Samael
Τιμώμενο Μέλος
Κι από πού το μαντεύεις αυτό;
Δηλαδή άμα παίρνω την t=0 την στιγμή της εκτόξευσης θα μετράω την στιγμή από εκεί;
Εφοσον δεν σου δοθηκε οδηγια πως θεωρειται t=0s η στιγμη της κρουσης εσυ πρεπει θεωρησεις οτι η t=0s εναι η στιγμη της εκτοξευσης.Δηλαδη θεωρεις ως t=0s την στιγμη που ξεκιναει το πρωτο "γεγονος" που προηγειται σε σχεση με τα αλλα.Στις πανελληνιες θα ηταν καλο να ζητησεις διευκρινιση σε μια τετοια περιπτωση ασχετα που πιθανοτατα θα πρεπει να κανεις το παραπανω.Εαν και παντα ειναι παρα πολυ αναλυτικοι και δεν υπαρχουν τετοιες παρεξηγησεις δεδομενων και ζητουμενων.
Σημείωση: Το μήνυμα αυτό γράφτηκε 7 χρόνια πριν. Ο συντάκτης του πιθανόν να έχει αλλάξει απόψεις έκτοτε.
unπαικτable
Πολύ δραστήριο μέλος
Αντιθετα η αρχη διατηρησης της ενεργειας ειναι μια θεμελιωδης αρχη της φυσικης.Ενα αξιωμα εαν προτιμας,οπως και οι θερμοδυναμικοι νομοι ,και ενω δεν αποδεικνυεται,τα πειραματα δεν την εχουν διαψευσει ποτε εως τωρα οποτε δεχομαστε οτι ισχυει και μαλιστα σε καθε περιπτωση σε αντιθεση με την ΑΔΜΕ.
[Αρχη Off-Topic μυνηματος]
Η αρχη διατηρηση της ενεργειας ειναι αποτελεσμα της ανεξαρτησιας ενος συστηματος σε χρονικες προωθησεις. Γενικα καθε νομος διατηρησης σημαινει οτι το συστημα μενει αναλλοιωτο κατω απο καποιο μετασχηματισμο.
[Τελος]
Σημείωση: Το μήνυμα αυτό γράφτηκε 7 χρόνια πριν. Ο συντάκτης του πιθανόν να έχει αλλάξει απόψεις έκτοτε.
Scandal
Διαχειριστής
Σημείωση: Το μήνυμα αυτό γράφτηκε 7 χρόνια πριν. Ο συντάκτης του πιθανόν να έχει αλλάξει απόψεις έκτοτε.
Μια βοήθεια στο ερώτημα γ
Δεν μου βγαίνουν με τπτ οι απαντήσεις
Σημείωση: Το μήνυμα αυτό γράφτηκε 7 χρόνια πριν. Ο συντάκτης του πιθανόν να έχει αλλάξει απόψεις έκτοτε.
Scandal
Διαχειριστής

Σημείωση: Το μήνυμα αυτό γράφτηκε 7 χρόνια πριν. Ο συντάκτης του πιθανόν να έχει αλλάξει απόψεις έκτοτε.
crisliak ξανά βάλε λίγο ό,τι εικόνες θέλεις και θα σου ενώσω μετά τα μηνύματα γιατί κάναμε μαζί edit και κάποια φωτο χάθηκε![]()
Δεννμπορω να βγάλω το γ ερώτηματα αλλά τα έκανα
Σημείωση: Το μήνυμα αυτό γράφτηκε 7 χρόνια πριν. Ο συντάκτης του πιθανόν να έχει αλλάξει απόψεις έκτοτε.
Samael
Τιμώμενο Μέλος
Δεννμπορω να βγάλω το γ ερώτηματα αλλά τα έκανα
Βαζεις οπου t = π/30 στην εξισωση που βρηκες στο β.
Προκυπτει οτι ΣF=0. Αρα το συσσωματωμα βρισκεται στη Θ.Ι. της ταλαντωσης(οχι στη θεση φυσικου μηκους ελατηριου) και επομενως :
Uελ = (1/2)kΔl² = 0,5*100*(0.4)^2 = 0.5*0.16*100 = 5*1.6 = 8 J
U = 0 J
Διοτι κ = 100 N/m και Δl = 0.4m (μηκος συμπιεσης ελατηριου λογω του βαρους των σωματων).
