Dias
Επιφανές μέλος
Ο Dias αυτή τη στιγμή δεν είναι συνδεδεμένος. Είναι Καθηγητής κι έχει σπουδάσει στο τμήμα Φυσικής ΕΚΠΑ (Αθήνα). Έχει γράψει 10.785 μηνύματα.
18-12-23
13:53
Dias
Επιφανές μέλος
Ο Dias αυτή τη στιγμή δεν είναι συνδεδεμένος. Είναι Καθηγητής κι έχει σπουδάσει στο τμήμα Φυσικής ΕΚΠΑ (Αθήνα). Έχει γράψει 10.785 μηνύματα.
28-12-23
18:29
Γράψε και κάτι άλλο εκτός από εκφωνήσεις για να σε γνωρίσουμε...
Marel
Νεοφερμένο μέλος
Η Marel αυτή τη στιγμή δεν είναι συνδεδεμένη. Είναι 19 ετών και Φοιτήτρια του τμήματος Ψυχολογίας ΕΚΠΑ. Έχει γράψει 92 μηνύματα.
28-12-23
18:42
Αυτόματη ένωση συνεχόμενων μηνυμάτων:
Ευχαριστώ πολύ! Κάτι σκέφτομαι θα δω...
Dias
Επιφανές μέλος
Ο Dias αυτή τη στιγμή δεν είναι συνδεδεμένος. Είναι Καθηγητής κι έχει σπουδάσει στο τμήμα Φυσικής ΕΚΠΑ (Αθήνα). Έχει γράψει 10.785 μηνύματα.
28-12-23
19:15
Δες το μήνυμα 569 του πιο κάτω θέματος. Έχει τα ερωτήματα της άσκησής σου και άλλα ακόμα.
Ενδιαφέροντα προβλήματα φυσικής, μαθηματικών και μηχανικής | Page 29 | iSchool
Μην τα θέλει όλα στο πιάτο.
Ενδιαφέροντα προβλήματα φυσικής, μαθηματικών και μηχανικής | Page 29 | iSchool
Μην τα θέλει όλα στο πιάτο.
Dias
Επιφανές μέλος
Ο Dias αυτή τη στιγμή δεν είναι συνδεδεμένος. Είναι Καθηγητής κι έχει σπουδάσει στο τμήμα Φυσικής ΕΚΠΑ (Αθήνα). Έχει γράψει 10.785 μηνύματα.
08-01-24
11:52
Marel
Νεοφερμένο μέλος
Η Marel αυτή τη στιγμή δεν είναι συνδεδεμένη. Είναι 19 ετών και Φοιτήτρια του τμήματος Ψυχολογίας ΕΚΠΑ. Έχει γράψει 92 μηνύματα.
08-01-24
12:53
Ευχαριστώ πολύ!
Dias
Επιφανές μέλος
Ο Dias αυτή τη στιγμή δεν είναι συνδεδεμένος. Είναι Καθηγητής κι έχει σπουδάσει στο τμήμα Φυσικής ΕΚΠΑ (Αθήνα). Έχει γράψει 10.785 μηνύματα.
08-01-24
21:55
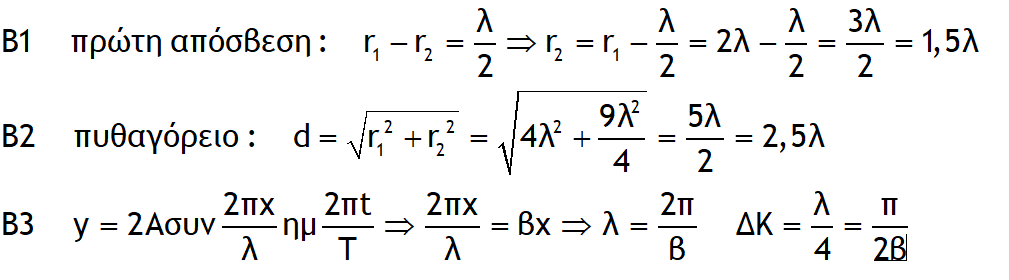
Δεν έχω χρόνο να γράψω αναλυτικά και ωραία. Πάρε μια πρόχειρη και βιαστική λύση στο γόνατο.
