atlantida
Εκκολαπτόμενο μέλος
Η atlantida αυτή τη στιγμή δεν είναι συνδεδεμένη. Είναι Φοιτήτρια. Έχει γράψει 236 μηνύματα.

30-09-22

14:44
για την πρώτη:
αφού το f=2 Hz <=> T=0,5 sec.
έχουμε δύο διαδοχικά πλάτη, έστω ότι είναι τα Α(Ν+1) και Α(Ν) [αυτά μέσα στην παρένθεση ειναι δείκτες]. Επειδή η ταλάντωση είναι εκθετικά φθίνουσα ισχύει ότι Α(Ν+1)=Α(Ν)*e^(ΛΤ). Αντικαθιστάς σε αυτή την σχέση τα πλάτη και την τιμή της περιόδου, διαιρείς με το ένα πλάτος για να μείνει μόνη της η εκθετική, ελενίζεις και τα δύο μέλη και βρίσκεις το Λ.
Αυτόματη ένωση συνεχόμενων μηνυμάτων:
για την δεύτερη:
α) για την 1η περίοδο παίρνεις την σχέση, Ε1=1/2*D *A1^2, αντικαθιστάς το Α1 με Α0/2 και βγαίνει ότι Ε1=Ε0/4. Ομοίως για την 2η περίοδο.
β) η θερμότητα στην διάρκεια της 1ης περιόδου είναι Q1=|E1-E0| και για την 2η (αν δεν κάνω λάθος) Q2=|E2-E1|
Joji
Επιφανές μέλος
Η Ιωάννα αυτή τη στιγμή δεν είναι συνδεδεμένη. Είναι 22 ετών και Φοιτήτρια του τμήματος Επιστημών της Εκπαίδευσης & Κοινωνικής Εργασίας Πατρών. Έχει γράψει 8.701 μηνύματα.

30-09-22

19:05
Λοιπόν αρχικά σε ευχαριστώ πολύ που δεν μου «μαρτύρησες» την απάντηση (με τέρμα step to step) και απλά μου είπες την μέθοδο που πρέπει να ακολουθήσω, κάθομαι και βλέπω από εχθές βίντεο με ιδιότητες των λογάριθμων για να μπω στο κλίμα και με βοήθησε πολύ η πληροφορία που μου έδωσες για τα πλάτη που μου δίνονται (το πως πάνε στον τύπο). Στην αρχή μπερδευόμουν διότι δεν τα έκανα μέτρα αλλά παιδευόμουν με τα εκατοστά (λολ) αλλά το κατάλαβα soon enough. Μου ήρθε λίγο ξαφνικό όλο μιας και βλέπω πρώτη φορά λογαρίθμους αλλά I want to believe I’m slowly getting the gist of it. Εχθές οριακά έβαλα τα κλάματα και έβλεπα βιντεάκια ασκήσεων μέχρι 2 το ξημέρωμα στην τηλεόραση. Τέρμα dramaγια την πρώτη:
αφού το f=2 Hz <=> T=0,5 sec.
έχουμε δύο διαδοχικά πλάτη, έστω ότι είναι τα Α(Ν+1) και Α(Ν) [αυτά μέσα στην παρένθεση ειναι δείκτες]. Επειδή η ταλάντωση είναι εκθετικά φθίνουσα ισχύει ότι Α(Ν+1)=Α(Ν)*e^(ΛΤ). Αντικαθιστάς σε αυτή την σχέση τα πλάτη και την τιμή της περιόδου, διαιρείς με το ένα πλάτος για να μείνει μόνη της η εκθετική, ελενίζεις και τα δύο μέλη και βρίσκεις το Λ.

atlantida
Εκκολαπτόμενο μέλος
Η atlantida αυτή τη στιγμή δεν είναι συνδεδεμένη. Είναι Φοιτήτρια. Έχει γράψει 236 μηνύματα.