Σημείωση: Το μήνυμα αυτό γράφτηκε 7 χρόνια πριν. Ο συντάκτης του πιθανόν να έχει αλλάξει απόψεις έκτοτε.
seferhs2001
Εκκολαπτόμενο μέλος
Αυτές τις μέρες αγχώνομαι ιδιαίτερα όσον αφορά τις πανελλαδικές, ακούγοντας διάφορα περί των απαραίτητων αιτιολογήσεων (όχι μόνο στη φυσική, αλλά σε όλα τα πανελλαδικώς εξεταζόμενα μαθηματα). Είναι αλήθεια ότι για να πετύχει κάποιος υψηλή βαθμολογία πρέπει να αιτιολογεί καθετί που γράφει; Και αν ναι, μέχρι ποιο σημείο χρειάζεται αιτιολόγηση, για να μην θεωρηθεί πλεονασμός ή έλλειψη κριτικής ικανότητας; Υπάρχουν κάπου (σε κάποιο σάιτ πχ) μαζεμένες οδηγίες για το πώς πρέπει να αιτιολογούμε;Σημείωση: Το μήνυμα αυτό γράφτηκε 6 χρόνια πριν. Ο συντάκτης του πιθανόν να έχει αλλάξει απόψεις έκτοτε.
Γατόπαρδος.
Πολύ δραστήριο μέλος
Σημείωση: Το μήνυμα αυτό γράφτηκε 6 χρόνια πριν. Ο συντάκτης του πιθανόν να έχει αλλάξει απόψεις έκτοτε.
seferhs2001
Εκκολαπτόμενο μέλος
Σε ευχαριστώ πολύ!! Θα προσπαθήσω να το εφαρμόσωΚοίτα για να καταλάβεις στο περίπου πότε πρέπει να αιτιολογείς κάνε το παρακάτω.Όταν έχεις να λύσεις μια άσκηση δεν πρέπει να αφήνεις περιθώρια στον διορθωτή να σκεφτεί τί ακριβώς εφαρμόζεις στη λύση σου .Να είσαι ξεκάθαρος.Δηλαδή για παράδειγμα αν σε μία άσκηση πρέπει να εφαρμόσεις ΘΜΚΕ μην πετάξεις ένα ξερό Kτελ-Καρχ=έργα .Να πείς Εφαρμόζω ΘΜΚΕ για τις θέσεις τάδε (τις οποίες θα έχεις σημειώσει στο σχήμα σου).Επίσης αν μία δύναμη δεν παράγει έργο πες το λόγο κτλ.Να μην αφήνεις καμία αμφιβολία στον βαθμολογητή ότι έκανες κάτι μηχανικά χωρίς να καταλαβαίνεις .Πρόσεχε όμως μην το παρακάνεις και γίνεσαι φλύαρος απλά αρκεί μια γραμμή όπως προανέφερα στο παράδειγμα.Επίσης μεγάλη σημασία παίζει και ο γραφικός χαρακτήρας .Φρόντισε τα γράμματα σου να είναι όσο το δυνατόν πιο ευανάγνωστα.Γενικά η συνολική εικόνα του γραπτού σου αν είναι καλή είναι μεγάλο συν για σένα ως προς την βαθμολόγηση.Γιαυτό το σχήμα πρέπει να είναι σχεδιασμένο με χάρακα.Όλα αυτά μαζί πιστεύω ότι συμβάλλουν στο να πιάσεις το απόλυτο 20 (τουλάχιστον εγώ τα εφάρμοσα και τις δύο φορές που έδωσα και πήρα και τις δύο 100) .Καλό διάβασμα!

Σημείωση: Το μήνυμα αυτό γράφτηκε 6 χρόνια πριν. Ο συντάκτης του πιθανόν να έχει αλλάξει απόψεις έκτοτε.
vanessa99
Δραστήριο μέλος
Για να βρω την διεύθυνση της έντασης του μαγνητικού πεδίου σε ένα σημείο, δουλεύω πάλι με τον κανόνα του δεξιού χεριού για κάθε αγωγό?
Σημείωση: Το μήνυμα αυτό γράφτηκε 6 χρόνια πριν. Ο συντάκτης του πιθανόν να έχει αλλάξει απόψεις έκτοτε.
spring day
Εκκολαπτόμενο μέλος
Dias
Επιφανές μέλος
spring day
Εκκολαπτόμενο μέλος
Samael
Τιμώμενο Μέλος
Κάτι δεν μου κάθεται με τις απαντήσεις, βγαίνουν πολύ στρογγυλές ενώ εμένα με λίγα δεκαδικά, π.χ. 11 κόμμα κάτι αντί για 10Μήπως μπορεί να με βοηθήσει καποιος στην 169?
...Samael
Τιμώμενο Μέλος
Άκυρο την έλεγξα ξανά. Είχα λάθος έναν πολλαπλασιασμό και χάλαγε τα νούμεραΚάτι δεν μου κάθεται με τις απαντήσεις, βγαίνουν πολύ στρογγυλές ενώ εμένα με λίγα δεκαδικά, π.χ. 11 κόμμα κάτι αντί για 10...
