Papachrist
Νεοφερμένο μέλος
Ο Papachrist αυτή τη στιγμή δεν είναι συνδεδεμένος. Έχει γράψει 58 μηνύματα.

07-03-21

22:09
Καλησπέρα θα μπορούσε κάποιος παρακαλώ να μου στείλει την λύση διότι μόνος μου δεν τα πήγα και τόσο καλα
Alexandros28
Δραστήριο μέλος
Ο Alexandros28 αυτή τη στιγμή δεν είναι συνδεδεμένος. Έχει γράψει 750 μηνύματα.

07-03-21

23:35
eukleidhs1821
Διάσημο μέλος
Ο eukleidhs1821 αυτή τη στιγμή δεν είναι συνδεδεμένος. Είναι Πτυχιούχος του τμήματος Ιατρικής Ιωαννίνων (Ιωάννινα) και μας γράφει από Καινούργιο (Ηράκλειο). Έχει γράψει 3.965 μηνύματα.

08-03-21

13:07
προσεχτε την αυτην την ασκηση ειναι πολυ σος και εχει πεσει πολλες φορες
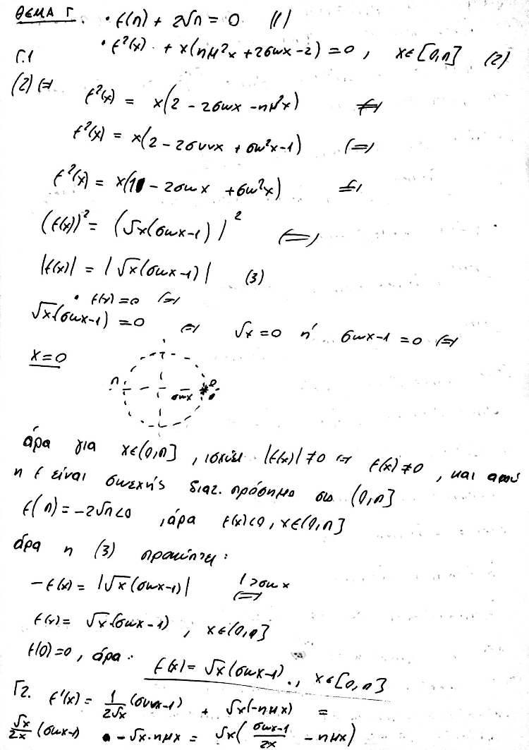
το γ2 η ευρεση της παραγωγου δεν βοηθα πουθενα.επι της ουσιας πρεπει να καταλαβεις οτι πρεπει να δειξεις οτι η y=0 ειναι οριζοντια εφαπτομενη αντι να στο λεει ετσι στο λεει αλλιως.οποτε πρεπει να δεις την παραγωγισιμοτητα στο σημειο που τεμνει το χ'χ που ειναι το μηδεν οποτε εφοσον η ριζα χ δεν παραγωγιζεται στο μηδεν πρεπει να πονηρευτεις να πας με το οριο limριζαχ(συνχ-1)/χ=0 οποτε το βγαλες.επισης το γ3 βγαινει αμεσα με θεωρημα μεσης τιμης στο [0,π]
στην εξισωση την τελευταια για να μην μπλεξετε με περιπτωσεις των υποπεριπτωσεων.αν πολλαπλασιασεις με ριζα2/2 και τα δυο μελη το πρωτο μελος γινεται ημ(χ+π/4)=ημ(π/4).
φανταζομαι ξερετε την ταυτοτητα ημ(α+β)=ημασυνβ+ημβσυνα.
ετσι βγαινει χ+π/4=2κπ+π/4 χ=2κπ ή χ+π/4=2κπ+3π/4 χ=2κπ+π/2. οποτε απο τον πρωτο τυπο λυσεων βγαινει χ=0 και απο τον δευτερο τυπο λυσεων χ=π/2.
η χ=π που βλεπω αλεξανδρε δεν ειναι λυση.
το γ2 η ευρεση της παραγωγου δεν βοηθα πουθενα.επι της ουσιας πρεπει να καταλαβεις οτι πρεπει να δειξεις οτι η y=0 ειναι οριζοντια εφαπτομενη αντι να στο λεει ετσι στο λεει αλλιως.οποτε πρεπει να δεις την παραγωγισιμοτητα στο σημειο που τεμνει το χ'χ που ειναι το μηδεν οποτε εφοσον η ριζα χ δεν παραγωγιζεται στο μηδεν πρεπει να πονηρευτεις να πας με το οριο limριζαχ(συνχ-1)/χ=0 οποτε το βγαλες.επισης το γ3 βγαινει αμεσα με θεωρημα μεσης τιμης στο [0,π]
στην εξισωση την τελευταια για να μην μπλεξετε με περιπτωσεις των υποπεριπτωσεων.αν πολλαπλασιασεις με ριζα2/2 και τα δυο μελη το πρωτο μελος γινεται ημ(χ+π/4)=ημ(π/4).
φανταζομαι ξερετε την ταυτοτητα ημ(α+β)=ημασυνβ+ημβσυνα.
ετσι βγαινει χ+π/4=2κπ+π/4 χ=2κπ ή χ+π/4=2κπ+3π/4 χ=2κπ+π/2. οποτε απο τον πρωτο τυπο λυσεων βγαινει χ=0 και απο τον δευτερο τυπο λυσεων χ=π/2.
η χ=π που βλεπω αλεξανδρε δεν ειναι λυση.
Alexandros28
Δραστήριο μέλος
Ο Alexandros28 αυτή τη στιγμή δεν είναι συνδεδεμένος. Έχει γράψει 750 μηνύματα.

