Guest 831328
Επισκέπτης
 αυτή τη στιγμή  δεν είναι συνδεδεμέν.  Δεν έχει γράψει κανένα μήνυμα. 
		
		
	
			Joji
Επιφανές μέλος
 Η Ιωάννα αυτή τη στιγμή  είναι συνδεδεμένη.  Είναι 22 ετών και Φοιτήτρια του τμήματος Επιστημών της Εκπαίδευσης & Κοινωνικής Εργασίας Πατρών.  Έχει γράψει 8.737 μηνύματα. 
		
			
			
		
		
	
			 
								22-03-22
								 
								23:21
		
							
						Υπέροχα! Τα είπαμε σήμερα, σε ευχαριστώ 
								
Joji
Επιφανές μέλος
 Η Ιωάννα αυτή τη στιγμή  είναι συνδεδεμένη.  Είναι 22 ετών και Φοιτήτρια του τμήματος Επιστημών της Εκπαίδευσης & Κοινωνικής Εργασίας Πατρών.  Έχει γράψει 8.737 μηνύματα. 
		
			
			
		
		
	
			 
								23-03-22
								 
								13:24
		
							
						
Dias
Επιφανές μέλος
 Ο Dias αυτή τη στιγμή  δεν είναι συνδεδεμένος.  Είναι Καθηγητής κι έχει σπουδάσει στο τμήμα Φυσικής ΕΚΠΑ (Αθήνα).  Έχει γράψει 10.664 μηνύματα. 
		
			
			
		
		
	
			 
								23-03-22
								 
								14:24
		
							
						α) ΔΗ°=-57kJ (1mol) , β και γ) ΔΗ°=-114kJ (2mol ,  2χ57)
		 
	
								Joji
Επιφανές μέλος
 Η Ιωάννα αυτή τη στιγμή  είναι συνδεδεμένη.  Είναι 22 ετών και Φοιτήτρια του τμήματος Επιστημών της Εκπαίδευσης & Κοινωνικής Εργασίας Πατρών.  Έχει γράψει 8.737 μηνύματα. 
		
			
			
		
		
	
			 
								23-03-22
								 
								22:48
		
							
						Cade
Πολύ δραστήριο μέλος
 Ο Cade αυτή τη στιγμή  δεν είναι συνδεδεμένος.  Είναι Απόφοιτος λυκείου.  Έχει γράψει 871 μηνύματα. 
		
			
			
		
		
	
			 
								23-03-22
								 
								22:57
		
							
						Μήπως πρέπει να μας δώσεις και ένα άλλο δεδομένο ;
Joji
Επιφανές μέλος
 Η Ιωάννα αυτή τη στιγμή  είναι συνδεδεμένη.  Είναι 22 ετών και Φοιτήτρια του τμήματος Επιστημών της Εκπαίδευσης & Κοινωνικής Εργασίας Πατρών.  Έχει γράψει 8.737 μηνύματα. 
		
			
			
		
		
	
			 
								23-03-22
								 
								22:59
		
							
						Cade
Πολύ δραστήριο μέλος
 Ο Cade αυτή τη στιγμή  δεν είναι συνδεδεμένος.  Είναι Απόφοιτος λυκείου.  Έχει γράψει 871 μηνύματα. 
		
			
			
		
		
	
			 