.Ερώτημα Α :
Απο την αρχή διατήρησης της στροφορμής θα έχεις :
Lαρχ = Lτελ
RmUo = I'ω
RmUo = (0.5MR² +mR²)u/R
RmUo = R(0.5M + m)u
mUo = (0.5M + m)u
0.5Kg*Uo = (0.5*4Kg + 0.5Kg)u
Uo = 5u (1)
Όπου u είναι η ταχύτητα που έχει η σφαίρα την χρονική στιγμή που καρφώνεται στο κατώτατο μέρος του κυλίνδρου.
Η προϋπόθεση για να έχουμε ανακύκλωση περιστροφής είναι το βλήμα να φέρει αρκετή ενέργεια ώστε να είναι σε θέση να περιστρέψει κατά 180°τον κύλινδρο. Όταν η σφαίρα σφηνωθεί στον κύλινδρο λοιπόν θα τον εξαναγκάσει να περιστραφεί γύρω απο τον άξονα στο κέντρο του, με γωνιακή ταχύτητα ω, κοινή και για το βλήμα αλλά και για τον κύλινδρο(σημαντικό αυτό), μα όχι και σταθερή συναρτήσει του χρόνου.
Τι ασκεί ροπή στον κύλινδρο κατά την περιστροφή του λοιπόν που μεταβάλλει την γωνιακή του ταχύτητα ; Η απάντηση είναι απλή. Το σώμα της σφαίρας, εξαιτίας του βάρους της, και της θέσης που έχει στο σώμα του κυλίνδρου. Καθώς ο κύλινδρος ξεκινάει να περιστρέφεται, το βάρος της σφαίρας ασκεί μια ροπή που τείνει να περιστρέψει τον κύλινδρο προς την αντίθετη φορά απο αυτή της αρχικής περιστροφικής κίνησης.
Αυτό μετατρέπει την κινητική ενέργεια του κυλίνδρου και της σφαίρας, σε δυναμική ενέργεια της σφαίρας, και τείνει να διακόψει την περιστροφή του στερεού. Εαν ο κύλινδρος καταφέρει να περιστραφεί 180°, δηλαδή η σφαίρα να φτάσει απο το κατώτατο σημείο της κυκλικής τροχιάς της στο ανώτατο, με τουλάχιστον μηδενική ταχύτητα...τότε θα καταφέρει να ξεπεράσει τις 180°.
Οπότε όταν η σφαίρα επιστρέψει στο αρχικό σημείο της τροχιά της(όπου ξεκίνησε), θα έχει πάλι την ίδια κινητική ενέργεια που είχε αρχικά. Ότι έχασε στην "ανηφόρα", θα το κερδίσει στην "κατηφόρα" φαντάσου διαισθητικά. Δηλαδή πέρα απο τις 180° περιστροφής της σφαίρας, το βάρος της πλέον δεν θα καταναλώνει έργο αλλά θα παράγει. Που θα την βρει την ενέργεια όμως ; Απο την αποθηκευμένη δυναμική ενέργεια της σφαίρας φυσικά. Θα αρχίσει να την μετατρέπει σε κινητική ενέργεια σφαίρας και κυλίνδρου. Το φαινόμενο θα επαναληφθεί δεδομένου της απουσίας τριβών επ'άπειρον. Και έτσι θα είναι ένα περιοδικό φαινόμενο, που σημαίνει και ανακύκλωση. Ελπίζω η φυσική διαίσθηση να είναι ξεκάθαρη.
Έτσι λοιπόν έχουμε για τις ενέργειες του συστήματος κυλίνδρου- σφαίρας :
Kκυλίνδρου = 0.5Ιω²
Κσφαίρας = 0.5mu²
Uσφαίρας = mgh
Θυμίζουμε εδώ οτι η γωνιακή ταχύτητα συνδέεται με την γραμμική ταχύτητα ως εξής : u = ωR.