08-03-21

14:41
Έχεις δίκιο. Ξέφυγε η x=π επειδή ακριβώς δεν την απέρριψα αφού ξέχασα τις περιπτώσεις. Έχε κατά νου ότι ακόμα και ο τύπος που χρησιμοποίησα για το διπλό τόξο είναι εκτός ύλης όπως και ο τυποσ Αθροίσματος γωνιών αλλά αν το θυμάμαι μπορώ να το χρησιμοποιήσω. Με προβλημάτισε που δεν σκέφτηκα μέχρι στιγμής κάποια λύση που να είναι εντός ύλης.στην εξισωση την τελευταια για να μην μπλεξετε με περιπτωσεις των υποπεριπτωσεων.αν πολλαπλασιασεις με ριζα2/2 και τα δυο μελη το πρωτο μελος γινεται ημ(χ+π/4)=ημ(π/4).
φανταζομαι ξερετε την ταυτοτητα ημ(α+β)=ημασυνβ+ημβσυνα.
ετσι βγαινει χ+π/4=2κπ+π/4 χ=2κπ ή χ+π/4=2κπ+3π/4 χ=2κπ+π/2. οποτε απο τον πρωτο τυπο λυσεων βγαινει χ=0 και απο τον δευτερο τυπο λυσεων χ=π/2.
η χ=π που βλεπω αλεξανδρε δεν ειναι λυση.
eukleidhs1821
Διάσημο μέλος
Ο eukleidhs1821 αυτή τη στιγμή δεν είναι συνδεδεμένος. Είναι Πτυχιούχος του τμήματος Ιατρικής Ιωαννίνων (Ιωάννινα) και μας γράφει από Καινούργιο (Ηράκλειο). Έχει γράψει 3.965 μηνύματα.

08-03-21

14:43
σοβαρα ειναι εκτος υλης το αθροισμα γωνιων??τριγωνομετρια δηλαδη τι μαθαινετε?αυτα θυμαμαι ηταν εντος υλης.και αν χρειαστει να χρησιμοποιηθουν τι γινεται??φυσικη παντως αυτα χρησιμοποιουνται.τρεχα γυρευε!!Έχεις δίκιο. Ξέφυγε η x=π επειδή ακριβώς δεν την απέρριψα αφού ξέχασα τις περιπτώσεις. Έχε κατά νου ότι ακόμα και ο τύπος που χρησιμοποίησα για το διπλό τόξο είναι εκτός ύλης όπως και ο τυποσ Αθροίσματος τόξων αλλά αν το θυμάμαι μπορώ να το χρησιμοποιήσω. Με προβλημάτισε που δεν σκέφτηκα μέχρι στιγμής κάποια λύση που να είναι εντός ύλης.
Αυτόματη ένωση συνεχόμενων μηνυμάτων:
παντως μπραβο σου για τη λυση.ετσι οπως εχει δοθει η ακηση δεν ειναι ευκολο να το φτασεις f(κατι)=f(ταδε).ελαχιστοι θα το σκεφτοντουσαν!
Alexandros28
Δραστήριο μέλος
Ο Alexandros28 αυτή τη στιγμή δεν είναι συνδεδεμένος. Έχει γράψει 750 μηνύματα.

