juanium Εκκολαπτόμενο μέλος Ο Αλέξανδρος δεν κοινοποιεί τη δραστηριότητά του. Είναι 18 ετών, Φοιτητής του τμήματος Πληροφορικής Πειραιά και μας γράφει από Χολαργός (Αττική). Έχει γράψει 384 μηνύματα. 30 Αυγούστου 2024 στις 14:28 Ο juanium έγραψε: #261 30-08-24 14:28 Αρχική Δημοσίευση από nearos: Καταλαβα πως Δυ/Δτ = α, ομως αυτο το οτι γινεται μέγιστη στις ακραίες θέσεις αρα καθε μιση περίοδο, δεν ισχύει μονο στις ταλαντώσεις οπου υπάρχει αρχική φάση φ0=π/2; Γιατι στις ταλαντωσεις με φ0=0 στη μιση περιοδο βρισκεται στη θι και κατευθυνεται προς την αντιθετη κατευθυνση Click για ανάπτυξη... Εδώ λέει πως ΟΤΑΝ φτάσει σε μέγιστη επιτάχυνση, όποτε και να είναι αυτό θα θέλει χρόνο Δτ=Τ/2 για να ξαναέχει μέγιστη επιτάχυνση. Μην έχεις το μυαλό σου ότι στην μισή περίοδο βρίσκεται στην ΘΙ, ναι θα είναι στην ΘΙ (φο=0). Αλλά το χρονικό διάστημα που θέλει να πάει από την μια ακραία στην άλλη είναι πάλι Τ/2. Guest 691153 Επισκέπτης Ο/Η @ αυτή τη στιγμή δεν είναι συνδεδεμέν@. Είναι διαγραμμένος λογαριασμός. 30 Αυγούστου 2024 στις 14:33 Ο Guest 691153: #262 30-08-24 14:33 Αρχική Δημοσίευση από juanium: Εδώ λέει πως ΟΤΑΝ φτάσει σε μέγιστη επιτάχυνση, όποτε και να είναι αυτό θα θέλει χρόνο Δτ=Τ/2 για να ξαναέχει μέγιστη επιτάχυνση. Μην έχεις το μυαλό σου ότι στην μισή περίοδο βρίσκεται στην ΘΙ, ναι θα είναι στην ΘΙ (φο=0). Αλλά το χρονικό διάστημα που θέλει να πάει από την μια ακραία στην άλλη είναι πάλι Τ/2. Click για ανάπτυξη... Α καταλαβα, επειδή φτανει μεγιστη επιτάχυνση σε Τ/4 και μετα ανα χρονικο διαστημα Τ/2, δηλαδη 3Τ/4 Και τετοια.. οκ θενκ γιου μαν Guest 691153 Επισκέπτης Ο/Η @ αυτή τη στιγμή δεν είναι συνδεδεμέν@. Είναι διαγραμμένος λογαριασμός. 5 Σεπτεμβρίου 2024 στις 15:24 Ο Guest 691153: #263 05-09-24 15:24 παραθέτω και τον τροπο εργασίας... Ηθελα απλως να επιβεβαιωσω τις απαντήσεις.. Cade Πολύ δραστήριο μέλος Ο Cade δεν κοινοποιεί τη δραστηριότητά του. Είναι Απόφοιτος λυκείου. Έχει γράψει 874 μηνύματα. 5 Σεπτεμβρίου 2024 στις 17:01 Ο Cade έγραψε: #264 05-09-24 17:01 Αρχική Δημοσίευση από nearos: παραθέτω και τον τροπο εργασίας... Ηθελα απλως να επιβεβαιωσω τις απαντήσεις.. Click για ανάπτυξη... Η πρώτη είναι για κ=0 Guest 691153 Επισκέπτης Ο/Η @ αυτή τη στιγμή δεν είναι συνδεδεμέν@. Είναι διαγραμμένος λογαριασμός. 5 Σεπτεμβρίου 2024 στις 17:03 Ο Guest 691153: #265 05-09-24 17:03 Αρχική Δημοσίευση από Cade: Η πρώτη είναι για κ=0 Click για ανάπτυξη... Guest 691153 Επισκέπτης Ο/Η @ αυτή τη στιγμή δεν είναι συνδεδεμέν@. Είναι διαγραμμένος λογαριασμός. 9 Σεπτεμβρίου 2024 στις 23:37 Ο Guest 691153: #266 09-09-24 23:37 Θελω λίγη βοήθεια με το α. Τι εννοεί να γράψω την αλγεβρική τιμή της δυναμης του ελατηρίου σε συνάρτηση με την απομάκρυνση του σώματος απο τη θεση ισορροπίας του; Απλα κανω Fελ=-Dx? Αυτόματη ένωση συνεχόμενων μηνυμάτων: 9 Σεπτεμβρίου 2024 εκανα βεβαια D=k=mω^2 => ω=5.. Επεξεργάστηκε από συντονιστή: 9 Σεπτεμβρίου 2024 juanium Εκκολαπτόμενο μέλος Ο Αλέξανδρος δεν κοινοποιεί τη δραστηριότητά του. Είναι 18 ετών, Φοιτητής του τμήματος Πληροφορικής Πειραιά και μας γράφει από Χολαργός (Αττική). Έχει γράψει 384 μηνύματα. 10 Σεπτεμβρίου 2024 στις 00:34 Ο juanium έγραψε: #267 10-09-24 00:34 Αρχική Δημοσίευση από nearos: Θελω λίγη βοήθεια με το α. Τι εννοεί να γράψω την αλγεβρική τιμή της δυναμης του ελατηρίου σε συνάρτηση με την απομάκρυνση του σώματος απο τη θεση ισορροπίας του; Απλα κανω Fελ=-Dx? Αυτόματη ένωση συνεχόμενων μηνυμάτων: 9 Σεπτεμβρίου 2024 εκανα βεβαια D=k=mω^2 => ω=5.. Click για ανάπτυξη... Guest 691153 Επισκέπτης Ο/Η @ αυτή τη στιγμή δεν είναι συνδεδεμέν@. Είναι διαγραμμένος λογαριασμός. 10 Σεπτεμβρίου 2024 στις 00:37 Ο Guest 691153: #268 10-09-24 00:37 Αρχική Δημοσίευση από juanium: Click για ανάπτυξη... Νασαι καλά ρε παλλικάρι. Με παραξένευσε το 7.5ριζα3 . Βελτιώνομαι σιγα σιγα Guest 691153 Επισκέπτης Ο/Η @ αυτή τη στιγμή δεν είναι συνδεδεμέν@. Είναι διαγραμμένος λογαριασμός. 6 Οκτωβρίου 2024 στις 17:33 Ο Guest 691153: #269 06-10-24 17:33 "Eνα σωμα βαρους w=750Ν ειναι τοποθετημενο πανω σε δοκο μηκους 4μετρων και βαρους 150Ν. Η δοκός στηρίζεται στα σημεια Α και Β που απέχουν αποσταση 1 μετρο απο τα ακρα της. Ποια είναι η μέγιστη απόσταση απο τα ακρα της δοκου που μπορεί να τοποθετηθεί το σώμα ωστε αυτή να μην ανατραπεί; Το Να και το Νβ ειναι αγνωστα.. Σκεφτηκα να κανω ενα σύστημα στην αρχή αλλα μετα εχω και το d που εινια αγνωστο... Σύστημα με 3 αγνώστους;; juanium Εκκολαπτόμενο μέλος Ο Αλέξανδρος δεν κοινοποιεί τη δραστηριότητά του. Είναι 18 ετών, Φοιτητής του τμήματος Πληροφορικής Πειραιά και μας γράφει από Χολαργός (Αττική). Έχει γράψει 384 μηνύματα. 6 Οκτωβρίου 2024 στις 18:11 Ο juanium έγραψε: #270 06-10-24 18:11 ελπιζω να μην εκανα αριθμητικο @nearos τωρα ειδα αυτος θελει αποσταση απο την ακρη αρα 1 - 0.8 = 0.2m Guest 691153 Επισκέπτης Ο/Η @ αυτή τη στιγμή δεν είναι συνδεδεμέν@. Είναι διαγραμμένος λογαριασμός. 6 Οκτωβρίου 2024 στις 18:59 Ο Guest 691153: #271 06-10-24 18:59 Τι ειναι αυτα τα 2d? juanium Εκκολαπτόμενο μέλος Ο Αλέξανδρος δεν κοινοποιεί τη δραστηριότητά του. Είναι 18 ετών, Φοιτητής του τμήματος Πληροφορικής Πειραιά και μας γράφει από Χολαργός (Αττική). Έχει γράψει 384 μηνύματα. 6 Οκτωβρίου 2024 στις 19:09 Ο juanium έγραψε: #272 06-10-24 19:09 Αρχική Δημοσίευση από nearos: Τι ειναι αυτα τα 2d? Click για ανάπτυξη... Δες το σχήμα μου. Η απόσταση ανάμεσα στα στηρίγματα είναι όλη η ράβδος μείον τις ακρουλες, d η καθεμία. Guest 691153 Επισκέπτης Ο/Η @ αυτή τη στιγμή δεν είναι συνδεδεμέν@. Είναι διαγραμμένος λογαριασμός. 6 Οκτωβρίου 2024 στις 19:24 Ο Guest 691153: #273 06-10-24 19:24 μπρο εχω γαμησει την ασκηση τοσο ασχημα juanium Εκκολαπτόμενο μέλος Ο Αλέξανδρος δεν κοινοποιεί τη δραστηριότητά του. Είναι 18 ετών, Φοιτητής του τμήματος Πληροφορικής Πειραιά και μας γράφει από Χολαργός (Αττική). Έχει γράψει 384 μηνύματα. 