Απο την αρχή διατήρησης της ενέργειας για την κατώτατη και ανώτατη θέση της τροχιάς της σφαίρας :
Kαρχ + Uαρχ = Kτελ + Uτελ =>
0.5Ιω² + 0.5mu² + 0 = 0 + mg2R =>
Iω² + mu² = mg4R =>
Iω² + mω²R² = mg4R =>
ω²(I+mR²) = mg4R =>
ω² = 4mgR/(I+mR²) =>
ω² = 4*(1/2)*10*(1/2)/(5/8) =>
ω² = 10*8/5 = 16
ω = 4 rad/s (2)
ωR = 4*0.5 = 2 m/s =>
u = 2 m/s (3)
Οπότε απο την εξίσωση 1,και λόγω της (3) :
Uo = 5*u = 10 m/s
Ερώτημα Β :
Απλά αφαιρούμε την τελική κινητική ενέργεια του βλήματος απο την αρχική του(προσοχή μόνο τις κινητικές ενέργειες του βλήματος) :
Kσφ(αρχ) - Κσφ(τελ) =
0.5mUo² - 0.5mu² =
(1/2)(1/2)[(10m/s)² - (2m/s)²] =
(96m/s²)/4 =
24J
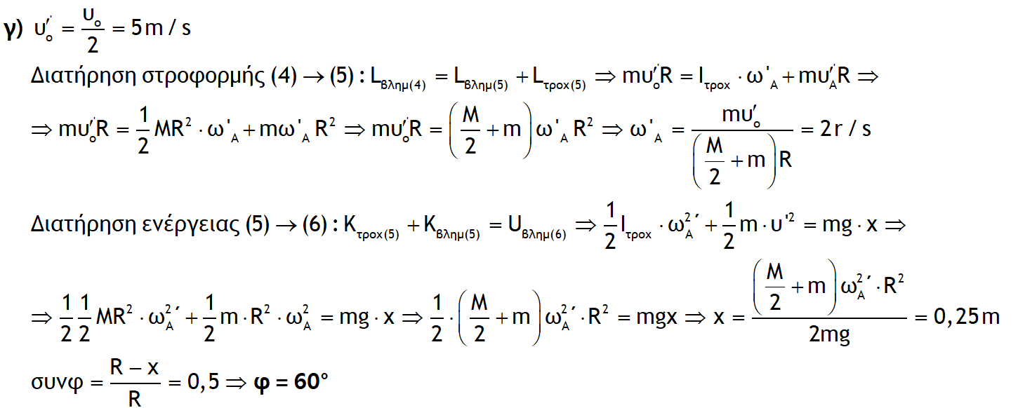
Ερώτημα Γ :
Εφόσον η σφαίρα πριν σφηνωθεί στον κύλινδρο, έχει αρχική ταχύτητα Uo/2 = 5m/s < 10m/s ...είναι σίγουρο οτι ο κύλινδρος δεν θα κάνει ανακύκλωση. Σε αυτό το σημείο η σφαίρα θα έχει φτάσει σε σημείο h πάνω απο το κατώτερο σημείο του κυλίνδρου. Απο την αρχή διατήρησης της στροφορμής(εξίσωση 1), θα βρούμε την ταχύτητα της σφαίρας αμέσως μετά την στιγμή που σφηνώθηκε :
u = Uαρχ/5 =>
u = Uo/2*5 =>
u = Uo/10 =>
u = (10m/s)/10 =>
u = 1 m/s
Εν συνεχεία κάνουμε ΑΔΜΕ ανάμεσα στην θέση που σφηνώνεται αρχικά η σφαίρα, και στην θέση που σταματά η σφαίρα να κινείται. Θα είναι προφανώς το σημείο που όλη η αρχική κινητική ενέργεια τόσο κυλίνδρου όσο και σφαίρας, έχουν μετατραπεί πλήρως σε δυναμική ενέργεια της σφαίρας.
Καρχ + Uαρχ = Kτελ + Uτελ
0.5Iω² + 0.5mu² = mgh =>
h = (0.5/mg)(Iω²+mu²) =>
h = (0.5/mg)(Iu²/R²+u²) =>
h = ( 0.5/0.5*10 )[ 0.5*(1m/s)²/0.5² + 0.5(1m/s)² ] =>
h = 1/4
Απο εδώ και με λίγη τριγωνομετρία(κάνε το σχήμα), προκύπτει οτι :
cosθ = (R-h)/R =>
cosθ = (0.5 - 0.25)/0.5 =>
cosθ = 0.5 =>
θ = 60°
Αν κάτι δεν είναι ξεκάθαρο πες μου να το συζητήσουμε.
Dias
Επιφανές μέλος
@oups άλλη φορά μη βάλεις ξαπλωτή την εκφώνηση γιατί στραβολαίμιασα.
Άκυρο την έλεγξα ξανά. Είχα λάθος έναν πολλαπλασιασμό και χάλαγε τα νούμερα.
Ερώτημα Α :
Απο την αρχή διατήρησης της στροφορμής θα έχεις :
Lαρχ = Lτελ
RmUo = I'ω
RmUo = (0.5MR² +mR²)u/R
RmUo = R(0.5M + m)u
mUo = (0.5M + m)u
0.5Kg*Uo = (0.5*4Kg + 0.5Kg)u
Uo = 5u (1)
Όπου u είναι η ταχύτητα που έχει η σφαίρα την χρονική στιγμή που καρφώνεται στο κατώτατο μέρος του κυλίνδρου.
Η προϋπόθεση για να έχουμε ανακύκλωση περιστροφής είναι το βλήμα να φέρει αρκετή ενέργεια ώστε να είναι σε θέση να περιστρέψει κατά 180°τον κύλινδρο. Όταν η σφαίρα σφηνωθεί στον κύλινδρο λοιπόν θα τον εξαναγκάσει να περιστραφεί γύρω απο τον άξονα στο κέντρο του, με γωνιακή ταχύτητα ω, κοινή και για το βλήμα αλλά και για τον κύλινδρο(σημαντικό αυτό), μα όχι και σταθερή συναρτήσει του χρόνου.