08-03-21

14:51
Προφανώς οι ταυτότητες αυτές χρησιμεύουν στη φυσική, αλλά στα μαθηματικά πλέον απλά δε ζητούνται, μπορούν να χρησιμοποιηθούν όμως για εναλλακτικό τρόπο λύσης αφού αποτελούν γνωστή ύλη προηγούμενης τάξης (Β’ Λυκείου)
eukleidhs1821
Διάσημο μέλος
Ο eukleidhs1821 αυτή τη στιγμή δεν είναι συνδεδεμένος. Είναι Πτυχιούχος του τμήματος Ιατρικής Ιωαννίνων (Ιωάννινα) και μας γράφει από Καινούργιο (Ηράκλειο). Έχει γράψει 3.965 μηνύματα.

08-03-21

14:53
α οκ.προφανως δε θα ζητιοταν αυτη η εξισωση τοτε.γτ αλλος τροπος νορμαλ δεν βλεπω να υπαρχει να τη λυσεις αν δεν χρησιμοποιησεις τον τυπο αυτο
Papachrist
Νεοφερμένο μέλος
Ο Papachrist αυτή τη στιγμή δεν είναι συνδεδεμένος. Έχει γράψει 58 μηνύματα.
bovid19
Εκκολαπτόμενο μέλος
Ο bovid19 αυτή τη στιγμή δεν είναι συνδεδεμένος. Είναι 27 ετών και Πτυχιούχος του τμήματος Οικονομικής Επιστήμης ΟΠΑ. Έχει γράψει 344 μηνύματα.

09-03-21

00:24
Β1) Το δεδομένο ουσιαστικά σου λέει ότι η
είναι η λοξή ασύμπτωτη της
στο πλην άπειρο. Επειδή είμαστε στο πλην άπειρο θα περιοριστούμε στο
όπου
. Θα έχουμε
άρα
.
Επίσης θα έχουμε
=\lim_{x \to -\infty}[g(x)+f(1)x]=\lim_{x \to -\infty}[g(x)+x]=\lim_{x \to -\infty}\frac{-6x-2012}{\sqrt{x^2-6x-2012}-x}=\lim_{x \to -\infty}\frac{-6-\frac{2012}{x}}{-\sqrt{1-\frac{6}{x}-\frac{2012}{x^2}}-1}=\frac{-6}{-1-1}=3)
οπότε=2)
Δ2) Απ' την δεδομένη εξίσωση έχουμε
}-e^{-f(x)}]'=(2x)' \leftrightarrow e^{f(x)}-e^{-f(x)}=2x+c)
για x=0 βγάζεις c=0. Πολλαπλασιάζοντας κατά μέλη με
και συμπληρώνοντας το τετράγωνο με
έχουμε:
}-1=2xe^{f(x)} \leftrightarrow [e^{f(x)}-x]^2=x^2+1 \leftrightarrow |e^{f(x)}-x|=\sqrt{x^2+1})
Με άτοπο βγάζεις ότι η
δεν μηδενίζεται πουθενά και επειδή είναι συνεχής θα έχει και σταθερό πρόσημο. Ξέρουμε ότι
άρα
για κάθε πραγματικό x.
Τελικά}=x+\sqrt{x^2+1} \leftrightarrow f(x)=ln(x+\sqrt{x^2+1}))
Επίσης θα έχουμε
οπότε
Δ2) Απ' την δεδομένη εξίσωση έχουμε
για x=0 βγάζεις c=0. Πολλαπλασιάζοντας κατά μέλη με
Με άτοπο βγάζεις ότι η
Τελικά
eukleidhs1821
Διάσημο μέλος
Ο eukleidhs1821 αυτή τη στιγμή δεν είναι συνδεδεμένος. Είναι Πτυχιούχος του τμήματος Ιατρικής Ιωαννίνων (Ιωάννινα) και μας γράφει από Καινούργιο (Ηράκλειο). Έχει γράψει 3.965 μηνύματα.