30-09-22

19:38
στη συγκεκριμένη περίπτωση, επειδή έχεις Α(Ν+1)/Α(Ν), δεν υπάρχει πρόβλημα με το να μην μετατρέψεις τα μέτρα σε εκατοστά καθώς με την διαίρεση μένει μονάδα (cm/cm=1). Αλλά ναι, γενικά καλό είναι να τα μετατρέπεις στο SI για να μην γίνει κανένα λάθος.Στην αρχή μπερδευόμουν διότι δεν τα έκανα μέτρα αλλά παιδευόμουν με τα εκατοστά (λολ) αλλά το κατάλαβα soon enough.
αχ φίλη, είναι λίγο λούκι άμα βλέπεις λογαρίθμους πρώτη φορά, αλλά take it easy. Από καθαρά χρησιμοθηρική σκοπιά το μόνο που θα χρειαστείς για την φυσική και χημεία της τρίτης λυκείου είναι οι ιδιότητες του ln και του log. Δεν ξέρω αν μπορεί να σε βοηθήσει αυτό, αλλά θα μπορούσες απλώς να διαβάσεις λίγο προσεκτικά την θεωρία των λογαρίθμων της δευτέρας λυκείου και να μάθεις ψιλό-απέξω τις ιδιότητες για να τις χρησιμοποιείς όταν κάνεις πράξεις και να ξεμπερδεύεις. Πάντως, μην πανικοβάλλεσαι, τα περισσότερα παιδιά του υγείας δεν θυμούνται τίποτα από λογαρίθμους, οπότε δεν είσαι μόνη, take it easy και θα το βρεις. Κι αν χρειαστείς βοήθεια, απλώς πες το κι έφτασα.Μου ήρθε λίγο ξαφνικό όλο μιας και βλέπω πρώτη φορά λογαρίθμους αλλά I want to believe I’m slowly getting the gist of it. Εχθές οριακά έβαλα τα κλάματα και έβλεπα βιντεάκια ασκήσεων μέχρι 2 το ξημέρωμα στην τηλεόραση. Τέρμα drama![]()
Joji
Επιφανές μέλος
Η Ιωάννα αυτή τη στιγμή δεν είναι συνδεδεμένη. Είναι 22 ετών και Φοιτήτρια του τμήματος Επιστημών της Εκπαίδευσης & Κοινωνικής Εργασίας Πατρών. Έχει γράψει 8.701 μηνύματα.

02-10-22

17:49
Το d γιατί είναι σωστό;
atlantida
Εκκολαπτόμενο μέλος
Η atlantida αυτή τη στιγμή δεν είναι συνδεδεμένη. Είναι Φοιτήτρια. Έχει γράψει 236 μηνύματα.

02-10-22

18:21
γιατί το γράφει το βιβλίο basically.
αν θυμάμαι καλά, στις φθίνουσες ταλαντώσεις που εξετάζουμε στην Γ λυκείου, θεωρούμε το ω σταθερό (γιατί η μεταβολή του είναι μικρή, οπότε μπορεί να θεωρηθεί αμελητέα), άρα και η Τ είναι σταθερή.
Joji
Επιφανές μέλος
Η Ιωάννα αυτή τη στιγμή δεν είναι συνδεδεμένη. Είναι 22 ετών και Φοιτήτρια του τμήματος Επιστημών της Εκπαίδευσης & Κοινωνικής Εργασίας Πατρών. Έχει γράψει 8.701 μηνύματα.