Απορία: Οι ασκήσεις σου δεν είναι δύσκολες. Γιατί δεν προσπαθείς πρώτα μόνη σου και αν δεν τα καταφέρεις να ζητήσεις βοήθεια;
EDIT: Στην εξίσωση ξέχασα το 2π
Απορία: Οι ασκήσεις σου δεν είναι δύσκολες. Γιατί δεν προσπαθείς πρώτα μόνη σου και αν δεν τα καταφέρεις να ζητήσεις βοήθεια;
EDIT: Στην εξίσωση ξέχασα το 2π
Marel
Νεοφερμένο μέλος
Η Marel αυτή τη στιγμή δεν είναι συνδεδεμένη. Είναι 19 ετών και Φοιτήτρια του τμήματος Ψυχολογίας ΕΚΠΑ. Έχει γράψει 92 μηνύματα.
22-01-24
18:10
Αυτόματη ένωση συνεχόμενων μηνυμάτων:
Marel
Νεοφερμένο μέλος
Η Marel αυτή τη στιγμή δεν είναι συνδεδεμένη. Είναι 19 ετών και Φοιτήτρια του τμήματος Ψυχολογίας ΕΚΠΑ. Έχει γράψει 92 μηνύματα.
28-01-24
23:53
Αυτόματη ένωση συνεχόμενων μηνυμάτων:
Dias
Επιφανές μέλος
Ο Dias αυτή τη στιγμή δεν είναι συνδεδεμένος. Είναι Καθηγητής κι έχει σπουδάσει στο τμήμα Φυσικής ΕΚΠΑ (Αθήνα). Έχει γράψει 10.785 μηνύματα.
29-01-24
20:53
Κανόνισε στις εξετάσεις να έρθω μαζί σου....
Marel
Νεοφερμένο μέλος
Η Marel αυτή τη στιγμή δεν είναι συνδεδεμένη. Είναι 19 ετών και Φοιτήτρια του τμήματος Ψυχολογίας ΕΚΠΑ. Έχει γράψει 92 μηνύματα.
29-01-24
20:58
Ευχαριστώ πολύ!
Χρήστες Βρείτε παρόμοια
-
Τα παρακάτω 0 μέλη και 1 επισκέπτες διαβάζουν μαζί με εσάς αυτό το θέμα:Tα παρακάτω 157 μέλη διάβασαν αυτό το θέμα:
- BillyTheKid
- Marel
- trifasikodiavasma
- Hased Babis
- Corfu kitty
- userguest
- suaimhneas
- Maynard
- Joji
- jellojina
- Hecticism
- BatGuin
- panosT436
- sofia07
- patatosalata22
- Than003
- FNC_Sophia
- iren
- Giannis_19
- jYanniss
- wmaria
- Kate1914
- Viktoriaki
- Vasilis125
- Steliosgkougkou
- mysticfallsgirl12
- Lia 2006
- Ness
- ioanna2007
- donut_daddy
- ntinos...
- sciencegeek
- Unboxholics
- woasibe
- sophiaa
- GV221
- charmander
- bibliofagos
- Evangeloz
- bbb
- love_to_learn
- Panatha mono
- Enhypen
- panaman
- grad778
- thepigod762
- nikolakisss_
- Magigi
- peter347
- Alexecon1991
- synthnightingale
- Indecisive2
- Only physics
- Γατέχων
- Startx0
- Wonderkid
- Scandal
- flowermd
- Help :)
- Chrisphys
- Helen06
- Mitsaras23
- Marianna.diamanti
- Albert.123
- tan07
- phleidhs
- Georgepap_21
- Coconut201
- MrDragonboy
- chjan
- soleilst
- Ilovemycats27
- BiteTheDust
- Μήτσος10
- Elwik
- Mariahj
- DetectiveAgg
- stee
- nimbus
- Yorgos L
- bill09876
- marilenaaa
- pannnos1992
- fofo
- carnage
- Mhtsaras76
- user111
- Obi-Wan Kenobi
- neurogirl
- Lifelong Learner
- Yolo06
- ROULI
- Human being
- iiTzArismaltor_
- Chris180
- math2arch
- Εριφύλη
- Jimpower
- Χρήστος2006
- dimitra*
- xrisamikol
- xristarac
- gmoutzour
- Mara2004
- PanosApo
- eukleidhs1821
- angies
- AggelikiGr
- Sofos Gerontas
-
Φορτώνει...
-
Το forum μας χρησιμοποιεί cookies για να βελτιστοποιήσει την εμπειρία σας.
Συνεχίζοντας την περιήγησή σας, συναινείτε στη χρήση cookies στον περιηγητή σας.
Αρχική Forum
Ρωτήστε κάτι
Προσωπικές Συζητήσεις
Πανελλαδικές
Αγγελίες
Συνδεδεμένοι Χρήστες
Λίστα Αποκλεισμένων
Υπεύθυνοι του Forum
e-steki