09-03-21

01:19
μια παρατηρηση στο δευτερο οριο.πριν πολλαπλασιασεις αριθμητη και παρονομαστη με συζυγη βγαλε κοινο παραγοντα τη μεγιστοβαθμια δυναμη στο ριζικο και αν ακομα εχεις απροσδιοριστια τοτε κανε με συζυγη για να γλιτωσεις διπλη δουλεια και για να μην ξαναδιαιρεις με χ στον αριθμητη
marian
Νεοφερμένο μέλος
Η marian αυτή τη στιγμή δεν είναι συνδεδεμένη. Είναι 34 ετών και Φοιτήτρια του τμήματος Επιστήμης Υπολογιστών Κρήτης. Έχει γράψει 115 μηνύματα.

15-03-21

19:07
Παιδια μπορεί να μου πει κάποιος πως λύνω το όριο όταν το χ->0 του χ*ημ1/χ
Το εχω συναντήσει μόνο σε κριτήριο παρεμβολής όπου βγαινει ευκολα από τα πλαινα όριο αλλά τώρα βρισκεται σε "πλαινό" όριο. Να κάνω αλλαγή μεταβλητής αλλά το χ που εχιε μπροστά δε βοηθάει.
Το εχω συναντήσει μόνο σε κριτήριο παρεμβολής όπου βγαινει ευκολα από τα πλαινα όριο αλλά τώρα βρισκεται σε "πλαινό" όριο. Να κάνω αλλαγή μεταβλητής αλλά το χ που εχιε μπροστά δε βοηθάει.
Alexandros28
Δραστήριο μέλος
Ο Alexandros28 αυτή τη στιγμή δεν είναι συνδεδεμένος. Έχει γράψει 750 μηνύματα.

15-03-21

20:03
Είναι μηδενική επί φραγμένη. Υπάρχει σε παράδειγμα του σχολικού.
Samael
Τιμώμενο Μέλος
Ο Samael αυτή τη στιγμή δεν είναι συνδεδεμένος. Είναι 26 ετών, Πτυχιούχος του τμήματος Ηλεκτρολόγων & Ηλεκτρονικών Μηχανικών ΠΑΔΑ και μας γράφει από Πειραιάς (Αττική). Έχει γράψει 12.048 μηνύματα.

15-03-21

20:04
Παιδια μπορεί να μου πει κάποιος πως λύνω το όριο όταν το χ->0 του χ*ημ1/χ
Το εχω συναντήσει μόνο σε κριτήριο παρεμβολής όπου βγαινει ευκολα από τα πλαινα όριο αλλά τώρα βρισκεται σε "πλαινό" όριο. Να κάνω αλλαγή μεταβλητής αλλά το χ που εχιε μπροστά δε βοηθάει.
Γιατί δεν βοηθάει ;
|ημx| <= 1 , άρα :
|ημ(1/χ)| <= 1 , πολλαπλασιάζουμε με |x|
|xημ(1/x)| <= |x|
-x <= xημ(1/x) <= χ
Παίρνοντας το όριο καθώς το x->0 για το δεξί και το αριστερό μέλος της ανίσωσης(που μας δίνουν και τα δυο 0) ,έχουμε απο το κριτήριο παρεμβολής οτι :
lim xημ(1/x) = 0
x->0
Alexandros28
Δραστήριο μέλος
Ο Alexandros28 αυτή τη στιγμή δεν είναι συνδεδεμένος. Έχει γράψει 750 μηνύματα.