07-10-22

18:22
α. Όταν το Σ ισορροπεί τότε έχουμε ΘΙ: ΣF=0 => -Fελ+Τν+w=0 => Fελ=Τν+w => K • Δl= Τν+mg => 100 • Δl= 20+10 => Δl=0,3m
β. Όταν κόβουμε το νήμα έχουμε ΝΘΙ. Μετράμε την νέα Δl από την ΘΦΜ χωρίς την επίδραση, πλέον, του νήματος. Θα την ορίσω ως Δlo.
ΝΘΙ: ΣF=0 => -Fελ+w=0 => Fελ= w => K • Δlo=mg => 100 • Δlo= 10 => Δlo=0,1m
Για την εύρεση του πλάτους Α, αφαιρώ από την Δl, την Δlo.
Δl-Δlo= 0,3-0,1=0,2m. Άρα το πλάτος της ταλάντωσης του σώματος Σ είναι Α=0,2m.
Για τα δυο επόμενα θα ανεβάσω αργότερα. Τα έχω λύσει αλλά βιάζομαι να φύγω και τα γράμματά μου δεν τα βγάζεις. Όποιος μπορεί να τα τσεκάρει θα του είμαι πολύ ευγνώμων

(Δεν έχω και τις απαντήσεις να σας πω αν τα αποτελέσματα τουλάχιστον είναι σωστά

Joji
Επιφανές μέλος
Η Ιωάννα αυτή τη στιγμή δεν είναι συνδεδεμένη. Είναι 22 ετών και Φοιτήτρια του τμήματος Επιστημών της Εκπαίδευσης & Κοινωνικής Εργασίας Πατρών. Έχει γράψει 8.701 μηνύματα.

08-10-22

15:28
Ότι dp/dt=ΣF πρέπει να το αποδεικνύω;
ιωαννηs
Επιφανές μέλος
Ο ιωαννηs αυτή τη στιγμή δεν είναι συνδεδεμένος. Είναι 25 ετών, Φοιτητής του τμήματος Πρόγραμμα Ιερατικών Σπουδών και μας γράφει από Πειραιάς (Αττική). Έχει γράψει 15.182 μηνύματα.

08-10-22

15:33
Τo ΣF= dP/dt ειναι ο 2ο νομος του νευτωνα..Δεν εχω δει ποτε μου αποδειξη αυτου του νομου κα μαλλον δεν υπαρχειΌτι dp/dt=ΣF πρέπει να το αποδεικνύω;
Joji
Επιφανές μέλος
Η Ιωάννα αυτή τη στιγμή δεν είναι συνδεδεμένη. Είναι 22 ετών και Φοιτήτρια του τμήματος Επιστημών της Εκπαίδευσης & Κοινωνικής Εργασίας Πατρών. Έχει γράψει 8.701 μηνύματα.

08-10-22

15:48
Ευχαριστώ πολύ

ιωαννηs
Επιφανές μέλος
Ο ιωαννηs αυτή τη στιγμή δεν είναι συνδεδεμένος. Είναι 25 ετών, Φοιτητής του τμήματος Πρόγραμμα Ιερατικών Σπουδών και μας γράφει από Πειραιάς (Αττική). Έχει γράψει 15.182 μηνύματα.

08-10-22

16:02
Οχι αυτο δεν αποτελει αποδειξη ..ειναι ενα μανιπουλεΪσον κατανοησης.
Ισως χρησιμο στο λυκειο ....αν το κανεις στο πανεπιστημιο τρως ακυρο.
Αν θες να στο γραψω αναλυτικα αργοτερα
Samael
Τιμώμενο Μέλος
Ο Samael αυτή τη στιγμή δεν είναι συνδεδεμένος. Είναι 26 ετών, Πτυχιούχος του τμήματος Ηλεκτρολόγων & Ηλεκτρονικών Μηχανικών ΠΑΔΑ και μας γράφει από Πειραιάς (Αττική). Έχει γράψει 12.043 μηνύματα.