6 Οκτωβρίου 2024 στις 19:57 Ο juanium έγραψε: #274 06-10-24 19:57 Αρχική Δημοσίευση από nearos: μπρο εχω γαμησει την ασκηση τοσο ασχημα Click για ανάπτυξη... Δες την ήρεμα από την αρχή. Έχεις 3 συνθήκες ισορροπίας. Ροπές 0 στο Α, ροπες 0 στο Β και δυνάμεις στον ψ 0. Με αυτές τις τρεις βγάζεις 3 σχέσεις με 3 άγνωστους (Να, Νβ και Χ) Guest 691153 Επισκέπτης Ο/Η @ αυτή τη στιγμή δεν είναι συνδεδεμέν@. Είναι διαγραμμένος λογαριασμός. 6 Οκτωβρίου 2024 στις 19:58 Ο Guest 691153: #275 06-10-24 19:58 Αρχική Δημοσίευση από juanium: Δες την ήρεμα από την αρχή. Έχεις 3 συνθήκες ισορροπίας. Ροπές 0 στο Α, ροπες 0 στο Β και δυνάμεις στον ψ 0. Με αυτές τις τρεις βγάζεις 3 σχέσεις με 3 άγνωστους (Να, Νβ και Χ) Click για ανάπτυξη... Το ξερω και καταλαβα τι εκανες Προσπάθησα 3 φορές να το λύσω και μου έβγαινε απόσταση αρνητική, οπότε λέω να πάει στο διάολο... θα την κοιτάξω αύριο με πιο ήρεμο κεφάλι. Ευχαριστωπ ολυ για την βοηθεια Dias Επιφανές μέλος Ο Dias δεν κοινοποιεί τη δραστηριότητά του. Είναι Καθηγητής κι έχει σπουδάσει στο τμήμα Φυσικής ΕΚΠΑ (Αθήνα). Έχει γράψει 10.922 μηνύματα. 6 Οκτωβρίου 2024 στις 21:08 Ο Dias έγραψε: #276 06-10-24 21:08 Ανατροπή : δεν ακουμπά Α => ΝΑ = 0. Μόλις ανατρέπεται = μόλις ισορροπεί ΣτΒ = 0 => WΡ.ΚΒ - W.ΣΒ = 0 => 150.1 - 750.(1-χ) = 0 => χ = 0,8m vanessa99 Δραστήριο μέλος Η vanessa99 δεν κοινοποιεί τη δραστηριότητά της. Είναι Φοιτήτρια του τμήματος Νοσηλευτικής ΕΚΠΑ (Αθήνα). Έχει γράψει 621 μηνύματα. 6 Οκτωβρίου 2024 στις 21:27 Η vanessa99: #277 06-10-24 21:27 Αρχική Δημοσίευση από Dias: Ανατροπή : δεν ακουμπά Α => ΝΑ = 0. Μόλις ανατρέπεται = μόλις ισορροπεί Click για ανάπτυξη... Ευχαριστούμε @Dias ! Θα μπορούσες να εξηγήσεις αυτό λίγο παραπάνω; Δεν έχω φτάσει ακόμα σε ταλαντώσεις/στερεό, αλλά ήταν κάτι που με παίδευε αρκετά Dias Επιφανές μέλος Ο Dias δεν κοινοποιεί τη δραστηριότητά του. Είναι Καθηγητής κι έχει σπουδάσει στο τμήμα Φυσικής ΕΚΠΑ (Αθήνα). Έχει γράψει 10.922 μηνύματα. 6 Οκτωβρίου 2024 στις 21:35 Ο Dias έγραψε: #278 06-10-24 21:35 Αρχική Δημοσίευση από vanessa99: Θα μπορούσες να εξηγήσεις αυτό λίγο παραπάνω; Click για ανάπτυξη... Ανατρέπεται άρα σηκώνεται και δεν ακουμπά. Μόλις θα πει να έχουμε την ίδια στιγμή συγχρόνως δύο καταστάσεις. π.χ. Μόλις ήρθε (για κάποιους) = μόλις έφυγε (για κάποιους άλλους) , μόλις ανατρέπεται = μόλις ισορροπεί. Guest 691153 Επισκέπτης Ο/Η @ αυτή τη στιγμή δεν είναι συνδεδεμέν@. Είναι διαγραμμένος λογαριασμός. 6 Οκτωβρίου 2024 στις 21:42 Ο Guest 691153: #279 06-10-24 21:42 Σαχλη ερώτηση γνωρίζω οτι εντος υλης ειναι οι αρχικές φάσεις π, π/2. Ομως γίνεται ξερωγω να έχουμε φ0=-π/2; (απο αρνητικα να ξεκιναει με υ=0 και να κατευθύνεται προς τα θετικά) vanessa99 Δραστήριο μέλος Η vanessa99 δεν κοινοποιεί τη δραστηριότητά της. Είναι Φοιτήτρια του τμήματος Νοσηλευτικής ΕΚΠΑ (Αθήνα). Έχει γράψει 621 μηνύματα. 6 Οκτωβρίου 2024 στις 22:06 Η vanessa99: #280 06-10-24 22:06 Αρχική Δημοσίευση από Dias: Ανατρέπεται άρα σηκώνεται και δεν ακουμπά. Μόλις θα πει να έχουμε την ίδια στιγμή συγχρόνως δύο καταστάσεις. π.χ. Μόλις ήρθε (για κάποιους) = μόλις έφυγε (για κάποιους άλλους) , μόλις ανατρέπεται = μόλις ισορροπεί. Click για ανάπτυξη... Οπότε όταν έχω "μέγιστο τάδε για να μην ανατραπεί" αντί να πάρω την κλασική ισορροπία, παίρνω ότι το ένα σημείο έχει ΣF=0 και το άλλο κανονικά ισορροπεί και δουλεύω έτσι. Σωστά; Ευχαριστώ πάρα πολύ! Προηγούμενη 1 ... Πήγαινε στη σελίδα Πάμε 12 13 14 15 Επόμενη First Προηγούμενη 14 από 15 Πήγαινε στη σελίδα Πάμε Επόμενη Last Σελίδα: 14 από 15 Πήγαινε στη σελίδα Πάμε Συνδεθείτε ή εγγραφείτε για να απαντήσετε εδώ. Χρήστες Βρείτε παρόμοια Τα παρακάτω 0 μέλη και 1 επισκέπτες διαβάζουν μαζί με εσάς αυτό το θέμα: Tα παρακάτω 155 μέλη διάβασαν αυτό το θέμα: Angelb Marel BillyTheKid trifasikodiavasma Corfu kitty userguest suaimhneas Maynard jellojina Hecticism BatGuin panosT436 sofia07 patatosalata22 Than003 FNC_Sophia iren Giannis_19 jYanniss wmaria Kate1914 Viktoriaki Vasilis125 Steliosgkougkou mysticfallsgirl12 Lia 2006 Ness ioanna2007 donut_daddy ntinos... sciencegeek Unboxholics woasibe sophiaa GV221 charmander bibliofagos Evangeloz bbb love_to_learn Panatha mono Enhypen panaman grad778 thepigod762 nikolakisss_ Magigi peter347 Alexecon1991 synthnightingale Indecisive2 Only physics Γατέχων Startx0 Wonderkid Scandal flowermd Help :) Chrisphys Helen06 Mitsaras23 Marianna.diamanti Albert.123 tan07 Georgepap_21 Coconut201 MrDragonboy chjan soleilst Ilovemycats27 BiteTheDust Μήτσος10 Elwik Mariahj DetectiveAgg stee Yorgos L bill09876 marilenaaa pannnos1992 fofo carnage Mhtsaras76 user111 Obi-Wan Kenobi neurogirl Lifelong Learner Yolo06 ROULI Human being iiTzArismaltor_ Chris180 math2arch Εριφύλη Jimpower Χρήστος2006 dimitra* xrisamikol xristarac gmoutzour Mara2004 PanosApo eukleidhs1821 angies Angelikaaa Sofos Gerontas Φορτώνει... Μοιραστείτε: Facebook X Bluesky LinkedIn Reddit Pinterest Tumblr WhatsApp Email Μοιραστείτε Link ΑΠΑΝΤΗΣΗ Το forum μας χρησιμοποιεί cookies για να βελτιστοποιήσει την εμπειρία σας. Συνεχίζοντας την περιήγησή σας, συναινείτε στη χρήση cookies στον περιηγητή σας. Συμφωνώ Περισσότερα... Back Top
Αρχική Δημοσίευση από nearos: Καταλαβα πως Δυ/Δτ = α, ομως αυτο το οτι γινεται μέγιστη στις ακραίες θέσεις αρα καθε μιση περίοδο, δεν ισχύει μονο στις ταλαντώσεις οπου υπάρχει αρχική φάση φ0=π/2; Γιατι στις ταλαντωσεις με φ0=0 στη μιση περιοδο βρισκεται στη θι και κατευθυνεται προς την αντιθετη κατευθυνση Click για ανάπτυξη... Εδώ λέει πως ΟΤΑΝ φτάσει σε μέγιστη επιτάχυνση, όποτε και να είναι αυτό θα θέλει χρόνο Δτ=Τ/2 για να ξαναέχει μέγιστη επιτάχυνση. Μην έχεις το μυαλό σου ότι στην μισή περίοδο βρίσκεται στην ΘΙ, ναι θα είναι στην ΘΙ (φο=0). Αλλά το χρονικό διάστημα που θέλει να πάει από την μια ακραία στην άλλη είναι πάλι Τ/2.