15-03-21

20:07
Σχολικό βιβλίο β' μέρος σελίδα 52
ιωαννηs
Επιφανές μέλος
Ο ιωαννηs αυτή τη στιγμή δεν είναι συνδεδεμένος. Είναι 25 ετών, Φοιτητής του τμήματος Πρόγραμμα Ιερατικών Σπουδών και μας γράφει από Πειραιάς (Αττική). Έχει γράψει 15.191 μηνύματα.

15-03-21

20:19
Ωραια , εφοσον γνωριζεις οτι οταν η παραπανω συναρτηση ειναι κεντρικη με την μεθοδο παρεμβολης σου δινει οριο 0 ,τοτε εφαρμοσε την ιδια μεθοδο οταν αυτη ειναι πλαινη, γιατι να θελουμε αλλο τροπο οταν ειναι πλαινη?Παιδια μπορεί να μου πει κάποιος πως λύνω το όριο όταν το χ->0 του χ*ημ1/χ
Το εχω συναντήσει μόνο σε κριτήριο παρεμβολής όπου βγαινει ευκολα από τα πλαινα όριο αλλά τώρα βρισκεται σε "πλαινό" όριο. Να κάνω αλλαγή μεταβλητής αλλά το χ που εχιε μπροστά δε βοηθάει.
Βαλτη ξεχωριστα κανε μεθοδο παρεμβολης και βγαλε το οριο. Η μεθοδος παρεμβολης δεν σε περιοριζει πως θα βρεις τα ορια των πλαινων συναρτησεων.
Σιγουρα ειναι χ-->0 οχι χ--> απειρο.
Αμα θες να το γραψουμε.
eukleidhs1821
Διάσημο μέλος
Ο eukleidhs1821 αυτή τη στιγμή δεν είναι συνδεδεμένος. Είναι Πτυχιούχος του τμήματος Ιατρικής Ιωαννίνων (Ιωάννινα) και μας γράφει από Καινούργιο (Ηράκλειο). Έχει γράψει 3.965 μηνύματα.

15-03-21

20:42
αν το κανεις με αλλαγη μεταβλητης μπορει το u να παει στο -00 αν πας απο αριστερα στο χ αλλα δεν υπαρχει λογος -απολυτο χ το αριστερο οριο +απολυτο χ το δεξι οριο γνωστα ορια οτι κανουν μηδεν.γενικοτερα οταν βλεπεις οτι ενα οριο δεν υπαρχει ειναι κριτηριο παρεμβολης διοτι δεν υπαρχει το οριο του ημιτονου στο απειροΓιατί δεν βοηθάει ;
|ημx| <= 1 , άρα :
|ημ(1/χ)| <= 1 , πολλαπλασιάζουμε με |x|
|xημ(1/x)| <= |x|
Για u = 1/x ,έχουμε :
|ημ(u)/u| <= |1/u| , ή ισοδύναμα :
-1/u <= ημ(u)/u <= 1/u
Τώρα το u τείνει στο +οο εφόσον το x έτεινε στο 0.
Άρα απο το κριτήριο παρεμβολής :
lim [ημ(u)/u] = 0
u->+oo
Επομένως και το αρχικό σου όριο τείνει στο 0.
Αυτόματη ένωση συνεχόμενων μηνυμάτων:
αν το χ τεινει στο απειρο το οριο κανει ασσο γτ αναγεται στο γνωστο οριο ημu/u u τεινει στο μηδενΩραια , εφοσον γνωριζεις οτι οταν η παραπανω συναρτηση ειναι κεντρικη με την μεθοδο παρεμβολης σου δινει οριο 0 ,τοτε εφαρμοσε την ιδια μεθοδο οταν αυτη ειναι πλαινη, γιατι να θελουμε αλλο τροπο οταν ειναι πλαινη?
Βαλτη ξεχωριστα κανε μεθοδο παρεμβολης και βγαλε το οριο. Η μεθοδος παρεμβολης δεν σε περιοριζει πως θα βρεις τα ορια των πλαινων συναρτησεων.
Σιγουρα ειναι χ-->0 οχι χ--> απειρο.
Αμα θες να το γραψουμε.
Samael
Τιμώμενο Μέλος
Ο Samael αυτή τη στιγμή δεν είναι συνδεδεμένος. Είναι 26 ετών, Πτυχιούχος του τμήματος Ηλεκτρολόγων & Ηλεκτρονικών Μηχανικών ΠΑΔΑ και μας γράφει από Πειραιάς (Αττική). Έχει γράψει 12.048 μηνύματα.