08-10-22

16:50
Υποθέτωντας σταθερή μάζα σώματος ή/και συστήματος m, η ποσότητα Δp/Δt αναλύεται ως εξής :Ότι dp/dt=ΣF πρέπει να το αποδεικνύω;
Δp/Δt = Δ(mu)/Δt , διότι εξ'ορισμού : p = mu.
Όμως Δ(mu) = m'u' - mu = m(u'-u) = mΔu
Όπου m' η τελικά μάζα(ίση με m διότι η υπόθεση λέει αμετάβλητη μάζα), και u' η τελική ταχύτητα. Ενώ m και u η αρχική μάζα και ταχύτητα.
Άρα :
Δp/Δt = m(Δu/Δt)
Όμως η μεταβολή της ταχύτητας ορίζεται ως η επιτάχυνση :
Δu/Δt = α ,απο ορισμό.
Οπότε :
Δp/Δt = mα
Και φυσικά απο τον δεύτερο νόμο τον Νεύτωνα : ΣF = mα
Δp/Δt = ΣF
Αποδεικνύται πως εαν θεωρήσεις ταχύτητες ux,uy,uz και δυνάμεις Fx,Fy,Fz και για τις τρεις διαστάσεις του χώρου,θα ισχύει και η εξής διανυσματική σχέση :
Δp/Δt = ΣF
ή
Δp = ΣF*Δt
Το παραπάνω λέει πως η μεταβολή της ορμής που συμβαίνει σε χρονικό διάστημα Δt, θα ισούται με την μέση συνισταμένη δύναμη που ασκείται στο σώμα/σύστημα στο χρονικό αυτό διάστημα.
Στο όριο που το χρονικό διάστημα γίνεται απειρωστά μικρό, δηλαδή Δt ~= 0, η παραπάνω σχέση λέει πως ο ρυθμός μεταβολής της ορμής(Δp/Δt) μια χρονική στιγμή to, θα ισούται με την δύναμη που ασκείται στο σώμα εκείνη την στιγμή.
Προσοχή στο γεγονός πως οι ποσότητες Δp/Δt και dp/dt δεν είναι ίδιες. Η μια αφορά χρονικό διάστημα(απο t1 = to εως t2 = to+Δt) ενώ η άλλη χρονική στιγμή(t1 = to). Στο όριο που το Δt γίνεται πολύ μικρό, οι δύο ποσότητες γίνονται σχεδόν ίσες(οπότε λέμε ο,τι πρακτικά είναι ίσες).
Εγκυκλοπαιδικά συμπληρώνω πως το γινόμενο F*Δt λέγεται ώθηση, συμβολίζεται με J και μετριέται σε Ν*s ή Kg*m/s.
Η απόδειξη δεν χρειάζεται. Μπορείς να θεωρείς πως F = mα και F = dp/dt είναι το ίδιο πράγμα. Εαν και να ξέρεις πως δεν ισχύει γενικά και πως στο πλαίσιο της κλασσικής μηχανικής, η δεύτερη εκδοχή είναι πιο γενική απο την πρώτη(και επομένως "πιο σωστή").
Joji
Επιφανές μέλος
Η Ιωάννα αυτή τη στιγμή δεν είναι συνδεδεμένη. Είναι 22 ετών και Φοιτήτρια του τμήματος Επιστημών της Εκπαίδευσης & Κοινωνικής Εργασίας Πατρών. Έχει γράψει 8.701 μηνύματα.