Guest 691153 Επισκέπτης Ο/Η @ αυτή τη στιγμή δεν είναι συνδεδεμέν@. Είναι διαγραμμένος λογαριασμός. 30 Αυγούστου 2024 στις 14:33 Ο Guest 691153: #262 30-08-24 14:33 Αρχική Δημοσίευση από juanium: Εδώ λέει πως ΟΤΑΝ φτάσει σε μέγιστη επιτάχυνση, όποτε και να είναι αυτό θα θέλει χρόνο Δτ=Τ/2 για να ξαναέχει μέγιστη επιτάχυνση. Μην έχεις το μυαλό σου ότι στην μισή περίοδο βρίσκεται στην ΘΙ, ναι θα είναι στην ΘΙ (φο=0). Αλλά το χρονικό διάστημα που θέλει να πάει από την μια ακραία στην άλλη είναι πάλι Τ/2. Click για ανάπτυξη... Α καταλαβα, επειδή φτανει μεγιστη επιτάχυνση σε Τ/4 και μετα ανα χρονικο διαστημα Τ/2, δηλαδη 3Τ/4 Και τετοια.. οκ θενκ γιου μαν Guest 691153 Επισκέπτης Ο/Η @ αυτή τη στιγμή δεν είναι συνδεδεμέν@. Είναι διαγραμμένος λογαριασμός. 5 Σεπτεμβρίου 2024 στις 15:24 Ο Guest 691153: #263 05-09-24 15:24 παραθέτω και τον τροπο εργασίας... Ηθελα απλως να επιβεβαιωσω τις απαντήσεις.. Cade Πολύ δραστήριο μέλος Ο Cade δεν κοινοποιεί τη δραστηριότητά του. Είναι Απόφοιτος λυκείου. Έχει γράψει 874 μηνύματα. 5 Σεπτεμβρίου 2024 στις 17:01 Ο Cade έγραψε: #264 05-09-24 17:01 Αρχική Δημοσίευση από nearos: παραθέτω και τον τροπο εργασίας... Ηθελα απλως να επιβεβαιωσω τις απαντήσεις.. Click για ανάπτυξη... Η πρώτη είναι για κ=0 Guest 691153 Επισκέπτης Ο/Η @ αυτή τη στιγμή δεν είναι συνδεδεμέν@. Είναι διαγραμμένος λογαριασμός. 5 Σεπτεμβρίου 2024 στις 17:03 Ο Guest 691153: #265 05-09-24 17:03 Αρχική Δημοσίευση από Cade: Η πρώτη είναι για κ=0 Click για ανάπτυξη... Guest 691153 Επισκέπτης Ο/Η @ αυτή τη στιγμή δεν είναι συνδεδεμέν@. Είναι διαγραμμένος λογαριασμός. 9 Σεπτεμβρίου 2024 στις 23:37 Ο Guest 691153: #266 09-09-24 23:37 Θελω λίγη βοήθεια με το α. Τι εννοεί να γράψω την αλγεβρική τιμή της δυναμης του ελατηρίου σε συνάρτηση με την απομάκρυνση του σώματος απο τη θεση ισορροπίας του; Απλα κανω Fελ=-Dx? Αυτόματη ένωση συνεχόμενων μηνυμάτων: 9 Σεπτεμβρίου 2024 εκανα βεβαια D=k=mω^2 => ω=5.. Επεξεργάστηκε από συντονιστή: 9 Σεπτεμβρίου 2024 juanium Εκκολαπτόμενο μέλος Ο Αλέξανδρος δεν κοινοποιεί τη δραστηριότητά του. Είναι 18 ετών, Φοιτητής του τμήματος Πληροφορικής Πειραιά και μας γράφει από Χολαργός (Αττική). Έχει γράψει 384 μηνύματα. 10 Σεπτεμβρίου 2024 στις 00:34 Ο juanium έγραψε: #267 10-09-24 00:34 Αρχική Δημοσίευση από nearos: Θελω λίγη βοήθεια με το α. Τι εννοεί να γράψω την αλγεβρική τιμή της δυναμης του ελατηρίου σε συνάρτηση με την απομάκρυνση του σώματος απο τη θεση ισορροπίας του; Απλα κανω Fελ=-Dx? Αυτόματη ένωση συνεχόμενων μηνυμάτων: 9 Σεπτεμβρίου 2024 εκανα βεβαια D=k=mω^2 => ω=5.. Click για ανάπτυξη... Guest 691153 Επισκέπτης Ο/Η @ αυτή τη στιγμή δεν είναι συνδεδεμέν@. Είναι διαγραμμένος λογαριασμός. 10 Σεπτεμβρίου 2024 στις 00:37 Ο Guest 691153: #268 10-09-24 00:37 Αρχική Δημοσίευση από juanium: Click για ανάπτυξη... Νασαι καλά ρε παλλικάρι. Με παραξένευσε το 7.5ριζα3 . Βελτιώνομαι σιγα σιγα Guest 691153 Επισκέπτης Ο/Η @ αυτή τη στιγμή δεν είναι συνδεδεμέν@. Είναι διαγραμμένος λογαριασμός. 6 Οκτωβρίου 2024 στις 17:33 Ο Guest 691153: #269 06-10-24 17:33 "Eνα σωμα βαρους w=750Ν ειναι τοποθετημενο πανω σε δοκο μηκους 4μετρων και βαρους 150Ν. Η δοκός στηρίζεται στα σημεια Α και Β που απέχουν αποσταση 1 μετρο απο τα ακρα της. Ποια είναι η μέγιστη απόσταση απο τα ακρα της δοκου που μπορεί να τοποθετηθεί το σώμα ωστε αυτή να μην ανατραπεί; Το Να και το Νβ ειναι αγνωστα.. Σκεφτηκα να κανω ενα σύστημα στην αρχή αλλα μετα εχω και το d που εινια αγνωστο... Σύστημα με 3 αγνώστους;; juanium Εκκολαπτόμενο μέλος Ο Αλέξανδρος δεν κοινοποιεί τη δραστηριότητά του. Είναι 18 ετών, Φοιτητής του τμήματος Πληροφορικής Πειραιά και μας γράφει από Χολαργός (Αττική). Έχει γράψει 384 μηνύματα. 6 Οκτωβρίου 2024 στις 18:11 Ο juanium έγραψε: #270 06-10-24 18:11 ελπιζω να μην εκανα αριθμητικο @nearos τωρα ειδα αυτος θελει αποσταση απο την ακρη αρα 1 - 0.8 = 0.2m Guest 691153 Επισκέπτης Ο/Η @ αυτή τη στιγμή δεν είναι συνδεδεμέν@. Είναι διαγραμμένος λογαριασμός. 6 Οκτωβρίου 2024 στις 18:59 Ο Guest 691153: #271 06-10-24 18:59 Τι ειναι αυτα τα 2d? juanium Εκκολαπτόμενο μέλος Ο Αλέξανδρος δεν κοινοποιεί τη δραστηριότητά του. Είναι 18 ετών, Φοιτητής του τμήματος Πληροφορικής Πειραιά και μας γράφει από Χολαργός (Αττική). Έχει γράψει 384 μηνύματα. 6 Οκτωβρίου 2024 στις 19:09 Ο juanium έγραψε: #272 06-10-24 19:09 Αρχική Δημοσίευση από nearos: Τι ειναι αυτα τα 2d? Click για ανάπτυξη... Δες το σχήμα μου. Η απόσταση ανάμεσα στα στηρίγματα είναι όλη η ράβδος μείον τις ακρουλες, d η καθεμία. Guest 691153 Επισκέπτης Ο/Η @ αυτή τη στιγμή δεν είναι συνδεδεμέν@. Είναι διαγραμμένος λογαριασμός. 6 Οκτωβρίου 2024 στις 19:24 Ο Guest 691153: #273 06-10-24 19:24 μπρο εχω γαμησει την ασκηση τοσο ασχημα juanium Εκκολαπτόμενο μέλος Ο Αλέξανδρος δεν κοινοποιεί τη δραστηριότητά του. Είναι 18 ετών, Φοιτητής του τμήματος Πληροφορικής Πειραιά και μας γράφει από Χολαργός (Αττική). Έχει γράψει 384 μηνύματα. 6 Οκτωβρίου 2024 στις 19:57 Ο juanium έγραψε: #274 06-10-24 19:57 Αρχική Δημοσίευση από nearos: μπρο εχω γαμησει την ασκηση τοσο ασχημα Click για ανάπτυξη... Δες την ήρεμα από την αρχή. Έχεις 3 συνθήκες ισορροπίας. Ροπές 0 στο Α, ροπες 0 στο Β και δυνάμεις στον ψ 0. Με αυτές τις τρεις βγάζεις 3 σχέσεις με 3 άγνωστους (Να, Νβ και Χ) Guest 691153 Επισκέπτης Ο/Η @ αυτή τη στιγμή δεν είναι συνδεδεμέν@. Είναι διαγραμμένος λογαριασμός. 