Τι ασκεί ροπή στον κύλινδρο κατά την περιστροφή του λοιπόν που μεταβάλλει την γωνιακή του ταχύτητα ; Η απάντηση είναι απλή. Το σώμα της σφαίρας, εξαιτίας του βάρους της, και της θέσης που έχει στο σώμα του κυλίνδρου. Καθώς ο κύλινδρος ξεκινάει να περιστρέφεται, το βάρος της σφαίρας ασκεί μια ροπή που τείνει να περιστρέψει τον κύλινδρο προς την αντίθετη φορά απο αυτή της αρχικής περιστροφικής κίνησης.
Αυτό μετατρέπει την κινητική ενέργεια του κυλίνδρου και της σφαίρας, σε δυναμική ενέργεια της σφαίρας, και τείνει να διακόψει την περιστροφή του στερεού. Εαν ο κύλινδρος καταφέρει να περιστραφεί 180°, δηλαδή η σφαίρα να φτάσει απο το κατώτατο σημείο της κυκλικής τροχιάς της στο ανώτατο, με τουλάχιστον μηδενική ταχύτητα...τότε θα καταφέρει να ξεπεράσει τις 180°.
Οπότε όταν η σφαίρα επιστρέψει στο αρχικό σημείο της τροχιά της(όπου ξεκίνησε), θα έχει πάλι την ίδια κινητική ενέργεια που είχε αρχικά. Ότι έχασε στην "ανηφόρα", θα το κερδίσει στην "κατηφόρα" φαντάσου διαισθητικά. Δηλαδή πέρα απο τις 180° περιστροφής της σφαίρας, το βάρος της πλέον δεν θα καταναλώνει έργο αλλά θα παράγει. Που θα την βρει την ενέργεια όμως ; Απο την αποθηκευμένη δυναμική ενέργεια της σφαίρας φυσικά. Θα αρχίσει να την μετατρέπει σε κινητική ενέργεια σφαίρας και κυλίνδρου. Το φαινόμενο θα επαναληφθεί δεδομένου της απουσίας τριβών επ'άπειρον. Και έτσι θα είναι ένα περιοδικό φαινόμενο, που σημαίνει και ανακύκλωση. Ελπίζω η φυσική διαίσθηση να είναι ξεκάθαρη.
Έτσι λοιπόν έχουμε για τις ενέργειες του συστήματος κυλίνδρου- σφαίρας :
Kκυλίνδρου = 0.5Ιω²
Κσφαίρας = 0.5mu²
Uσφαίρας = mgh
Θυμίζουμε εδώ οτι η γωνιακή ταχύτητα συνδέεται με την γραμμική ταχύτητα ως εξής : u = ωR.
Απο την αρχή διατήρησης της ενέργειας για την κατώτατη και ανώτατη θέση της τροχιάς της σφαίρας :
Kαρχ + Uαρχ = Kτελ + Uτελ =>
0.5Ιω² + 0.5mu² + 0 = 0 + mg2R =>
Iω² + mu² = mg4R =>
Iω² + mω²R² = mg4R =>
ω²(I+mR²) = mg4R =>
ω² = 4mgR/(I+mR²) =>
ω² = 4*(1/2)*10*(1/2)/(5/8) =>
ω² = 10*8/5 = 16
ω = 4 rad/s (2)
ωR = 4*0.5 = 2 m/s =>
u = 2 m/s (3)
Οπότε απο την εξίσωση 1,και λόγω της (3) :
Uo = 5*u = 10 m/s
Ερώτημα Β :
Απλά αφαιρούμε την τελική κινητική ενέργεια του βλήματος απο την αρχική του(προσοχή μόνο τις κινητικές ενέργειες του βλήματος) :
Kσφ(αρχ) - Κσφ(τελ) =
0.5mUo² - 0.5mu² =
(1/2)(1/2)[(10m/s)² - (2m/s)²] =
(96m/s²)/4 =
24J
Ερώτημα Γ :
Εφόσον η σφαίρα πριν σφηνωθεί στον κύλινδρο, έχει αρχική ταχύτητα Uo/2 = 5m/s < 10m/s ...είναι σίγουρο οτι ο κύλινδρος δεν θα κάνει ανακύκλωση. Σε αυτό το σημείο η σφαίρα θα έχει φτάσει σε σημείο h πάνω απο το κατώτερο σημείο του κυλίνδρου. Απο την αρχή διατήρησης της στροφορμής(εξίσωση 1), θα βρούμε την ταχύτητα της σφαίρας αμέσως μετά την στιγμή που σφηνώθηκε :
u = Uαρχ/5 =>
u = Uo/2*5 =>
u = Uo/10 =>
u = (10m/s)/10 =>
u = 1 m/s
Εν συνεχεία κάνουμε ΑΔΜΕ ανάμεσα στην θέση που σφηνώνεται αρχικά η σφαίρα, και στην θέση που σταματά η σφαίρα να κινείται. Θα είναι προφανώς το σημείο που όλη η αρχική κινητική ενέργεια τόσο κυλίνδρου όσο και σφαίρας, έχουν μετατραπεί πλήρως σε δυναμική ενέργεια της σφαίρας.