								23-03-22
								 
								23:05
		
							
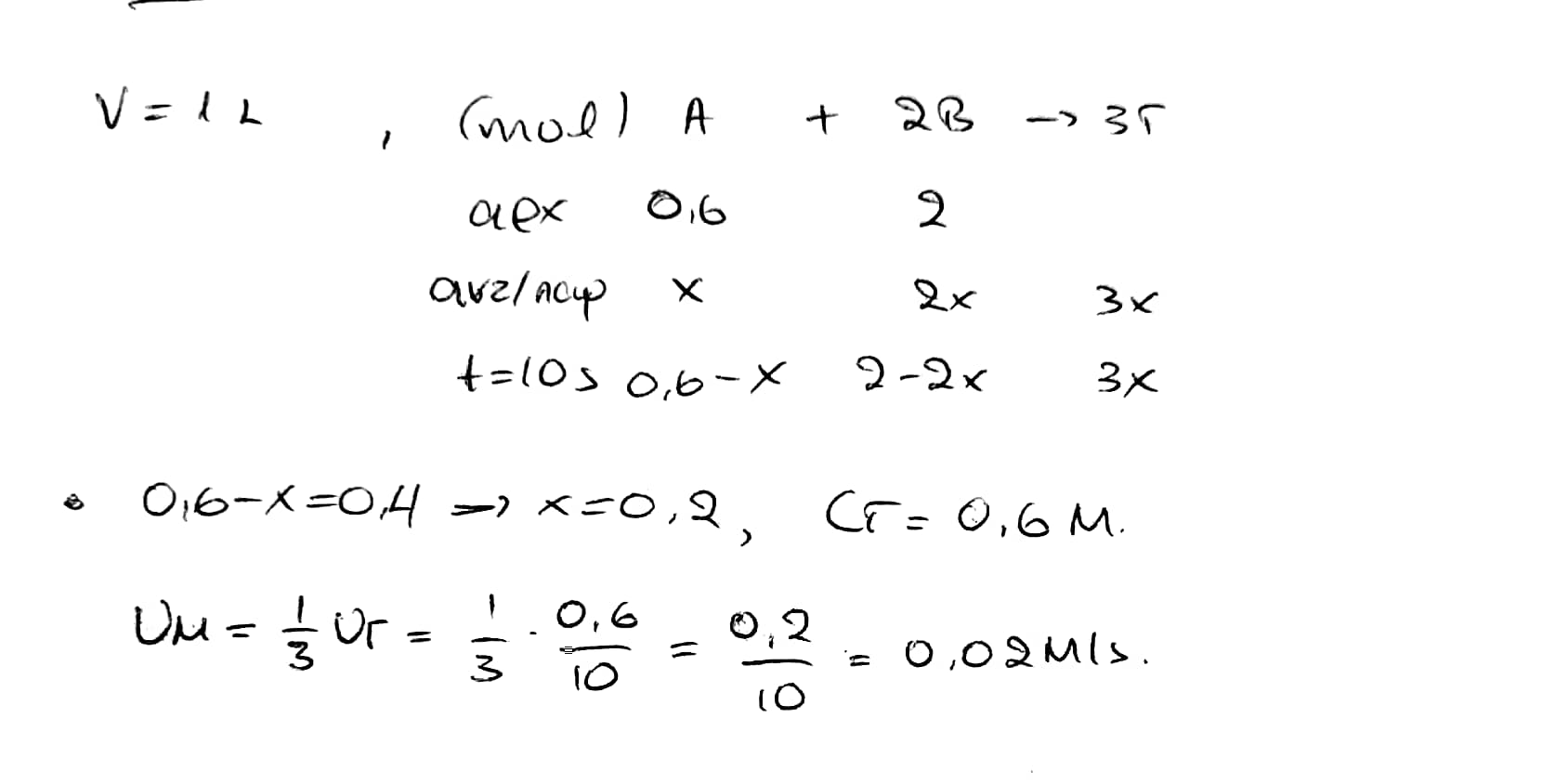
						Από τη γενίκευση του νόμου του Hess μπορώ να διαιρεσω τους συντελεστες της αρχικής θερμοχημικης εξίσωσης με το 2 και το ΔΗ θα υποδιπλασιαστει
Συνημμένα
Joji
Επιφανές μέλος
 Η Ιωάννα αυτή τη στιγμή  είναι συνδεδεμένη.  Είναι 22 ετών και Φοιτήτρια του τμήματος Επιστημών της Εκπαίδευσης & Κοινωνικής Εργασίας Πατρών.  Έχει γράψει 8.737 μηνύματα. 
		
			
			
		
		
	
			 
								23-03-22
								 
								23:08
		
							
						Ευχαριστώ πολύ πολύ πολύ
								Joji
Επιφανές μέλος
 Η Ιωάννα αυτή τη στιγμή  είναι συνδεδεμένη.  Είναι 22 ετών και Φοιτήτρια του τμήματος Επιστημών της Εκπαίδευσης & Κοινωνικής Εργασίας Πατρών.  Έχει γράψει 8.737 μηνύματα. 
		
			
			
		
		
	
			 
								28-03-22
								 
								23:10
		
							
						Cade
Πολύ δραστήριο μέλος
 Ο Cade αυτή τη στιγμή  δεν είναι συνδεδεμένος.  Είναι Απόφοιτος λυκείου.  Έχει γράψει 871 μηνύματα. 
		
			
			
		
		
	
			 
								28-03-22
								 
								23:18
		
							
						Για την 7 το β βρίσκεις τα μολ του SO2 από την καταστατική και μετά με μια απλή μέθοδο των τριών βρίσκεις το ζητούμενο
								Joji
Επιφανές μέλος
 Η Ιωάννα αυτή τη στιγμή  είναι συνδεδεμένη.  Είναι 22 ετών και Φοιτήτρια του τμήματος Επιστημών της Εκπαίδευσης & Κοινωνικής Εργασίας Πατρών.  Έχει γράψει 8.737 μηνύματα. 
		