6 Οκτωβρίου 2024 στις 19:58 Ο Guest 691153: #275 06-10-24 19:58 Αρχική Δημοσίευση από juanium: Δες την ήρεμα από την αρχή. Έχεις 3 συνθήκες ισορροπίας. Ροπές 0 στο Α, ροπες 0 στο Β και δυνάμεις στον ψ 0. Με αυτές τις τρεις βγάζεις 3 σχέσεις με 3 άγνωστους (Να, Νβ και Χ) Click για ανάπτυξη... Το ξερω και καταλαβα τι εκανες Προσπάθησα 3 φορές να το λύσω και μου έβγαινε απόσταση αρνητική, οπότε λέω να πάει στο διάολο... θα την κοιτάξω αύριο με πιο ήρεμο κεφάλι. Ευχαριστωπ ολυ για την βοηθεια Dias Επιφανές μέλος Ο Dias δεν κοινοποιεί τη δραστηριότητά του. Είναι Καθηγητής κι έχει σπουδάσει στο τμήμα Φυσικής ΕΚΠΑ (Αθήνα). Έχει γράψει 10.922 μηνύματα. 6 Οκτωβρίου 2024 στις 21:08 Ο Dias έγραψε: #276 06-10-24 21:08 Ανατροπή : δεν ακουμπά Α => ΝΑ = 0. Μόλις ανατρέπεται = μόλις ισορροπεί ΣτΒ = 0 => WΡ.ΚΒ - W.ΣΒ = 0 => 150.1 - 750.(1-χ) = 0 => χ = 0,8m vanessa99 Δραστήριο μέλος Η vanessa99 δεν κοινοποιεί τη δραστηριότητά της. Είναι Φοιτήτρια του τμήματος Νοσηλευτικής ΕΚΠΑ (Αθήνα). Έχει γράψει 621 μηνύματα. 6 Οκτωβρίου 2024 στις 21:27 Η vanessa99: #277 06-10-24 21:27 Αρχική Δημοσίευση από Dias: Ανατροπή : δεν ακουμπά Α => ΝΑ = 0. Μόλις ανατρέπεται = μόλις ισορροπεί Click για ανάπτυξη... Ευχαριστούμε @Dias ! Θα μπορούσες να εξηγήσεις αυτό λίγο παραπάνω; Δεν έχω φτάσει ακόμα σε ταλαντώσεις/στερεό, αλλά ήταν κάτι που με παίδευε αρκετά Dias Επιφανές μέλος Ο Dias δεν κοινοποιεί τη δραστηριότητά του. Είναι Καθηγητής κι έχει σπουδάσει στο τμήμα Φυσικής ΕΚΠΑ (Αθήνα). Έχει γράψει 10.922 μηνύματα. 6 Οκτωβρίου 2024 στις 21:35 Ο Dias έγραψε: #278 06-10-24 21:35 Αρχική Δημοσίευση από vanessa99: Θα μπορούσες να εξηγήσεις αυτό λίγο παραπάνω; Click για ανάπτυξη... Ανατρέπεται άρα σηκώνεται και δεν ακουμπά. Μόλις θα πει να έχουμε την ίδια στιγμή συγχρόνως δύο καταστάσεις. π.χ. Μόλις ήρθε (για κάποιους) = μόλις έφυγε (για κάποιους άλλους) , μόλις ανατρέπεται = μόλις ισορροπεί. Guest 691153 Επισκέπτης Ο/Η @ αυτή τη στιγμή δεν είναι συνδεδεμέν@. Είναι διαγραμμένος λογαριασμός. 6 Οκτωβρίου 2024 στις 21:42 Ο Guest 691153: #279 06-10-24 21:42 Σαχλη ερώτηση γνωρίζω οτι εντος υλης ειναι οι αρχικές φάσεις π, π/2. Ομως γίνεται ξερωγω να έχουμε φ0=-π/2; (απο αρνητικα να ξεκιναει με υ=0 και να κατευθύνεται προς τα θετικά) vanessa99 Δραστήριο μέλος Η vanessa99 δεν κοινοποιεί τη δραστηριότητά της. Είναι Φοιτήτρια του τμήματος Νοσηλευτικής ΕΚΠΑ (Αθήνα). Έχει γράψει 621 μηνύματα. 6 Οκτωβρίου 2024 στις 22:06 Η vanessa99: #280 06-10-24 22:06 Αρχική Δημοσίευση από Dias: Ανατρέπεται άρα σηκώνεται και δεν ακουμπά. Μόλις θα πει να έχουμε την ίδια στιγμή συγχρόνως δύο καταστάσεις. π.χ. Μόλις ήρθε (για κάποιους) = μόλις έφυγε (για κάποιους άλλους) , μόλις ανατρέπεται = μόλις ισορροπεί. Click για ανάπτυξη... Οπότε όταν έχω "μέγιστο τάδε για να μην ανατραπεί" αντί να πάρω την κλασική ισορροπία, παίρνω ότι το ένα σημείο έχει ΣF=0 και το άλλο κανονικά ισορροπεί και δουλεύω έτσι. Σωστά; Ευχαριστώ πάρα πολύ! Προηγούμενη 1 ... Πήγαινε στη σελίδα Πάμε 12 13 14 15 Επόμενη First Προηγούμενη 14 από 15 Πήγαινε στη σελίδα Πάμε Επόμενη Last Σελίδα: 14 από 15 Πήγαινε στη σελίδα Πάμε Συνδεθείτε ή εγγραφείτε για να απαντήσετε εδώ. Χρήστες Βρείτε παρόμοια Τα παρακάτω 0 μέλη και 1 επισκέπτες διαβάζουν μαζί με εσάς αυτό το θέμα: Tα παρακάτω 155 μέλη διάβασαν αυτό το θέμα: Angelb Marel BillyTheKid trifasikodiavasma Corfu kitty userguest suaimhneas Maynard jellojina Hecticism BatGuin panosT436 sofia07 patatosalata22 Than003 FNC_Sophia iren Giannis_19 jYanniss wmaria Kate1914 Viktoriaki Vasilis125 Steliosgkougkou mysticfallsgirl12 Lia 2006 Ness ioanna2007 donut_daddy ntinos... sciencegeek Unboxholics woasibe sophiaa GV221 charmander bibliofagos Evangeloz bbb love_to_learn Panatha mono Enhypen panaman grad778 thepigod762 nikolakisss_ Magigi peter347 Alexecon1991 synthnightingale Indecisive2 Only physics Γατέχων Startx0 Wonderkid Scandal flowermd Help :) Chrisphys Helen06 Mitsaras23 Marianna.diamanti Albert.123 tan07 Georgepap_21 Coconut201 MrDragonboy chjan soleilst Ilovemycats27 BiteTheDust Μήτσος10 Elwik Mariahj DetectiveAgg stee Yorgos L bill09876 marilenaaa pannnos1992 fofo carnage Mhtsaras76 user111 Obi-Wan Kenobi neurogirl Lifelong Learner Yolo06 ROULI Human being iiTzArismaltor_ Chris180 math2arch Εριφύλη Jimpower Χρήστος2006 dimitra* xrisamikol xristarac gmoutzour Mara2004 PanosApo eukleidhs1821 angies Angelikaaa Sofos Gerontas Φορτώνει... Μοιραστείτε: Facebook X Bluesky LinkedIn Reddit Pinterest Tumblr WhatsApp Email Μοιραστείτε Link ΑΠΑΝΤΗΣΗ Το forum μας χρησιμοποιεί cookies για να βελτιστοποιήσει την εμπειρία σας. Συνεχίζοντας την περιήγησή σας, συναινείτε στη χρήση cookies στον περιηγητή σας. Συμφωνώ Περισσότερα... Back Top
Αρχική Δημοσίευση από juanium: Εδώ λέει πως ΟΤΑΝ φτάσει σε μέγιστη επιτάχυνση, όποτε και να είναι αυτό θα θέλει χρόνο Δτ=Τ/2 για να ξαναέχει μέγιστη επιτάχυνση. Μην έχεις το μυαλό σου ότι στην μισή περίοδο βρίσκεται στην ΘΙ, ναι θα είναι στην ΘΙ (φο=0). Αλλά το χρονικό διάστημα που θέλει να πάει από την μια ακραία στην άλλη είναι πάλι Τ/2. Click για ανάπτυξη... Α καταλαβα, επειδή φτανει μεγιστη επιτάχυνση σε Τ/4 και μετα ανα χρονικο διαστημα Τ/2, δηλαδη 3Τ/4 Και τετοια.. οκ θενκ γιου μαν