08-10-22

17:13
Σε ευχαριστώ πάρα πολύ Sam. Μου είχαν λείψει τα σεντόνια σουΥποθέτωντας σταθερή μάζα σώματος ή/και συστήματος m, η ποσότητα Δp/Δt αναλύεται ως εξής :
Δp/Δt = Δ(mu)/Δt , διότι εξ'ορισμού : p = mu.
Όμως Δ(mu) = m'u' - mu = m(u'-u) = mΔu
Όπου m' η τελικά μάζα(ίση με m διότι η υπόθεση λέει αμετάβλητη μάζα), και u' η τελική ταχύτητα. Ενώ m και u η αρχική μάζα και ταχύτητα.
Άρα :
Δp/Δt = m(Δu/Δt)
Όμως η μεταβολή της ταχύτητας ορίζεται ως η επιτάχυνση :
Δu/Δt = α ,απο ορισμό.
Οπότε :
Δp/Δt = mα
Και φυσικά απο τον δεύτερο νόμο τον Νεύτωνα : ΣF = mα
Δp/Δt = ΣF
Αποδεικνύται πως εαν θεωρήσεις ταχύτητες ux,uy,uz και δυνάμεις Fx,Fy,Fz και για τις τρεις διαστάσεις του χώρου,θα ισχύει και η εξής διανυσματική σχέση :
Δp/Δt = ΣF
ή
Δp = ΣF*Δt
Το παραπάνω λέει πως η μεταβολή της ορμής που συμβαίνει σε χρονικό διάστημα Δt, θα ισούται με την μέση συνισταμένη δύναμη που ασκείται στο σώμα/σύστημα στο χρονικό αυτό διάστημα.
Στο όριο που το χρονικό διάστημα γίνεται απειρωστά μικρό, δηλαδή Δt ~= 0, η παραπάνω σχέση λέει πως ο ρυθμός μεταβολής της ορμής(Δp/Δt) μια χρονική στιγμή to, θα ισούται με την δύναμη που ασκείται στο σώμα εκείνη την στιγμή.
Προσοχή στο γεγονός πως οι ποσότητες Δp/Δt και dp/dt δεν είναι ίδιες. Η μια αφορά χρονικό διάστημα(απο t1 = to εως t2 = to+Δt) ενώ η άλλη χρονική στιγμή(t1 = to). Στο όριο που το Δt γίνεται πολύ μικρό, οι δύο ποσότητες γίνονται σχεδόν ίσες(οπότε λέμε ο,τι πρακτικά είναι ίσες).
Εγκυκλοπαιδικά συμπληρώνω πως το γινόμενο F*Δt λέγεται ώθηση, συμβολίζεται με J και μετριέται σε Ν*s ή Kg*m/s.
Η απόδειξη δεν χρειάζεται. Μπορείς να θεωρείς πως F = mα και F = dp/dt είναι το ίδιο πράγμα. Εαν και να ξέρεις πως δεν ισχύει γενικά και πως στο πλαίσιο της κλασσικής μηχανικής, η δεύτερη εκδοχή είναι πιο γενική απο την πρώτη(και επομένως "πιο σωστή").


Joji
Επιφανές μέλος
Η Ιωάννα αυτή τη στιγμή δεν είναι συνδεδεμένη. Είναι 22 ετών και Φοιτήτρια του τμήματος Επιστημών της Εκπαίδευσης & Κοινωνικής Εργασίας Πατρών. Έχει γράψει 8.701 μηνύματα.

08-10-22

22:05
Έλυσα το α. Συγκεκριμένα απέδειξα την ΑΑΤ και βρήκα την περίοδο Τ=0,2π s. Για το πλάτος σκέφτηκα να πάρω την σχέση ΣF=-Kx αλλά δεν έχω το χο από την Fελ. Τα έχω παίξει δεν ξέρω. Ειλικρινά.
Cade
Πολύ δραστήριο μέλος
Ο Cade αυτή τη στιγμή δεν είναι συνδεδεμένος. Είναι Απόφοιτος λυκείου. Έχει γράψει 871 μηνύματα.

