασκευή να ανεβάζω εδώ ένα θέμα (ολόκληρο, όχι σαν το σημερινό) στο επίπεδο θέματος Δ στα Μαθηματικά. Λογικά, από την ερχόμενη Παρασκευή θα ξεκινήσω.
Samael
Τιμώμενο Μέλος
Ο Samael αυτή τη στιγμή δεν είναι συνδεδεμένος. Είναι 26 ετών, Πτυχιούχος του τμήματος Ηλεκτρολόγων & Ηλεκτρονικών Μηχανικών ΠΑΔΑ και μας γράφει από Πειραιάς (Αττική). Έχει γράψει 12.050 μηνύματα.

04-05-24

11:27
Καλό θα ήταν γενικά οι ασκήσεις πανελληνιακου χαρακτήρα να μην μπαίνουν σε αυτό το θέμα. Για αυτό τον σκοπό υπάρχουν τα αντίστοιχα θέματα.Tωρα που πλησιαζουν πανελληνιες βαλτε καμια ασκηση με θεωρηματα να αγχωθουν οι υποψηφιοι!Αντε γτ εχει σκουριασει το φορουμ απιστευτα!
Φυσικά μπορούν να μπουν και εδώ αλλά καλύτερα όχι μαζικά.
math2arch
Νεοφερμένο μέλος
Ο math2arch αυτή τη στιγμή δεν είναι συνδεδεμένος. Είναι Μεταπτυχιούχος και μας γράφει από Θεσσαλονίκη (Θεσσαλονίκη). Έχει γράψει 98 μηνύματα.

10-05-24

12:30
TGIF. Κάτι για προθέρμανση. Απολαύστε υπεύθυνα!
Η παρακάτω άσκηση είναι βασισμένη στην άσκηση 49 από το εξαιρετικό βιβλίο "Επανάληψη στα Μαθηματικά Γ' Λυκείου" του Θ. Ξένου, εκδ. Ζήτη, 2011.
Η διαφορά με την άσκηση του ανωτέρω βιβλίου είναι πως πείραξα το σύνολο τιμών. Στο βιβλίο δίνεται σαν σύνολο τιμών όλο το σύνολο των πραγματικών αριθμών. Αυτή η υπόθεση επηρεάζει ουσιαστικά την επίλυση του ερωτήματος (i). Δοκιμάστε την!
Η παρακάτω άσκηση είναι βασισμένη στην άσκηση 49 από το εξαιρετικό βιβλίο "Επανάληψη στα Μαθηματικά Γ' Λυκείου" του Θ. Ξένου, εκδ. Ζήτη, 2011.
Η διαφορά με την άσκηση του ανωτέρω βιβλίου είναι πως πείραξα το σύνολο τιμών. Στο βιβλίο δίνεται σαν σύνολο τιμών όλο το σύνολο των πραγματικών αριθμών. Αυτή η υπόθεση επηρεάζει ουσιαστικά την επίλυση του ερωτήματος (i). Δοκιμάστε την!
Samael
Τιμώμενο Μέλος
Ο Samael αυτή τη στιγμή δεν είναι συνδεδεμένος. Είναι 26 ετών, Πτυχιούχος του τμήματος Ηλεκτρολόγων & Ηλεκτρονικών Μηχανικών ΠΑΔΑ και μας γράφει από Πειραιάς (Αττική). Έχει γράψει 12.050 μηνύματα.

10-05-24

14:18
Νομίζω οτι θα έπρεπε να είναι Af = [0,+oo) και όχι (0,+οο]TGIF. Κάτι για προθέρμανση. Απολαύστε υπεύθυνα!
Η παρακάτω άσκηση είναι βασισμένη στην άσκηση 49 από το εξαιρετικό βιβλίο "Επανάληψη στα Μαθηματικά Γ' Λυκείου" του Θ. Ξένου, εκδ. Ζήτη, 2011.
View attachment 132372
Η διαφορά με την άσκηση του ανωτέρω βιβλίου είναι πως πείραξα το σύνολο τιμών. Στο βιβλίο δίνεται σαν σύνολο τιμών όλο το σύνολο των πραγματικών αριθμών. Αυτή η υπόθεση επηρεάζει ουσιαστικά την επίλυση του ερωτήματος (i). Δοκιμάστε την!
math2arch
Νεοφερμένο μέλος
Ο math2arch αυτή τη στιγμή δεν είναι συνδεδεμένος. Είναι Μεταπτυχιούχος και μας γράφει από Θεσσαλονίκη (Θεσσαλονίκη). Έχει γράψει 98 μηνύματα.

10-05-24

16:52
Σωστά! Χρειάζεται και το 0 στο σύνολο τιμών, γιατί διαφορετικά, το ολοκλήρωμα του τελευταίου θέματος π.χ. δεν είναι καλά ορισμένο με βάση το μετασχηματισμό.
Samael
Τιμώμενο Μέλος
Ο Samael αυτή τη στιγμή δεν είναι συνδεδεμένος. Είναι 26 ετών, Πτυχιούχος του τμήματος Ηλεκτρολόγων & Ηλεκτρονικών Μηχανικών ΠΑΔΑ και μας γράφει από Πειραιάς (Αττική). Έχει γράψει 12.050 μηνύματα.