Guest 691153 Επισκέπτης Ο/Η @ αυτή τη στιγμή δεν είναι συνδεδεμέν@. Είναι διαγραμμένος λογαριασμός. 5 Σεπτεμβρίου 2024 στις 15:24 Ο Guest 691153: #263 05-09-24 15:24 παραθέτω και τον τροπο εργασίας... Ηθελα απλως να επιβεβαιωσω τις απαντήσεις.. Cade Πολύ δραστήριο μέλος Ο Cade δεν κοινοποιεί τη δραστηριότητά του. Είναι Απόφοιτος λυκείου. Έχει γράψει 874 μηνύματα. 5 Σεπτεμβρίου 2024 στις 17:01 Ο Cade έγραψε: #264 05-09-24 17:01 Αρχική Δημοσίευση από nearos: παραθέτω και τον τροπο εργασίας... Ηθελα απλως να επιβεβαιωσω τις απαντήσεις.. Click για ανάπτυξη... Η πρώτη είναι για κ=0 Guest 691153 Επισκέπτης Ο/Η @ αυτή τη στιγμή δεν είναι συνδεδεμέν@. Είναι διαγραμμένος λογαριασμός. 5 Σεπτεμβρίου 2024 στις 17:03 Ο Guest 691153: #265 05-09-24 17:03 Αρχική Δημοσίευση από Cade: Η πρώτη είναι για κ=0 Click για ανάπτυξη... Guest 691153 Επισκέπτης Ο/Η @ αυτή τη στιγμή δεν είναι συνδεδεμέν@. Είναι διαγραμμένος λογαριασμός. 9 Σεπτεμβρίου 2024 στις 23:37 Ο Guest 691153: #266 09-09-24 23:37 Θελω λίγη βοήθεια με το α. Τι εννοεί να γράψω την αλγεβρική τιμή της δυναμης του ελατηρίου σε συνάρτηση με την απομάκρυνση του σώματος απο τη θεση ισορροπίας του; Απλα κανω Fελ=-Dx? Αυτόματη ένωση συνεχόμενων μηνυμάτων: 9 Σεπτεμβρίου 2024 εκανα βεβαια D=k=mω^2 => ω=5.. Επεξεργάστηκε από συντονιστή: 9 Σεπτεμβρίου 2024 juanium Εκκολαπτόμενο μέλος Ο Αλέξανδρος δεν κοινοποιεί τη δραστηριότητά του. Είναι 18 ετών, Φοιτητής του τμήματος Πληροφορικής Πειραιά και μας γράφει από Χολαργός (Αττική). Έχει γράψει 384 μηνύματα. 10 Σεπτεμβρίου 2024 στις 00:34 Ο juanium έγραψε: #267 10-09-24 00:34 Αρχική Δημοσίευση από nearos: Θελω λίγη βοήθεια με το α. Τι εννοεί να γράψω την αλγεβρική τιμή της δυναμης του ελατηρίου σε συνάρτηση με την απομάκρυνση του σώματος απο τη θεση ισορροπίας του; Απλα κανω Fελ=-Dx? Αυτόματη ένωση συνεχόμενων μηνυμάτων: 9 Σεπτεμβρίου 2024 εκανα βεβαια D=k=mω^2 => ω=5.. Click για ανάπτυξη... Guest 691153 Επισκέπτης Ο/Η @ αυτή τη στιγμή δεν είναι συνδεδεμέν@. Είναι διαγραμμένος λογαριασμός. 10 Σεπτεμβρίου 2024 στις 00:37 Ο Guest 691153: #268 10-09-24 00:37 Αρχική Δημοσίευση από juanium: Click για ανάπτυξη... Νασαι καλά ρε παλλικάρι. Με παραξένευσε το 7.5ριζα3 . Βελτιώνομαι σιγα σιγα Guest 691153 Επισκέπτης Ο/Η @ αυτή τη στιγμή δεν είναι συνδεδεμέν@. Είναι διαγραμμένος λογαριασμός. 6 Οκτωβρίου 2024 στις 17:33 Ο Guest 691153: #269 06-10-24 17:33 "Eνα σωμα βαρους w=750Ν ειναι τοποθετημενο πανω σε δοκο μηκους 4μετρων και βαρους 150Ν. Η δοκός στηρίζεται στα σημεια Α και Β που απέχουν αποσταση 1 μετρο απο τα ακρα της. Ποια είναι η μέγιστη απόσταση απο τα ακρα της δοκου που μπορεί να τοποθετηθεί το σώμα ωστε αυτή να μην ανατραπεί; Το Να και το Νβ ειναι αγνωστα.. Σκεφτηκα να κανω ενα σύστημα στην αρχή αλλα μετα εχω και το d που εινια αγνωστο... Σύστημα με 3 αγνώστους;; juanium Εκκολαπτόμενο μέλος Ο Αλέξανδρος δεν κοινοποιεί τη δραστηριότητά του. Είναι 18 ετών, Φοιτητής του τμήματος Πληροφορικής Πειραιά και μας γράφει από Χολαργός (Αττική). Έχει γράψει 384 μηνύματα. 6 Οκτωβρίου 2024 στις 18:11 Ο juanium έγραψε: #270 06-10-24 18:11 ελπιζω να μην εκανα αριθμητικο @nearos τωρα ειδα αυτος θελει αποσταση απο την ακρη αρα 1 - 0.8 = 0.2m Guest 691153 Επισκέπτης Ο/Η @ αυτή τη στιγμή δεν είναι συνδεδεμέν@. Είναι διαγραμμένος λογαριασμός. 6 Οκτωβρίου 2024 στις 18:59 Ο Guest 691153: #271 06-10-24 18:59 Τι ειναι αυτα τα 2d? juanium Εκκολαπτόμενο μέλος Ο Αλέξανδρος δεν κοινοποιεί τη δραστηριότητά του. Είναι 18 ετών, Φοιτητής του τμήματος Πληροφορικής Πειραιά και μας γράφει από Χολαργός (Αττική). Έχει γράψει 384 μηνύματα. 6 Οκτωβρίου 2024 στις 19:09 Ο juanium έγραψε: #272 06-10-24 19:09 Αρχική Δημοσίευση από nearos: Τι ειναι αυτα τα 2d? Click για ανάπτυξη... Δες το σχήμα μου. Η απόσταση ανάμεσα στα στηρίγματα είναι όλη η ράβδος μείον τις ακρουλες, d η καθεμία. Guest 691153 Επισκέπτης Ο/Η @ αυτή τη στιγμή δεν είναι συνδεδεμέν@. Είναι διαγραμμένος λογαριασμός. 6 Οκτωβρίου 2024 στις 19:24 Ο Guest 691153: #273 06-10-24 19:24 μπρο εχω γαμησει την ασκηση τοσο ασχημα juanium Εκκολαπτόμενο μέλος Ο Αλέξανδρος δεν κοινοποιεί τη δραστηριότητά του. Είναι 18 ετών, Φοιτητής του τμήματος Πληροφορικής Πειραιά και μας γράφει από Χολαργός (Αττική). Έχει γράψει 384 μηνύματα. 6 Οκτωβρίου 2024 στις 19:57 Ο juanium έγραψε: #274 06-10-24 19:57 Αρχική Δημοσίευση από nearos: μπρο εχω γαμησει την ασκηση τοσο ασχημα Click για ανάπτυξη... Δες την ήρεμα από την αρχή. Έχεις 3 συνθήκες ισορροπίας. Ροπές 0 στο Α, ροπες 0 στο Β και δυνάμεις στον ψ 0. Με αυτές τις τρεις βγάζεις 3 σχέσεις με 3 άγνωστους (Να, Νβ και Χ) Guest 691153 Επισκέπτης Ο/Η @ αυτή τη στιγμή δεν είναι συνδεδεμέν@. Είναι διαγραμμένος λογαριασμός. 6 Οκτωβρίου 2024 στις 19:58 Ο Guest 691153: #275 06-10-24 19:58 Αρχική Δημοσίευση από juanium: Δες την ήρεμα από την αρχή. Έχεις 3 συνθήκες ισορροπίας. Ροπές 0 στο Α, ροπες 0 στο Β και δυνάμεις στον ψ 0. Με αυτές τις τρεις βγάζεις 3 σχέσεις με 3 άγνωστους (Να, Νβ και Χ) Click για ανάπτυξη... Το ξερω και καταλαβα τι εκανες Προσπάθησα 3 φορές να το λύσω και μου έβγαινε απόσταση αρνητική, οπότε λέω να πάει στο διάολο... θα την κοιτάξω αύριο με πιο ήρεμο κεφάλι. Ευχαριστωπ ολυ για την βοηθεια Dias Επιφανές μέλος Ο Dias δεν κοινοποιεί τη δραστηριότητά του. Είναι Καθηγητής κι έχει σπουδάσει στο τμήμα Φυσικής ΕΚΠΑ (Αθήνα). Έχει γράψει 10.922 μηνύματα. 6 Οκτωβρίου 2024 στις 21:08 Ο Dias έγραψε: #276 06-10-24 21:08 Ανατροπή : δεν ακουμπά Α => ΝΑ = 0. Μόλις ανατρέπεται = μόλις ισορροπεί ΣτΒ = 0 => WΡ.ΚΒ - W.ΣΒ = 0 => 150.1 - 750.(1-χ) = 0 => χ = 0,8m vanessa99 Δραστήριο μέλος Η vanessa99 δεν κοινοποιεί τη δραστηριότητά της. Είναι Φοιτήτρια του τμήματος Νοσηλευτικής ΕΚΠΑ (Αθήνα). Έχει γράψει 621 μηνύματα. 