Καρχ + Uαρχ = Kτελ + Uτελ
0.5Iω² + 0.5mu² = mgh =>
h = (0.5/mg)(Iω²+mu²) =>
h = (0.5/mg)(Iu²/R²+u²) =>
h = ( 0.5/0.5*10 )[ 0.5*(1m/s)²/0.5² + 0.5(1m/s)² ] =>
h = 1/4
Απο εδώ και με λίγη τριγωνομετρία(κάνε το σχήμα), προκύπτει οτι :
cosθ = (R-h)/R =>
cosθ = (0.5 - 0.25)/0.5 =>
cosθ = 0.5 =>
θ = 60°
Αν κάτι δεν είναι ξεκάθαρο πες μου να το
Ευχαριστώ πολύ. Δεν είχα καταλάβει τι γινόταν με την κοινή ωΆκυρο την έλεγξα ξανά. Είχα λάθος έναν πολλαπλασιασμό και χάλαγε τα νούμερα.
Ερώτημα Α :
Απο την αρχή διατήρησης της στροφορμής θα έχεις :
Lαρχ = Lτελ
RmUo = I'ω
RmUo = (0.5MR² +mR²)u/R
RmUo = R(0.5M + m)u
mUo = (0.5M + m)u
0.5Kg*Uo = (0.5*4Kg + 0.5Kg)u
Uo = 5u (1)
Όπου u είναι η ταχύτητα που έχει η σφαίρα την χρονική στιγμή που καρφώνεται στο κατώτατο μέρος του κυλίνδρου.
Η προϋπόθεση για να έχουμε ανακύκλωση περιστροφής είναι το βλήμα να φέρει αρκετή ενέργεια ώστε να είναι σε θέση να περιστρέψει κατά 180°τον κύλινδρο. Όταν η σφαίρα σφηνωθεί στον κύλινδρο λοιπόν θα τον εξαναγκάσει να περιστραφεί γύρω απο τον άξονα στο κέντρο του, με γωνιακή ταχύτητα ω, κοινή και για το βλήμα αλλά και για τον κύλινδρο(σημαντικό αυτό), μα όχι και σταθερή συναρτήσει του χρόνου.
Τι ασκεί ροπή στον κύλινδρο κατά την περιστροφή του λοιπόν που μεταβάλλει την γωνιακή του ταχύτητα ; Η απάντηση είναι απλή. Το σώμα της σφαίρας, εξαιτίας του βάρους της, και της θέσης που έχει στο σώμα του κυλίνδρου. Καθώς ο κύλινδρος ξεκινάει να περιστρέφεται, το βάρος της σφαίρας ασκεί μια ροπή που τείνει να περιστρέψει τον κύλινδρο προς την αντίθετη φορά απο αυτή της αρχικής περιστροφικής κίνησης.
Αυτό μετατρέπει την κινητική ενέργεια του κυλίνδρου και της σφαίρας, σε δυναμική ενέργεια της σφαίρας, και τείνει να διακόψει την περιστροφή του στερεού. Εαν ο κύλινδρος καταφέρει να περιστραφεί 180°, δηλαδή η σφαίρα να φτάσει απο το κατώτατο σημείο της κυκλικής τροχιάς της στο ανώτατο, με τουλάχιστον μηδενική ταχύτητα...τότε θα καταφέρει να ξεπεράσει τις 180°.
Οπότε όταν η σφαίρα επιστρέψει στο αρχικό σημείο της τροχιά της(όπου ξεκίνησε), θα έχει πάλι την ίδια κινητική ενέργεια που είχε αρχικά. Ότι έχασε στην "ανηφόρα", θα το κερδίσει στην "κατηφόρα" φαντάσου διαισθητικά. Δηλαδή πέρα απο τις 180° περιστροφής της σφαίρας, το βάρος της πλέον δεν θα καταναλώνει έργο αλλά θα παράγει. Που θα την βρει την ενέργεια όμως ; Απο την αποθηκευμένη δυναμική ενέργεια της σφαίρας φυσικά. Θα αρχίσει να την μετατρέπει σε κινητική ενέργεια σφαίρας και κυλίνδρου. Το φαινόμενο θα επαναληφθεί δεδομένου της απουσίας τριβών επ'άπειρον. Και έτσι θα είναι ένα περιοδικό φαινόμενο, που σημαίνει και ανακύκλωση. Ελπίζω η φυσική διαίσθηση να είναι ξεκάθαρη.