15-03-21

20:49
αν το κανεις με αλλαγη μεταβλητης μπορει το u να παει στο -00 αν πας απο αριστερα στο χ αλλα δεν υπαρχει λογος -απολυτο χ το αριστερο οριο +απολυτο χ το δεξι οριο γνωστα ορια οτι κανουν μηδεν.γενικοτερα οταν βλεπεις οτι ενα οριο δεν υπαρχει ειναι κριτηριο παρεμβολης διοτι δεν υπαρχει το οριο του ημιτονου στο απειρο
Αυτόματη ένωση συνεχόμενων μηνυμάτων:
αν το χ τεινει στο απειρο το οριο κανει ασσο γτ αναγεται στο γνωστο οριο ημu/u u τεινει στο μηδεν
Σε κάθε περίπτωση το u τείνει στο άπειρο είτε θετικό είτε αρνητικό, και είτε απο τα δεξιά είτε απο τα αριστερά το 1/u προσεγγίζει το 0, οπότε δεν έχει σημασία.Lifehack

eukleidhs1821
Διάσημο μέλος
Ο eukleidhs1821 αυτή τη στιγμή δεν είναι συνδεδεμένος. Είναι Πτυχιούχος του τμήματος Ιατρικής Ιωαννίνων (Ιωάννινα) και μας γράφει από Καινούργιο (Ηράκλειο). Έχει γράψει 3.965 μηνύματα.

15-03-21

21:09
θυμαμαι περσι που σχολιαζαμε τα θεματα μου ειχε πει ο μαρκος οτι αυτο το οριο το παιρνουν ετοιμο οτι κανει μηδεν χωρις αποδειξη!!φαντασου δηλαδη ποσο τα εχουν ξεφτιλισει τα μαθηματικαΣε κάθε περίπτωση το u τείνει στο άπειρο είτε θετικό είτε αρνητικό, και είτε απο τα δεξιά είτε απο τα αριστερά το 1/u προσεγγίζει το 0, οπότε δεν έχει σημασία.Lifehack. Ωστόσο ναι, είναι παραπανήσιο βήμα η αλλαγή μεταβλητής.
bovid19
Εκκολαπτόμενο μέλος
Ο bovid19 αυτή τη στιγμή δεν είναι συνδεδεμένος. Είναι 27 ετών και Πτυχιούχος του τμήματος Οικονομικής Επιστήμης ΟΠΑ. Έχει γράψει 344 μηνύματα.

15-03-21

21:12
Ισχύει αυτό. Στον Μπάρλα το δίνει μαζί με τα γνωστά όρια ημχ/χ και (συνχ-1)/χ (αν θυμάμαι καλά)θυμαμαι περσι που σχολιαζαμε τα θεματα μου ειχε πει ο μαρκος οτι αυτο το οριο το παιρνουν ετοιμο οτι κανει μηδεν χωρις αποδειξη!!φαντασου δηλαδη ποσο τα εχουν ξεφτιλισει τα μαθηματικα
Samael
Τιμώμενο Μέλος
Ο Samael αυτή τη στιγμή δεν είναι συνδεδεμένος. Είναι 26 ετών, Πτυχιούχος του τμήματος Ηλεκτρολόγων & Ηλεκτρονικών Μηχανικών ΠΑΔΑ και μας γράφει από Πειραιάς (Αττική). Έχει γράψει 12.048 μηνύματα.