6 Οκτωβρίου 2024 στις 21:27 Η vanessa99: #277 06-10-24 21:27 Αρχική Δημοσίευση από Dias: Ανατροπή : δεν ακουμπά Α => ΝΑ = 0. Μόλις ανατρέπεται = μόλις ισορροπεί Click για ανάπτυξη... Ευχαριστούμε @Dias ! Θα μπορούσες να εξηγήσεις αυτό λίγο παραπάνω; Δεν έχω φτάσει ακόμα σε ταλαντώσεις/στερεό, αλλά ήταν κάτι που με παίδευε αρκετά Dias Επιφανές μέλος Ο Dias δεν κοινοποιεί τη δραστηριότητά του. Είναι Καθηγητής κι έχει σπουδάσει στο τμήμα Φυσικής ΕΚΠΑ (Αθήνα). Έχει γράψει 10.922 μηνύματα. 6 Οκτωβρίου 2024 στις 21:35 Ο Dias έγραψε: #278 06-10-24 21:35 Αρχική Δημοσίευση από vanessa99: Θα μπορούσες να εξηγήσεις αυτό λίγο παραπάνω; Click για ανάπτυξη... Ανατρέπεται άρα σηκώνεται και δεν ακουμπά. Μόλις θα πει να έχουμε την ίδια στιγμή συγχρόνως δύο καταστάσεις. π.χ. Μόλις ήρθε (για κάποιους) = μόλις έφυγε (για κάποιους άλλους) , μόλις ανατρέπεται = μόλις ισορροπεί. Guest 691153 Επισκέπτης Ο/Η @ αυτή τη στιγμή δεν είναι συνδεδεμέν@. Είναι διαγραμμένος λογαριασμός. 6 Οκτωβρίου 2024 στις 21:42 Ο Guest 691153: #279 06-10-24 21:42 Σαχλη ερώτηση γνωρίζω οτι εντος υλης ειναι οι αρχικές φάσεις π, π/2. Ομως γίνεται ξερωγω να έχουμε φ0=-π/2; (απο αρνητικα να ξεκιναει με υ=0 και να κατευθύνεται προς τα θετικά) vanessa99 Δραστήριο μέλος Η vanessa99 δεν κοινοποιεί τη δραστηριότητά της. Είναι Φοιτήτρια του τμήματος Νοσηλευτικής ΕΚΠΑ (Αθήνα). Έχει γράψει 621 μηνύματα. 6 Οκτωβρίου 2024 στις 22:06 Η vanessa99: #280 06-10-24 22:06 Αρχική Δημοσίευση από Dias: Ανατρέπεται άρα σηκώνεται και δεν ακουμπά. Μόλις θα πει να έχουμε την ίδια στιγμή συγχρόνως δύο καταστάσεις. π.χ. Μόλις ήρθε (για κάποιους) = μόλις έφυγε (για κάποιους άλλους) , μόλις ανατρέπεται = μόλις ισορροπεί. Click για ανάπτυξη... Οπότε όταν έχω "μέγιστο τάδε για να μην ανατραπεί" αντί να πάρω την κλασική ισορροπία, παίρνω ότι το ένα σημείο έχει ΣF=0 και το άλλο κανονικά ισορροπεί και δουλεύω έτσι. Σωστά; Ευχαριστώ πάρα πολύ! Προηγούμενη 1 ... Πήγαινε στη σελίδα Πάμε 12 13 14 15 Επόμενη First Προηγούμενη 14 από 15 Πήγαινε στη σελίδα Πάμε Επόμενη Last Σελίδα: 14 από 15 Πήγαινε στη σελίδα Πάμε Συνδεθείτε ή εγγραφείτε για να απαντήσετε εδώ. Χρήστες Βρείτε παρόμοια Τα παρακάτω 0 μέλη και 1 επισκέπτες διαβάζουν μαζί με εσάς αυτό το θέμα: Tα παρακάτω 155 μέλη διάβασαν αυτό το θέμα: Angelb Marel BillyTheKid trifasikodiavasma Corfu kitty userguest suaimhneas Maynard jellojina Hecticism BatGuin panosT436 sofia07 patatosalata22 Than003 FNC_Sophia iren Giannis_19 jYanniss wmaria Kate1914 Viktoriaki Vasilis125 Steliosgkougkou mysticfallsgirl12 Lia 2006 Ness ioanna2007 donut_daddy ntinos... sciencegeek Unboxholics woasibe sophiaa GV221 charmander bibliofagos Evangeloz bbb love_to_learn Panatha mono Enhypen panaman grad778 thepigod762 nikolakisss_ Magigi peter347 Alexecon1991 synthnightingale Indecisive2 Only physics Γατέχων Startx0 Wonderkid Scandal flowermd Help :) Chrisphys Helen06 Mitsaras23 Marianna.diamanti Albert.123 tan07 Georgepap_21 Coconut201 MrDragonboy chjan soleilst Ilovemycats27 BiteTheDust Μήτσος10 Elwik Mariahj DetectiveAgg stee Yorgos L bill09876 marilenaaa pannnos1992 fofo carnage Mhtsaras76 user111 Obi-Wan Kenobi neurogirl Lifelong Learner Yolo06 ROULI Human being iiTzArismaltor_ Chris180 math2arch Εριφύλη Jimpower Χρήστος2006 dimitra* xrisamikol xristarac gmoutzour Mara2004 PanosApo eukleidhs1821 angies Angelikaaa Sofos Gerontas Φορτώνει... Μοιραστείτε: Facebook X Bluesky LinkedIn Reddit Pinterest Tumblr WhatsApp Email Μοιραστείτε Link ΑΠΑΝΤΗΣΗ Το forum μας χρησιμοποιεί cookies για να βελτιστοποιήσει την εμπειρία σας. Συνεχίζοντας την περιήγησή σας, συναινείτε στη χρήση cookies στον περιηγητή σας. Συμφωνώ Περισσότερα... Back Top
Cade Πολύ δραστήριο μέλος Ο Cade δεν κοινοποιεί τη δραστηριότητά του. Είναι Απόφοιτος λυκείου. Έχει γράψει 874 μηνύματα. 5 Σεπτεμβρίου 2024 στις 17:01 Ο Cade έγραψε: #264 05-09-24 17:01 Αρχική Δημοσίευση από nearos: παραθέτω και τον τροπο εργασίας... Ηθελα απλως να επιβεβαιωσω τις απαντήσεις.. Click για ανάπτυξη... Η πρώτη είναι για κ=0 Guest 691153 Επισκέπτης Ο/Η @ αυτή τη στιγμή δεν είναι συνδεδεμέν@. Είναι διαγραμμένος λογαριασμός. 5 Σεπτεμβρίου 2024 στις 17:03 Ο Guest 691153: #265 05-09-24 17:03 Αρχική Δημοσίευση από Cade: Η πρώτη είναι για κ=0 Click για ανάπτυξη... Guest 691153 Επισκέπτης Ο/Η @ αυτή τη στιγμή δεν είναι συνδεδεμέν@. Είναι διαγραμμένος λογαριασμός. 9 Σεπτεμβρίου 2024 στις 23:37 Ο Guest 691153: #266 09-09-24 23:37 Θελω λίγη βοήθεια με το α. Τι εννοεί να γράψω την αλγεβρική τιμή της δυναμης του ελατηρίου σε συνάρτηση με την απομάκρυνση του σώματος απο τη θεση ισορροπίας του; Απλα κανω Fελ=-Dx? Αυτόματη ένωση συνεχόμενων μηνυμάτων: 9 Σεπτεμβρίου 2024 εκανα βεβαια D=k=mω^2 => ω=5.. Επεξεργάστηκε από συντονιστή: 9 Σεπτεμβρίου 2024 juanium Εκκολαπτόμενο μέλος Ο Αλέξανδρος δεν κοινοποιεί τη δραστηριότητά του. Είναι 18 ετών, Φοιτητής του τμήματος Πληροφορικής Πειραιά και μας γράφει από Χολαργός (Αττική). Έχει γράψει 384 μηνύματα. 10 Σεπτεμβρίου 2024 στις 00:34 Ο juanium έγραψε: #267 10-09-24 00:34 Αρχική Δημοσίευση από nearos: Θελω λίγη βοήθεια με το α. Τι εννοεί να γράψω την αλγεβρική τιμή της δυναμης του ελατηρίου σε συνάρτηση με την απομάκρυνση του σώματος απο τη θεση ισορροπίας του; Απλα κανω Fελ=-Dx? Αυτόματη ένωση συνεχόμενων μηνυμάτων: 9 Σεπτεμβρίου 2024 εκανα βεβαια D=k=mω^2 => ω=5.. Click για ανάπτυξη... Guest 691153 Επισκέπτης Ο/Η @ αυτή τη στιγμή δεν είναι συνδεδεμέν@. Είναι διαγραμμένος λογαριασμός. 