Έτσι λοιπόν έχουμε για τις ενέργειες του συστήματος κυλίνδρου- σφαίρας :
Kκυλίνδρου = 0.5Ιω²
Κσφαίρας = 0.5mu²
Uσφαίρας = mgh
Θυμίζουμε εδώ οτι η γωνιακή ταχύτητα συνδέεται με την γραμμική ταχύτητα ως εξής : u = ωR.
Απο την αρχή διατήρησης της ενέργειας για την κατώτατη και ανώτατη θέση της τροχιάς της σφαίρας :
Kαρχ + Uαρχ = Kτελ + Uτελ =>
0.5Ιω² + 0.5mu² + 0 = 0 + mg2R =>
Iω² + mu² = mg4R =>
Iω² + mω²R² = mg4R =>
ω²(I+mR²) = mg4R =>
ω² = 4mgR/(I+mR²) =>
ω² = 4*(1/2)*10*(1/2)/(5/8) =>
ω² = 10*8/5 = 16
ω = 4 rad/s (2)
ωR = 4*0.5 = 2 m/s =>
u = 2 m/s (3)
Οπότε απο την εξίσωση 1,και λόγω της (3) :
Uo = 5*u = 10 m/s
Ερώτημα Β :
Απλά αφαιρούμε την τελική κινητική ενέργεια του βλήματος απο την αρχική του(προσοχή μόνο τις κινητικές ενέργειες του βλήματος) :
Kσφ(αρχ) - Κσφ(τελ) =
0.5mUo² - 0.5mu² =
(1/2)(1/2)[(10m/s)² - (2m/s)²] =
(96m/s²)/4 =
24J
Ερώτημα Γ :
Εφόσον η σφαίρα πριν σφηνωθεί στον κύλινδρο, έχει αρχική ταχύτητα Uo/2 = 5m/s < 10m/s ...είναι σίγουρο οτι ο κύλινδρος δεν θα κάνει ανακύκλωση. Σε αυτό το σημείο η σφαίρα θα έχει φτάσει σε σημείο h πάνω απο το κατώτερο σημείο του κυλίνδρου. Απο την αρχή διατήρησης της στροφορμής(εξίσωση 1), θα βρούμε την ταχύτητα της σφαίρας αμέσως μετά την στιγμή που σφηνώθηκε :
u = Uαρχ/5 =>
u = Uo/2*5 =>
u = Uo/10 =>
u = (10m/s)/10 =>
u = 1 m/s
Εν συνεχεία κάνουμε ΑΔΜΕ ανάμεσα στην θέση που σφηνώνεται αρχικά η σφαίρα, και στην θέση που σταματά η σφαίρα να κινείται. Θα είναι προφανώς το σημείο που όλη η αρχική κινητική ενέργεια τόσο κυλίνδρου όσο και σφαίρας, έχουν μετατραπεί πλήρως σε δυναμική ενέργεια της σφαίρας.
Καρχ + Uαρχ = Kτελ + Uτελ
0.5Iω² + 0.5mu² = mgh =>
h = (0.5/mg)(Iω²+mu²) =>
h = (0.5/mg)(Iu²/R²+u²) =>
h = ( 0.5/0.5*10 )[ 0.5*(1m/s)²/0.5² + 0.5(1m/s)² ] =>
h = 1/4
Απο εδώ και με λίγη τριγωνομετρία(κάνε το σχήμα), προκύπτει οτι :
cosθ = (R-h)/R =>
cosθ = (0.5 - 0.25)/0.5 =>
cosθ = 0.5 =>
θ = 60°
Αν κάτι δεν είναι ξεκάθαρο πες μου να το συζητήσουμε.
Ευχαριστώ πολύ, το σχήμα ήταν ιδιαίτερα βοηθητικό. Την επόμενη φορά θα στείλω την φωτογραφία σωστά.Να δώσω λύση με άλλο τρόπο γραφής και με σχήματα; (Συγνώμη Samael).
@oups άλλη φορά μη βάλεις ξαπλωτή την εκφώνηση γιατί στραβολαίμιασα.
View attachment 100565
View attachment 100566
View attachment 100567
View attachment 100569
Dias
Επιφανές μέλος
Είχα έναν καθηγητή που το σλόγκαν του ήταν:το σχήμα ήταν ιδιαίτερα βοηθητικό.