23-05-24

17:20
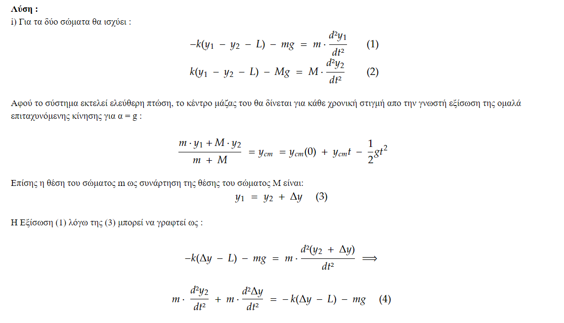
Η λύση :
Ένα παράδειγμα της λύσης για τις εξής παραμέτρους :
ycm(0) = 10m
L = 1m
Δy(0) = 1.5m
M = m = 1Kg
k = 5000 N/m
Βλέπουμε οτι εφόσον Δy(0) > L , το ελατήριο είναι επιμηκυμένο, και επομένως αμέσως μετά την t = 0s, τα σώματα ελκύονται προς το κέντρο μάζας του συστήματος. Επίσης η τροχιά του κέντρου μάζας ( με πράσινο ) ακολουθεί αυτή ενός σώματος που εκτελεί ελεύθερη πτώση απο αρχικό ύψος ycm(0), χωρίς αρχική ταχύτητα.
ycm(0) = 10m
L = 1m
Δy(0) = 1.5m
M = m = 1Kg
k = 5000 N/m
Βλέπουμε οτι εφόσον Δy(0) > L , το ελατήριο είναι επιμηκυμένο, και επομένως αμέσως μετά την t = 0s, τα σώματα ελκύονται προς το κέντρο μάζας του συστήματος. Επίσης η τροχιά του κέντρου μάζας ( με πράσινο ) ακολουθεί αυτή ενός σώματος που εκτελεί ελεύθερη πτώση απο αρχικό ύψος ycm(0), χωρίς αρχική ταχύτητα.
import math
import numpy as np
import matplotlib.pyplot as plt
# Simulation parameters
#______________________________________________________________________________________
tmax = 2 # Simulation time
timeStep = 0.001 # Simulation time step
n = int(tmax/timeStep)
time = np.linspace(0, tmax, n, endpoint = False)
# Physical parameters
#______________________________________________________________________________________
ycmo = 10 # Initial height of center of mass
L = 1 # Length of spring
k = 5000# Spring constant
m = 1 # Mass m
M = 1 # Mass M
dyo = 1.5 # If 0 < ycmo < L ---> the spring is compressed, if ycmo ---> L , the spring is extended
g = 9.81 # Gravity
# Calculating body trajectories
#______________________________________________________________________________________
y1 = (ycmo + (M*L)/(M+m))*np.ones(n,float) - 0.5*g*pow(time,2) + \
( M*(dyo - L)/(M+m) )*np.sin( ( math.sqrt( k/( (M*m)/(M+m) ) ) )*time + ( (math.pi)/2 )*np.ones( n,float) )
y2 = (ycmo - (m*L)/(M+m))*np.ones(n,float) - 0.5*g*pow(time,2) - \
( m*(dyo - L)/(M+m) )*np.sin( ( math.sqrt( k/( (M*m)/(M+m) ) ) )*time + ( (math.pi)/2 )*np.ones( n,float) )
ycm = (m*y1 + M*y2)/(M+m)
# Draw trajectories
#______________________________________________________________________________________
plt.plot(time,y1)
plt.plot(time,y2)
plt.plot(time,ycm)
plt.title('y1(t),y2(t),ycm(t)')
plt.xlabel('t(s)')
plt.ylabel('y(m)')
plt.grid()
plt.legend(['y1(t)','y2(t)','ycm(t)'])
plt.show()
nPb
Επιφανές μέλος
Ο nPb αυτή τη στιγμή δεν είναι συνδεδεμένος. Είναι Μεταπτυχιούχος και μας γράφει από Πάτρα (Αχαΐα). Έχει γράψει 23.044 μηνύματα.

05-06-24

14:21
Ενδιαφέρουσα άσκηση διαφορικού λογισμού...και ο καθηγητής μαθηματικών είναι 94 χρονών Κινέζος.

eukleidhs1821
Διάσημο μέλος
Ο eukleidhs1821 αυτή τη στιγμή δεν είναι συνδεδεμένος. Είναι Πτυχιούχος του τμήματος Ιατρικής Ιωαννίνων (Ιωάννινα) και μας γράφει από Καινούργιο (Ηράκλειο). Έχει γράψει 3.965 μηνύματα.