10 Σεπτεμβρίου 2024 στις 00:37 Ο Guest 691153: #268 10-09-24 00:37 Αρχική Δημοσίευση από juanium: Click για ανάπτυξη... Νασαι καλά ρε παλλικάρι. Με παραξένευσε το 7.5ριζα3 . Βελτιώνομαι σιγα σιγα Guest 691153 Επισκέπτης Ο/Η @ αυτή τη στιγμή δεν είναι συνδεδεμέν@. Είναι διαγραμμένος λογαριασμός. 6 Οκτωβρίου 2024 στις 17:33 Ο Guest 691153: #269 06-10-24 17:33 "Eνα σωμα βαρους w=750Ν ειναι τοποθετημενο πανω σε δοκο μηκους 4μετρων και βαρους 150Ν. Η δοκός στηρίζεται στα σημεια Α και Β που απέχουν αποσταση 1 μετρο απο τα ακρα της. Ποια είναι η μέγιστη απόσταση απο τα ακρα της δοκου που μπορεί να τοποθετηθεί το σώμα ωστε αυτή να μην ανατραπεί; Το Να και το Νβ ειναι αγνωστα.. Σκεφτηκα να κανω ενα σύστημα στην αρχή αλλα μετα εχω και το d που εινια αγνωστο... Σύστημα με 3 αγνώστους;; juanium Εκκολαπτόμενο μέλος Ο Αλέξανδρος δεν κοινοποιεί τη δραστηριότητά του. Είναι 18 ετών, Φοιτητής του τμήματος Πληροφορικής Πειραιά και μας γράφει από Χολαργός (Αττική). Έχει γράψει 384 μηνύματα. 6 Οκτωβρίου 2024 στις 18:11 Ο juanium έγραψε: #270 06-10-24 18:11 ελπιζω να μην εκανα αριθμητικο @nearos τωρα ειδα αυτος θελει αποσταση απο την ακρη αρα 1 - 0.8 = 0.2m Guest 691153 Επισκέπτης Ο/Η @ αυτή τη στιγμή δεν είναι συνδεδεμέν@. Είναι διαγραμμένος λογαριασμός. 6 Οκτωβρίου 2024 στις 18:59 Ο Guest 691153: #271 06-10-24 18:59 Τι ειναι αυτα τα 2d? juanium Εκκολαπτόμενο μέλος Ο Αλέξανδρος δεν κοινοποιεί τη δραστηριότητά του. Είναι 18 ετών, Φοιτητής του τμήματος Πληροφορικής Πειραιά και μας γράφει από Χολαργός (Αττική). Έχει γράψει 384 μηνύματα. 6 Οκτωβρίου 2024 στις 19:09 Ο juanium έγραψε: #272 06-10-24 19:09 Αρχική Δημοσίευση από nearos: Τι ειναι αυτα τα 2d? Click για ανάπτυξη... Δες το σχήμα μου. Η απόσταση ανάμεσα στα στηρίγματα είναι όλη η ράβδος μείον τις ακρουλες, d η καθεμία. Guest 691153 Επισκέπτης Ο/Η @ αυτή τη στιγμή δεν είναι συνδεδεμέν@. Είναι διαγραμμένος λογαριασμός. 6 Οκτωβρίου 2024 στις 19:24 Ο Guest 691153: #273 06-10-24 19:24 μπρο εχω γαμησει την ασκηση τοσο ασχημα juanium Εκκολαπτόμενο μέλος Ο Αλέξανδρος δεν κοινοποιεί τη δραστηριότητά του. Είναι 18 ετών, Φοιτητής του τμήματος Πληροφορικής Πειραιά και μας γράφει από Χολαργός (Αττική). Έχει γράψει 384 μηνύματα. 6 Οκτωβρίου 2024 στις 19:57 Ο juanium έγραψε: #274 06-10-24 19:57 Αρχική Δημοσίευση από nearos: μπρο εχω γαμησει την ασκηση τοσο ασχημα Click για ανάπτυξη... Δες την ήρεμα από την αρχή. Έχεις 3 συνθήκες ισορροπίας. Ροπές 0 στο Α, ροπες 0 στο Β και δυνάμεις στον ψ 0. Με αυτές τις τρεις βγάζεις 3 σχέσεις με 3 άγνωστους (Να, Νβ και Χ) Guest 691153 Επισκέπτης Ο/Η @ αυτή τη στιγμή δεν είναι συνδεδεμέν@. Είναι διαγραμμένος λογαριασμός. 6 Οκτωβρίου 2024 στις 19:58 Ο Guest 691153: #275 06-10-24 19:58 Αρχική Δημοσίευση από juanium: Δες την ήρεμα από την αρχή. Έχεις 3 συνθήκες ισορροπίας. Ροπές 0 στο Α, ροπες 0 στο Β και δυνάμεις στον ψ 0. Με αυτές τις τρεις βγάζεις 3 σχέσεις με 3 άγνωστους (Να, Νβ και Χ) Click για ανάπτυξη... Το ξερω και καταλαβα τι εκανες Προσπάθησα 3 φορές να το λύσω και μου έβγαινε απόσταση αρνητική, οπότε λέω να πάει στο διάολο... θα την κοιτάξω αύριο με πιο ήρεμο κεφάλι. Ευχαριστωπ ολυ για την βοηθεια Dias Επιφανές μέλος Ο Dias δεν κοινοποιεί τη δραστηριότητά του. Είναι Καθηγητής κι έχει σπουδάσει στο τμήμα Φυσικής ΕΚΠΑ (Αθήνα). Έχει γράψει 10.922 μηνύματα. 6 Οκτωβρίου 2024 στις 21:08 Ο Dias έγραψε: #276 06-10-24 21:08 Ανατροπή : δεν ακουμπά Α => ΝΑ = 0. Μόλις ανατρέπεται = μόλις ισορροπεί ΣτΒ = 0 => WΡ.ΚΒ - W.ΣΒ = 0 => 150.1 - 750.(1-χ) = 0 => χ = 0,8m vanessa99 Δραστήριο μέλος Η vanessa99 δεν κοινοποιεί τη δραστηριότητά της. Είναι Φοιτήτρια του τμήματος Νοσηλευτικής ΕΚΠΑ (Αθήνα). Έχει γράψει 621 μηνύματα. 6 Οκτωβρίου 2024 στις 21:27 Η vanessa99: #277 06-10-24 21:27 Αρχική Δημοσίευση από Dias: Ανατροπή : δεν ακουμπά Α => ΝΑ = 0. Μόλις ανατρέπεται = μόλις ισορροπεί Click για ανάπτυξη... Ευχαριστούμε @Dias ! Θα μπορούσες να εξηγήσεις αυτό λίγο παραπάνω; Δεν έχω φτάσει ακόμα σε ταλαντώσεις/στερεό, αλλά ήταν κάτι που με παίδευε αρκετά Dias Επιφανές μέλος Ο Dias δεν κοινοποιεί τη δραστηριότητά του. Είναι Καθηγητής κι έχει σπουδάσει στο τμήμα Φυσικής ΕΚΠΑ (Αθήνα). Έχει γράψει 10.922 μηνύματα. 6 Οκτωβρίου 2024 στις 21:35 Ο Dias έγραψε: #278 06-10-24 21:35 Αρχική Δημοσίευση από vanessa99: Θα μπορούσες να εξηγήσεις αυτό λίγο παραπάνω; Click για ανάπτυξη... Ανατρέπεται άρα σηκώνεται και δεν ακουμπά. Μόλις θα πει να έχουμε την ίδια στιγμή συγχρόνως δύο καταστάσεις. π.χ. Μόλις ήρθε (για κάποιους) = μόλις έφυγε (για κάποιους άλλους) , μόλις ανατρέπεται = μόλις ισορροπεί. Guest 691153 Επισκέπτης Ο/Η @ αυτή τη στιγμή δεν είναι συνδεδεμέν@. Είναι διαγραμμένος λογαριασμός. 6 Οκτωβρίου 2024 στις 21:42 Ο Guest 691153: #279 06-10-24 21:42 Σαχλη ερώτηση γνωρίζω οτι εντος υλης ειναι οι αρχικές φάσεις π, π/2. Ομως γίνεται ξερωγω να έχουμε φ0=-π/2; (απο αρνητικα να ξεκιναει με υ=0 και να κατευθύνεται προς τα θετικά) vanessa99 Δραστήριο μέλος Η vanessa99 δεν κοινοποιεί τη δραστηριότητά της. Είναι Φοιτήτρια του τμήματος Νοσηλευτικής ΕΚΠΑ (Αθήνα). Έχει γράψει 621 μηνύματα. 6 Οκτωβρίου 2024 στις 22:06 Η vanessa99: #280 06-10-24 22:06 Αρχική Δημοσίευση από Dias: Ανατρέπεται άρα σηκώνεται και δεν ακουμπά. Μόλις θα πει να έχουμε την ίδια στιγμή συγχρόνως δύο καταστάσεις. π.