			
			
		
		
	
			 
								28-03-22
								 
								23:20
		
							
						Το PV=nrt;Για την 7 το β βρίσκεις τα μολ του SO2 από την καταστατική και μετά με μια απλή μέθοδο των τριών βρίσκεις το ζητούμενο
	Αυτόματη ένωση συνεχόμενων μηνυμάτων: 
Το βρήκα! Σε ευχαριστώ πολύ.
Guest 831328
Επισκέπτης
 αυτή τη στιγμή  δεν είναι συνδεδεμέν.  Δεν έχει γράψει κανένα μήνυμα. 
		
		
	
			 
								28-03-22
								 
								23:31
		
							
						Ξέθαψα και αυτές για δες εδώ όπου ασκήσεις 4 και 5 οι ασκήσεις 6 και 7 αντίστοιχα είχαν αλλά νούμερα περισι
								Συνημμένα
Cade
Πολύ δραστήριο μέλος
 Ο Cade αυτή τη στιγμή  δεν είναι συνδεδεμένος.  Είναι Απόφοιτος λυκείου.  Έχει γράψει 871 μηνύματα. 
		
			
			
		
		
	
			 
								28-03-22
								 
								23:58
		
							
						GeoCommand
Νεοφερμένο μέλος
 Ο GeoCommand αυτή τη στιγμή  δεν είναι συνδεδεμένος.  Είναι 23 ετών και Πτυχιούχος του τμήματος Ικάρων (ΣΙ)- Ιπτάμενοι.  Έχει γράψει 93 μηνύματα. 
		
			
			
		
		
	
			 
								30-04-22
								 
								21:50
		
							
						Καλησπέρα, μερικές ερωτήσεις πάνω στη χημεία και συγκεκριμένα στα καύσιμα/λιπαντικά:
1. Η απόσταξη υπό κενό είναι πυρολυτικη, καταλυτική,φυσική,χημική διεργασία ή όλα μαζί μαζι ;
								1. Η απόσταξη υπό κενό είναι πυρολυτικη, καταλυτική,φυσική,χημική διεργασία ή όλα μαζί μαζι ;
Joji
Επιφανές μέλος
 Η Ιωάννα αυτή τη στιγμή  είναι συνδεδεμένη.  Είναι 22 ετών και Φοιτήτρια του τμήματος Επιστημών της Εκπαίδευσης & Κοινωνικής Εργασίας Πατρών.  Έχει γράψει 8.737 μηνύματα. 
		
			
			
		
		
	
			 
								04-05-22
								 
								11:43
		
							
						Γεια  Long time no see.
 Long time no see.
		 
	
								 Long time no see.
 Long time no see.Cade
Πολύ δραστήριο μέλος
 Ο Cade αυτή τη στιγμή  δεν είναι συνδεδεμένος.  Είναι Απόφοιτος λυκείου.  Έχει γράψει 871 μηνύματα. 
		
			
			
		
		
	
			 
								04-05-22
								 
								11:52
		
							
						Joji
Επιφανές μέλος
 Η Ιωάννα αυτή τη στιγμή  είναι συνδεδεμένη.  Είναι 22 ετών και Φοιτήτρια του τμήματος Επιστημών της Εκπαίδευσης & Κοινωνικής Εργασίας Πατρών.  Έχει γράψει 8.737 μηνύματα. 
		
			
			
		
		
	
			 
								04-05-22
								 
								11:53
		
							
						Οοο ευχαριστώ πολύ, ήθελα να επαληθεύσω το πινακάκι 
								
Joji
Επιφανές μέλος
 Η Ιωάννα αυτή τη στιγμή  είναι συνδεδεμένη.  Είναι 22 ετών και Φοιτήτρια του τμήματος Επιστημών της Εκπαίδευσης & Κοινωνικής Εργασίας Πατρών.  Έχει γράψει 8.737 μηνύματα. 
		