08-10-22

22:39
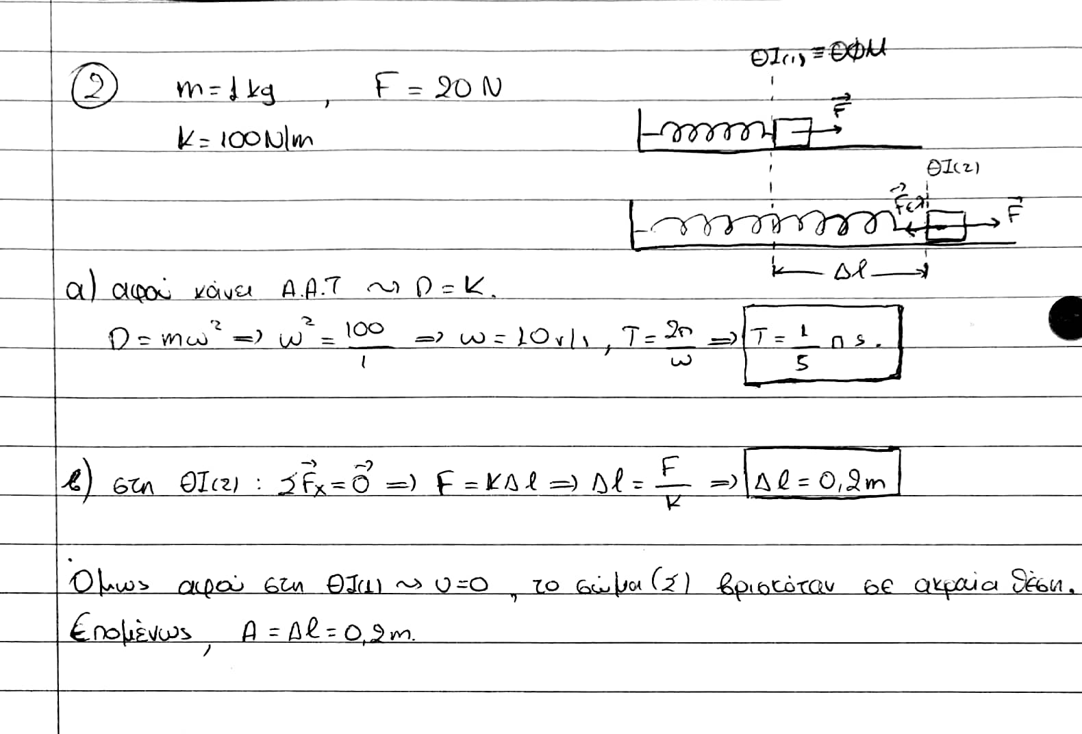
Ξέρεις ότι το σώμα τη στιγμή που του ασκείται η δύναμη F ισορροπεί (ΘΙ1). Για να βρεις το πλάτος πρεπει να σκεφτείς 2 πράγματα:View attachment 109636
Έλυσα το α. Συγκεκριμένα απέδειξα την ΑΑΤ και βρήκα την περίοδο Τ=0,2π s. Για το πλάτος σκέφτηκα να πάρω την σχέση ΣF=-Kx αλλά δεν έχω το χο από την Fελ. Τα έχω παίξει δεν ξέρω. Ειλικρινά.
1) τι πρέπει να συμβεί έτσι ώστε το σώμα να ξανά ισορροπήσει (ΘΙ2)
2) τι σχέση έχει η ΘΙ1 με τη ΘΙ2
Joji
Επιφανές μέλος
Η Ιωάννα αυτή τη στιγμή δεν είναι συνδεδεμένη. Είναι 22 ετών και Φοιτήτρια του τμήματος Επιστημών της Εκπαίδευσης & Κοινωνικής Εργασίας Πατρών. Έχει γράψει 8.701 μηνύματα.

08-10-22

23:07
Χμμ… Η ΘΙ1 είναι όταν δεν ασκούνται καθόλου δυνάμεις επάνω στο σώμα και βρίσκεται στην ΦΘΜ δηλαδή αυτές οι στο ταυτίζονται. ΘΙ2 είναι όταν ασκούνται οι δυο δυνάμεις, Fελ και F που το αναγκάζουν να ισορροπεί.Ξέρεις ότι το σώμα τη στιγμή που του ασκείται η δύναμη F ισορροπεί (ΘΙ1). Για να βρεις το πλάτος πρεπει να σκεφτείς 2 πράγματα:
1) τι πρέπει να συμβεί έτσι ώστε το σώμα να ξανά ισορροπήσει (ΘΙ2)
2) τι σχέση έχει η ΘΙ1 με τη ΘΙ2
Cade
Πολύ δραστήριο μέλος
Ο Cade αυτή τη στιγμή δεν είναι συνδεδεμένος. Είναι Απόφοιτος λυκείου. Έχει γράψει 871 μηνύματα.