05-06-24

18:19
Εχω παθει πλακα λεμε με τον τυπα!!
Ενδιαφέρουσα άσκηση διαφορικού λογισμού...και ο καθηγητής μαθηματικών είναι 94 χρονών Κινέζος.![]()
nPb
Επιφανές μέλος
Ο nPb αυτή τη στιγμή δεν είναι συνδεδεμένος. Είναι Μεταπτυχιούχος και μας γράφει από Πάτρα (Αχαΐα). Έχει γράψει 23.044 μηνύματα.

05-06-24

22:53
Εχω παθει πλακα λεμε με τον τυπα!!
Τα εξηγεί καλά;

Έχω δει κάνει και άλλες ασκήσεις π.χ. από φυσική με μαθηματική ανάλυση διαφορικών.
Οι Ασιάτες γενικά έχουν υπομονή και δεν βιάζονται.
Χρήστες Βρείτε παρόμοια
-
Τα παρακάτω 0 μέλη και 1 επισκέπτες διαβάζουν μαζί με εσάς αυτό το θέμα:Tα παρακάτω 277 μέλη διάβασαν αυτό το θέμα:
- ether--net
- Hased Babis
- GNick06
- Marildrea
- globglogabgalab
- Georgiaaa_
- Bonaparte
- Ilias__
- Kabamaru Hayate
- panosalex7
- eukleidhs1821
- SlimShady
- jYanniss
- Drscientist
- Corfu kitty
- bak07
- Kate1914
- aris65
- jellojina
- Unboxholics
- sakplat
- Chrisphys
- hihat1
- bigguy
- kelyphos
- love_to_learn
- tsiobieman
- Wonderkid
- Tolis211
- suaimhneas
- Indecisive2
- madness83828
- bibliofagos
- Hecticism
- ggl
- panosT436
- rseven
- Debugging_Demon
- andromaxh07
- Scandal
- georgetherrr
- antonis97
- BatGuin
- thesmilingchild
- iiTzArismaltor_
- Μήτσος10
- Orfano
- charmander
- eirinipap
- exotic xo
- Giorgosvr
- Qwerty 0
- Than003
- angela_k
- Jomo
- Joji
- kost28
- redpointer
- Albert.123
- Leo komm
- P.Dam.
- Steliosgkougkou
- chjan
- Evangeloz
- wmaria
- Maynard
- χημεια4λαιφ
- donut_daddy
- marikakitsou16
- physicscrazy
- Lia 2006
- chester20080
- panaman
- Msp1
- Sotis
- mirara
- melver
- grad778
- nickd
- V@Per
- ssalex
- catlover033
- carnage
- Μιχαήλ
- vas2017
- beatrixx
- phleidhs
- gegeorgiou90
- Dr. Gl. Luminous
- agg41
- thepigod762
- Helen06
- math2arch
- MrDragonboy
- chrismpd
- bill09876
- Paragontas7000
- ikigai
- Marel
- soleilst
- Startx0
- marilenaaa
- EllieKal
- gzois
- EFAKIT
- Φινεύς
- estrela
- Lifelong Learner
- Annie
- Panatha mono
- Mitsaras23
- Isa
- BiteTheDust
- Chris180
- aplalew
- user111
- Chemwizard
- giannhs2001
- Mukumbura
- MR WHITE
- SIAmia
- supertom4000
- J.Cameron
- persour
- Totreno
- sotirislk
- Specon
- Mariosm.
- Claire05
- Giorgos216
- Jimpower
- shezza94
- kwstasloul
- kan3nas
- dmav
- Obi-Wan Kenobi
- Nancysmilkyway
- Νομάρχης
- ogigidi
- ένας τυχαίος
- Hmmytheos
- constansn
- cannot_log_in
- hello1234
- ilal1200
- Alessandra Eliza
- Giannis327
- phoni
- aggorf
- Nala
- Frozensun
- xrisamikol
- Ilovemycats27
- PanosApo
- nik64
- angies
- dimitris_eee
- mike19
- angeloskar
- eltqt
- CrusaderKingsIII
- flaura
- elevag
- Patroklos
- Anonymous1
- IcedBreaje
- kiyoshi
- nicole1982
- Lost_In_Life
- Γατέχων
- AggelikiGr
- Nansytsg
- Lathy
- k4t
- Maria_Xagorari
- suuuuiiii
- SoyN
- thecrazycretan
- Jesse_
- A350
- Ιωάννης1234
- george777
- Abiogenesis
- Enhypen
- Mary06
- arko
- Giorgkalo
- velentzakoss
- Giota_pel
- AnnaRd
- Νικολινα
- NikNik1995
- BillyTheKid
- Nick_nt
- a namaves
- xristarac
- ilovekpop
- GeorgePap2003
- Sofos Gerontas
- topg
- Γιώτα Γιαννακού
- plantbee
- Peter Pan13
- Ness
- MrDna
- Jojo K
- Mewmaw
-
Φορτώνει...
-
Το forum μας χρησιμοποιεί cookies για να βελτιστοποιήσει την εμπειρία σας.
Συνεχίζοντας την περιήγησή σας, συναινείτε στη χρήση cookies στον περιηγητή σας.