			
			
		
		
	
			 
								04-05-22
								 
								13:13
		
							
						Έχω μια ερώτηση. Είναι θεωρητική, απλώς παρόλο που έχω το βοήθημα του Σαλτερή, το βιβλίο και το φυλλάδιο, δεν μπορώ ακόμα να καταλάβω το εξής. 
Στην διάρκεια μιας χημικής αντίδρασης, οι συγκεντρώσεις των αντιδρώντων μειώνονται πάντα; Και τον προϊόντων αυξάνονται; Γι’αυτό έχουμε το - στο υ=-Δ[Α]/Δt;
								Στην διάρκεια μιας χημικής αντίδρασης, οι συγκεντρώσεις των αντιδρώντων μειώνονται πάντα; Και τον προϊόντων αυξάνονται; Γι’αυτό έχουμε το - στο υ=-Δ[Α]/Δt;
Littlechemist
Νεοφερμένο μέλος
 Η Littlechemist αυτή τη στιγμή  δεν είναι συνδεδεμένη.  Είναι Φοιτήτρια του τμήματος Αξιωματικών Νοσηλευτικής (ΣΑΝ).  Έχει γράψει 108 μηνύματα. 
		
			
			
		
		
	
			 
								04-05-22
								 
								13:18
		
							
						Kαλησπερα! Να ρωτήσω εσείς κάνατε στην θερμοχημεια ενθαλπία καύσης εξουδετέρωσης ;; Και από τον νόμο ταχυτητας το καινούριο;; Απλά το γνωστό βοήθημα εμβαθύνει πολύ και το βιβλίο τα έχει πολύ από πάνω..
								Χρήστες Βρείτε παρόμοια
- 
				Τα παρακάτω 0 μέλη και 1 επισκέπτες διαβάζουν μαζί με εσάς αυτό το θέμα:Tα παρακάτω 155 μέλη διάβασαν αυτό το θέμα:- .7082729-0.
- globglogabgalab
- Georgiaaa_
- Μήτσος10
- mezzettino15
- GeoCommand
- tomftw
- MR WHITE
- bill09876
- just some guy
- User1294
- Joji
- Magigi
- Dora140303
- Nikoletaant
- Than003
- Unboxholics
- spring day
- PanosBat
- nimbus
- F1L1PAS
- charmander
- Ameliak
- oups
- margik
- Marple
- Lia 2006
- Chemwizard
- alexgiann
- johnstamatis34
- Scandal
- ggl
- Pharmacist01
- Panagiotis849
- Kitana
- Annou1
- Meow
- desp1naa
- maria2001
- kiyoshi
- augustine
- penelopenick
- Maynard
- T C
- theodoraooo
- evelina23
- Mammy Nun
- Ελεγκολόγος
- eukleidhs1821
- Cat lady
- angies
- Giii
- l0garithm
- Mashiro@Iberan
- maria12344
- Johnman97
- xrisamikol
- Alexandra Chatzin
- Apocalypse
- Yvonnikou
- Nala
- Appolon
- tsiobieman
- το κοριτσι του μαη
- SlimShady
- menual
- Wonderkid
- Basiliki
- roud
- George_dr
- Εριφύλη
- Eirinakiii8
- L0st
- Mariahj
- An_uknown_world
- panosveki
- igeorgeoikonomo
- KingPoul
- Jimmis18
- Georgekk
- pinkheart
- snowy
- constansn
- emzou
- papa2g
- vetas
- Sense
- Nikoleta_Giann
- Devilshjoker
- aekaras 21
- stav.mdp
- nucomer
- mariaab
- KaterinaL
- Outer Banks
- _Aggelos123
- chembam
- giannhs2001
- BioChemical
- Alexandros973
- Glorious12
- Alexandros36k
- thecrazycretan
- sweater weather
- neurogirl
- iminspain
- chem22
- αλεξακαρλ
- ssalex
- Ελλη
- suaimhneas
 
- 
				 Φορτώνει...
- 
		
		Το forum μας χρησιμοποιεί cookies για να βελτιστοποιήσει την εμπειρία σας.
 Συνεχίζοντας την περιήγησή σας, συναινείτε στη χρήση cookies στον περιηγητή σας.
 Αρχική Forum
 Αρχική Forum
					 Ρωτήστε κάτι
 Ρωτήστε κάτι
					 Προσωπικές Συζητήσεις
 Προσωπικές Συζητήσεις
					 Πανελλαδικές
 Πανελλαδικές
						 Αγγελίες
 Αγγελίες
						 Συνδεδεμένοι Χρήστες
 Συνδεδεμένοι Χρήστες
					 Λίστα Αποκλεισμένων
 Λίστα Αποκλεισμένων
					 Υπεύθυνοι του Forum
 Υπεύθυνοι του Forum
					 e-steki
e-steki 
	
	 
			 
 
		 
 
		 
 
		 
			 
			 
			 
			 
 
		