08-10-22

23:16
ωραία, απ' αυτά που είπες υπολογίζεις την επιμήκυνση του ελατηρίου και βάσει της ιδιότητας που έχει η ΘΙ1 βρίσκεις το πλάτος
Joji
Επιφανές μέλος
Η Ιωάννα αυτή τη στιγμή δεν είναι συνδεδεμένη. Είναι 22 ετών και Φοιτήτρια του τμήματος Επιστημών της Εκπαίδευσης & Κοινωνικής Εργασίας Πατρών. Έχει γράψει 8.701 μηνύματα.

08-10-22

23:21
Την επιμήκυνση την υπολολογίζω από την ΘΙ2 σωστά; Η απόσταση της από την ΘΙ1 είναι χο (αρχική επιμήκυνση ελατηρίου). Το πλάτος δεν πρέπει να το βρω σε μια τυχαία θέση όπου τώρα θα τα έχω όλα και αν πάρω την σχέση ΣF=-Kx και όπου χ=Α θα μου δώσει το πλάτος αν λύσω ως προς αυτό;ωραία, απ' αυτά που είπες υπολογίζεις την επιμήκυνση του ελατηρίου και βάσει της ιδιότητας που έχει η ΘΙ1 βρίσκεις το πλάτος
Cade
Πολύ δραστήριο μέλος
Ο Cade αυτή τη στιγμή δεν είναι συνδεδεμένος. Είναι Απόφοιτος λυκείου. Έχει γράψει 871 μηνύματα.

08-10-22

23:46
ναιΤην επιμήκυνση την υπολογίζω από την ΘΙ2 σωστά;
αφού ξεκινάει με ταχύτητα μηδέν και βρίσκεται στη θέση φυσικού μήκους το πλάτος της ταλάντωσης είναι το χο.Η απόσταση της από την ΘΙ1 είναι χο (αρχική επιμήκυνση ελατηρίου). Το πλάτος δεν πρέπει να το βρω σε μια τυχαία θέση όπου τώρα θα τα έχω όλα και αν πάρω την σχέση ΣF=-Kx και όπου χ=Α θα μου δώσει το πλάτος αν λύσω ως προς αυτό;
Όμως επειδή νιώθω ότι σε μπερδεύω σου παραθέτω τη λύση να τη δεις αναλυτικά
Joji
Επιφανές μέλος
Η Ιωάννα αυτή τη στιγμή δεν είναι συνδεδεμένη. Είναι 22 ετών και Φοιτήτρια του τμήματος Επιστημών της Εκπαίδευσης & Κοινωνικής Εργασίας Πατρών. Έχει γράψει 8.701 μηνύματα.

09-10-22

00:16
Ευχαριστώ πολύ Cadeναι
αφού ξεκινάει με ταχύτητα μηδέν και βρίσκεται στη θέση φυσικού μήκους το πλάτος της ταλάντωσης είναι το χο.
Όμως επειδή νιώθω ότι σε μπερδεύω σου παραθέτω τη λύση να τη δεις αναλυτικά
View attachment 109657