<<Σε όλα τα θέματα της Φυσικής το Σχήμα είναι Απαραίτητο και Υποχρεωτικό>>
Χρήστες Βρείτε παρόμοια
-
Τα παρακάτω 0 μέλη και 1 επισκέπτες διαβάζουν μαζί με εσάς αυτό το θέμα:Tα παρακάτω 309 μέλη διάβασαν αυτό το θέμα:
- Georgiaaa_
- friesnchocolate
- eftria
- Magigi
- Chrisphys
- BillyTheKid
- ck_chrysiis
- trifasikodiavasma
- GV221
- Unboxholics
- Μήτσος10
- jellojina
- Hased Babis
- Joji
- Corfu kitty
- Maynard
- BatGuin
- KonstantinosP
- jYanniss
- exotic xo
- Qwerty 0
- userguest
- ioanna2007
- suaimhneas
- Debugging_Demon
- panosT436
- bibliofagos
- Scandal
- bboys
- georgetherrr
- Ness
- sophiaa
- mir
- Than003
- Vasilis125
- synthnightingale
- sakplat
- iiTzArismaltor_
- thepigod762
- Nala
- Γατέχων
- vasilis2000
- peter347
- Sofos Gerontas
- chester20080
- woasibe
- angela_k
- BiteTheDust
- Startx0
- MR WHITE
- Panatha mono
- bill09876
- Wonderkid
- Marel
- Chris180
- Claire05
- TheNorth
- estrela
- Marianna.diamanti
- love_to_learn
- carnage
- sotirislk
- ένας τυχαίος
- Lifelong Learner
- Jimpower
- Kate1914
- phleidhs
- Chemwizard
- Mara2004
- GeorgeKarag
- phoni
- Mary06
- Lia 2006
- Νομάρχης
- Γιώτα Γιαννακού
- PanosApo
- Ilovemycats27
- Jesse_
- Leo komm
- Anonymous1
- giannis256
- spring day
- Mewmaw
- Mariamar
- Pharmacist01
- Kitana
- Vicky13
- mitskification
- ΜΑΡΙΠΟΖΑ
- denjerwtithelwhelp
- Abiogenesis
- arko
- arapakos
- Marcos.Kis
- Nick_nt
- Alexecon1991
- Physicsstudent
- anna05
- katia.m
- Deneimaikala
- shezza94
- Fanimaid123
- το κοριτσι του μαη
- user-2
- tsiobieman
- Alex53
- Helen06
- T C
- eukleidhs1821
- VFD59
- xrisamikol
- lepipini
- ioanna06
- PanosBat
- rempelos42
- koukdespoina2004
- Antzie
- george777
- User2350
- qwertyuiop
- marioushi
- Nic Papalitsas
- menual
- oups
- Applepie
- eirinipap
- Jojo K
- ggl
- margik
- desp1naa
- walterrwhite
- JoannaVas
- ismember
- P.Dam.
- Χάρις
- penelopenick
- rosemary
- Steliosgkougkou
- the purge
- AnnaRd
- Signor Positivo
- onion
- cinnamongirl
- mister
- thenutritionist
- angies
- sophia<3
- Peter Pan13
- angeloskar
- Georgek7
- tapeinoxamomilaki
- Ιωάννης1234
- Praxis
- Mariahj
- Τρελας123
- Sherlockina
- Παναρας
- DimitrisGk
- Ελεν
- giannhs2001
- Idontknoww
- anakiriak@yahoo
- mpapa
- BlackBetty97
- ager
- kost28
- Eirinakiii8
- Cat lady
- Marple
- χημεια4λαιφ
- Apocalypse
- Valeris
- Vask
- Ioanna98
- ougka pougka
- GeorgePap2003
- Johanna Mark
- bruh_234
- augustine
- alpha.kappa
- Hermione granger
- constansn
- emilyfan85
- 2005
- George.S
- Dion G.
- SlimShady
- Corn90
- Meow
- Phys39
- Nick0007
- Nikoletaant
- Ameliak
- beckyy
- Rina
- Lathy
- Eleni:
- Specon
- elenaaa
- Αντικειμενικός
- Mariaathens
- panosveki
- Superhuman
- GStef
- Gewrgia!
- papa2g
- Σωτηρία
- antonis97
- Georgekk
- Dora140303
- vetas
- _Aggelos123
- Κώστας 7708
- Alexandros973
- Cortes
- Katerinaki13
- Jimmy20
- igeorgeoikonomo
- KaterinaL
- thecrazycretan
- alexandra_
- StavMed
-
Φορτώνει...
-
Το forum μας χρησιμοποιεί cookies για να βελτιστοποιήσει την εμπειρία σας.
Συνεχίζοντας την περιήγησή σας, συναινείτε στη χρήση cookies στον περιηγητή σας.
Αρχική Forum
Ρωτήστε κάτι
Προσωπικές Συζητήσεις
Πανελλαδικές
Αγγελίες
Συνδεδεμένοι Χρήστες
Λίστα Αποκλεισμένων
Υπεύθυνοι του Forum
e-steki