15-03-21

21:14
θυμαμαι περσι που σχολιαζαμε τα θεματα μου ειχε πει ο μαρκος οτι αυτο το οριο το παιρνουν ετοιμο οτι κανει μηδεν χωρις αποδειξη!!φαντασου δηλαδη ποσο τα εχουν ξεφτιλισει τα μαθηματικα
Αλήθεια ; Κακώς τότε γιατί η απόδειξη είναι πολύ απλή και το κριτήριο παρεμβολής αξίζει να το ξέρει κάποιος γιατί αντιμετωπίζει τέτοιες περίεργες περιπτώσεις και οι άλλες τεχνικές δεν θα δουλέψουν ή θα δουλέψουν αφού "φτύσεις αρκετό αίμα".
Χρήστες Βρείτε παρόμοια
-
Τα παρακάτω 0 μέλη και 7 επισκέπτες διαβάζουν μαζί με εσάς αυτό το θέμα:Tα παρακάτω 230 μέλη διάβασαν αυτό το θέμα:
- giorgos5002
- giannis06
- Panagiwths12
- mikke
- hristosdab
- trifasikodiavasma
- haji
- thepigod762
- Mariosm.
- soulatso
- oteletampis
- phleidhs
- Hased Babis
- AggelikiGr
- sir ImPeCaBlE
- veiNqh
- Scandal
- alekos
- Debugging_Demon
- just some guy
- xristosgkm
- ismember
- Apocalypse
- arrow25
- rempelos42
- ggl
- GStef
- QWERTY23
- xrisamikol
- Σωτηρία
- nikoletaz57
- _Aggelos123
- Mariam38
- SlimShady
- strsismos88
- Georgekk
- Lia 2006
- igeorgeoikonomo
- marian
- tsiobieman
- constansn
- Xristosdimitra
- Panagiotis849
- ρενακι 13
- Memetchi
- eukleidhs1821
- Nikkkpat
- Unboxholics
- korlef
- kwstaseL
- Thanos_D
- the purge
- T C
- Giii
- Papachrist
- liaiscool
- Αννα Τσιτα
- globglogabgalab
- Pharmacist01
- thanahss
- abcdefg12345
- nicole1982
- thecrazycretan
- kvstas92
- KingOfPop
- maria301
- papa2g
- stefan
- Κλημεντίνη
- TonyMontanaEse
- Lathy
- Alexecon1991
- Μάρκος Βασίλης
- Cortes
- το κοριτσι του μαη
- calliope
- ale
- panagiotis G
- Kleanth
- aggelosst9
- BioChemical
- spring day
- nucomer
- Georgia110
- LeoDel
- pink_panther
- Alexandros973
- marsenis
- den antexw allh apotyxia
- KaterinaL
- kiyoshi
- drosos
- Λαμπρινηη
- Bill22
- Chrysablac.
- giorgosp97
- Βλα
- Monster Hunter
- jul25
- xxxtolis
- Stroka
- nicks1999
- totiloz
- Earendil
- mitsakos
- tasost
- lnesb
- ssalex
- alan09
- Livaja10
- χημεια4λαιφ
- Viedo
- UncleJ
- Kostakis45
- Infrared
- Zgian
- pepatogourounaki
- hirasawayui
- GeoCommand
- Eleni54
- American Economist
- EiriniS20
- ΘανάσοςG4
- stamoul1s
- Αριάνα123
- uni77
- Libertus
- tasoss
- PanosCh002
- Unseen skygge
- Νικόλας Ραπ.
- cel123
- The Limit Does Not Exist
- don_vito
- suaimhneas
- Αλκης Κ.
- alexrami
- Baggelitsa36
- Νομικάριος13
- spinalgr1990
- d_th
- Adolfo valencia
- Πα.Κ
- Vasilis25
- Johnman97
- Steffie88
- rekcoR
- gwgw_5
- fockos
- Mariahj
- roud
- kostas83
- Cpt.Philips
- Makis45
- Χρησλου
- Panos_02
- Vold
- tymvorixos
- GiorgosAsi
- Neos167
- theodoraooo
- George187
- Άρτεμις Α.
- Μαρία2222
- christos87
- Idontknoww
- jimis2001
- Metamorph
- Γατόπαρδος.
- Johnsk
- mitsos14
- johnsiak
- Elel
- Dreamer_SW
- Γιαννης1987Θεσσ
-
Φορτώνει...
-
Το forum μας χρησιμοποιεί cookies για να βελτιστοποιήσει την εμπειρία σας.
Συνεχίζοντας την περιήγησή σας, συναινείτε στη χρήση cookies στον περιηγητή σας.