Χρήστες Βρείτε παρόμοια
-
Τα παρακάτω 0 μέλη και 1 επισκέπτες διαβάζουν μαζί με εσάς αυτό το θέμα:Tα παρακάτω 310 μέλη διάβασαν αυτό το θέμα:
- Georgiaaa_
- friesnchocolate
- eftria
- Magigi
- Chrisphys
- BillyTheKid
- ck_chrysiis
- trifasikodiavasma
- GV221
- myrtle09
- Unboxholics
- Μήτσος10
- jellojina
- Hased Babis
- Joji
- Corfu kitty
- Maynard
- BatGuin
- KonstantinosP
- jYanniss
- exotic xo
- Qwerty 0
- userguest
- ioanna2007
- suaimhneas
- Debugging_Demon
- panosT436
- bibliofagos
- Scandal
- bboys
- georgetherrr
- Ness
- sophiaa
- mir
- Than003
- Vasilis125
- synthnightingale
- sakplat
- iiTzArismaltor_
- thepigod762
- Nala
- Γατέχων
- vasilis2000
- peter347
- Sofos Gerontas
- chester20080
- woasibe
- angela_k
- BiteTheDust
- Startx0
- MR WHITE
- Panatha mono
- bill09876
- Wonderkid
- Marel
- Chris180
- Claire05
- TheNorth
- estrela
- Marianna.diamanti
- love_to_learn
- carnage
- sotirislk
- ένας τυχαίος
- Lifelong Learner
- Jimpower
- Kate1914
- phleidhs
- Chemwizard
- Mara2004
- GeorgeKarag
- phoni
- Mary06
- Lia 2006
- Νομάρχης
- Γιώτα Γιαννακού
- PanosApo
- Ilovemycats27
- Jesse_
- Leo komm
- Anonymous1
- giannis256
- spring day
- Mewmaw
- Mariamar
- Pharmacist01
- Kitana
- Vicky13
- mitskification
- ΜΑΡΙΠΟΖΑ
- denjerwtithelwhelp
- Abiogenesis
- arko
- arapakos
- Marcos.Kis
- Nick_nt
- Alexecon1991
- Physicsstudent
- anna05
- katia.m
- Deneimaikala
- shezza94
- Fanimaid123
- το κοριτσι του μαη
- user-2
- tsiobieman
- Alex53
- Helen06
- T C
- eukleidhs1821
- VFD59
- xrisamikol
- lepipini
- ioanna06
- PanosBat
- rempelos42
- koukdespoina2004
- Antzie
- george777
- User2350
- qwertyuiop
- marioushi
- Nic Papalitsas
- menual
- oups
- Applepie
- eirinipap
- Jojo K
- ggl
- margik
- desp1naa
- walterrwhite
- JoannaVas
- ismember
- P.Dam.
- Χάρις
- penelopenick
- rosemary
- Steliosgkougkou
- the purge
- AnnaRd
- Signor Positivo
- onion
- cinnamongirl
- mister
- thenutritionist
- angies
- sophia<3
- Peter Pan13
- angeloskar
- Georgek7
- tapeinoxamomilaki
- Ιωάννης1234
- Praxis
- Mariahj
- Τρελας123
- Sherlockina
- Παναρας
- DimitrisGk
- Ελεν
- giannhs2001
- Idontknoww
- anakiriak@yahoo
- mpapa
- BlackBetty97
- ager
- kost28
- Eirinakiii8
- Cat lady
- Marple
- χημεια4λαιφ
- Apocalypse
- Valeris
- Vask
- Ioanna98
- ougka pougka
- GeorgePap2003
- Johanna Mark
- bruh_234
- augustine
- alpha.kappa
- Hermione granger
- constansn
- emilyfan85
- 2005
- George.S
- Dion G.
- SlimShady
- Corn90
- Meow
- Phys39
- Nick0007
- Nikoletaant
- Ameliak
- beckyy
- Rina
- Lathy
- Eleni:
- Specon
- elenaaa
- Αντικειμενικός
- Mariaathens
- panosveki
- Superhuman
- GStef
- Gewrgia!
- papa2g
- Σωτηρία
- antonis97
- Georgekk
- Dora140303
- vetas
- _Aggelos123
- Κώστας 7708
- Alexandros973
- Cortes
- Katerinaki13
- Jimmy20
- igeorgeoikonomo
- KaterinaL
- thecrazycretan
- alexandra_
- StavMed
-
Φορτώνει...
-
Το forum μας χρησιμοποιεί cookies για να βελτιστοποιήσει την εμπειρία σας.
Συνεχίζοντας την περιήγησή σας, συναινείτε στη χρήση cookies στον περιηγητή σας.