χ. Μόλις ήρθε (για κάποιους) = μόλις έφυγε (για κάποιους άλλους) , μόλις ανατρέπεται = μόλις ισορροπεί. Click για ανάπτυξη... Οπότε όταν έχω "μέγιστο τάδε για να μην ανατραπεί" αντί να πάρω την κλασική ισορροπία, παίρνω ότι το ένα σημείο έχει ΣF=0 και το άλλο κανονικά ισορροπεί και δουλεύω έτσι. Σωστά; Ευχαριστώ πάρα πολύ! Προηγούμενη 1 ... Πήγαινε στη σελίδα Πάμε 12 13 14 15 Επόμενη First Προηγούμενη 14 από 15 Πήγαινε στη σελίδα Πάμε Επόμενη Last Σελίδα: 14 από 15 Πήγαινε στη σελίδα Πάμε Συνδεθείτε ή εγγραφείτε για να απαντήσετε εδώ. Χρήστες Βρείτε παρόμοια Τα παρακάτω 0 μέλη και 1 επισκέπτες διαβάζουν μαζί με εσάς αυτό το θέμα: Tα παρακάτω 155 μέλη διάβασαν αυτό το θέμα: Angelb Marel BillyTheKid trifasikodiavasma Corfu kitty userguest suaimhneas Maynard jellojina Hecticism BatGuin panosT436 sofia07 patatosalata22 Than003 FNC_Sophia iren Giannis_19 jYanniss wmaria Kate1914 Viktoriaki Vasilis125 Steliosgkougkou mysticfallsgirl12 Lia 2006 Ness ioanna2007 donut_daddy ntinos... sciencegeek Unboxholics woasibe sophiaa GV221 charmander bibliofagos Evangeloz bbb love_to_learn Panatha mono Enhypen panaman grad778 thepigod762 nikolakisss_ Magigi peter347 Alexecon1991 synthnightingale Indecisive2 Only physics Γατέχων Startx0 Wonderkid Scandal flowermd Help :) Chrisphys Helen06 Mitsaras23 Marianna.diamanti Albert.123 tan07 Georgepap_21 Coconut201 MrDragonboy chjan soleilst Ilovemycats27 BiteTheDust Μήτσος10 Elwik Mariahj DetectiveAgg stee Yorgos L bill09876 marilenaaa pannnos1992 fofo carnage Mhtsaras76 user111 Obi-Wan Kenobi neurogirl Lifelong Learner Yolo06 ROULI Human being iiTzArismaltor_ Chris180 math2arch Εριφύλη Jimpower Χρήστος2006 dimitra* xrisamikol xristarac gmoutzour Mara2004 PanosApo eukleidhs1821 angies Angelikaaa Sofos Gerontas Φορτώνει... Μοιραστείτε: Facebook X Bluesky LinkedIn Reddit Pinterest Tumblr WhatsApp Email Μοιραστείτε Link ΑΠΑΝΤΗΣΗ Το forum μας χρησιμοποιεί cookies για να βελτιστοποιήσει την εμπειρία σας. Συνεχίζοντας την περιήγησή σας, συναινείτε στη χρήση cookies στον περιηγητή σας. Συμφωνώ Περισσότερα... Back Top
Αρχική Δημοσίευση από nearos: παραθέτω και τον τροπο εργασίας... Ηθελα απλως να επιβεβαιωσω τις απαντήσεις.. Click για ανάπτυξη... Η πρώτη είναι για κ=0
Guest 691153 Επισκέπτης Ο/Η @ αυτή τη στιγμή δεν είναι συνδεδεμέν@. Είναι διαγραμμένος λογαριασμός. 5 Σεπτεμβρίου 2024 στις 17:03 Ο Guest 691153: #265 05-09-24 17:03 Αρχική Δημοσίευση από Cade: Η πρώτη είναι για κ=0 Click για ανάπτυξη... Guest 691153 Επισκέπτης Ο/Η @ αυτή τη στιγμή δεν είναι συνδεδεμέν@. Είναι διαγραμμένος λογαριασμός. 9 Σεπτεμβρίου 2024 στις 23:37 Ο Guest 691153: #266 09-09-24 23:37 Θελω λίγη βοήθεια με το α. Τι εννοεί να γράψω την αλγεβρική τιμή της δυναμης του ελατηρίου σε συνάρτηση με την απομάκρυνση του σώματος απο τη θεση ισορροπίας του; Απλα κανω Fελ=-Dx? Αυτόματη ένωση συνεχόμενων μηνυμάτων: 9 Σεπτεμβρίου 2024 εκανα βεβαια D=k=mω^2 => ω=5.. Επεξεργάστηκε από συντονιστή: 9 Σεπτεμβρίου 2024 juanium Εκκολαπτόμενο μέλος Ο Αλέξανδρος δεν κοινοποιεί τη δραστηριότητά του. Είναι 18 ετών, Φοιτητής του τμήματος Πληροφορικής Πειραιά και μας γράφει από Χολαργός (Αττική). Έχει γράψει 384 μηνύματα. 10 Σεπτεμβρίου 2024 στις 00:34 Ο juanium έγραψε: #267 10-09-24 00:34 Αρχική Δημοσίευση από nearos: Θελω λίγη βοήθεια με το α. Τι εννοεί να γράψω την αλγεβρική τιμή της δυναμης του ελατηρίου σε συνάρτηση με την απομάκρυνση του σώματος απο τη θεση ισορροπίας του; Απλα κανω Fελ=-Dx? Αυτόματη ένωση συνεχόμενων μηνυμάτων: 9 Σεπτεμβρίου 2024 εκανα βεβαια D=k=mω^2 => ω=5.. Click για ανάπτυξη... Guest 691153 Επισκέπτης Ο/Η @ αυτή τη στιγμή δεν είναι συνδεδεμέν@. Είναι διαγραμμένος λογαριασμός. 10 Σεπτεμβρίου 2024 στις 00:37 Ο Guest 691153: #268 10-09-24 00:37 Αρχική Δημοσίευση από juanium: Click για ανάπτυξη... Νασαι καλά ρε παλλικάρι. Με παραξένευσε το 7.5ριζα3 . Βελτιώνομαι σιγα σιγα Guest 691153 Επισκέπτης Ο/Η @ αυτή τη στιγμή δεν είναι συνδεδεμέν@. Είναι διαγραμμένος λογαριασμός. 6 Οκτωβρίου 2024 στις 17:33 Ο Guest 691153: #269 06-10-24 17:33 "Eνα σωμα βαρους w=750Ν ειναι τοποθετημενο πανω σε δοκο μηκους 4μετρων και βαρους 150Ν. Η δοκός στηρίζεται στα σημεια Α και Β που απέχουν αποσταση 1 μετρο απο τα ακρα της. Ποια είναι η μέγιστη απόσταση απο τα ακρα της δοκου που μπορεί να τοποθετηθεί το σώμα ωστε αυτή να μην ανατραπεί; Το Να και το Νβ ειναι αγνωστα.. Σκεφτηκα να κανω ενα σύστημα στην αρχή αλλα μετα εχω και το d που εινια αγνωστο... Σύστημα με 3 αγνώστους;; juanium Εκκολαπτόμενο μέλος Ο Αλέξανδρος δεν κοινοποιεί τη δραστηριότητά του. Είναι 18 ετών, Φοιτητής του τμήματος Πληροφορικής Πειραιά και μας γράφει από Χολαργός (Αττική). Έχει γράψει 384 μηνύματα. 6 Οκτωβρίου 2024 στις 18:11 Ο juanium έγραψε: #270 06-10-24 18:11 ελπιζω να μην εκανα αριθμητικο @nearos τωρα ειδα αυτος θελει αποσταση απο την ακρη αρα 1 - 0.8 = 0.2m Guest 691153 Επισκέπτης Ο/Η @ αυτή τη στιγμή δεν είναι συνδεδεμέν@. Είναι διαγραμμένος λογαριασμός. 6 Οκτωβρίου 2024 στις 18:59 Ο Guest 691153: #271 06-10-24 18:59 Τι ειναι αυτα τα 2d? juanium Εκκολαπτόμενο μέλος Ο Αλέξανδρος δεν κοινοποιεί τη δραστηριότητά του. Είναι 18 ετών, Φοιτητής του τμήματος Πληροφορικής Πειραιά και μας γράφει από Χολαργός (Αττική). Έχει γράψει 384 μηνύματα. 6 Οκτωβρίου 2024 στις 19:09 Ο juanium έγραψε: #272 06-10-24 19:09 Αρχική Δημοσίευση από nearos: Τι ειναι αυτα τα 2d? Click για ανάπτυξη... Δες το σχήμα μου. Η απόσταση ανάμεσα στα στηρίγματα είναι όλη η ράβδος μείον τις ακρουλες, d η καθεμία. Guest 691153 Επισκέπτης Ο/Η @ αυτή τη στιγμή δεν είναι συνδεδεμέν@. Είναι διαγραμμένος λογαριασμός. 6 Οκτωβρίου 2024 στις 19:24 Ο Guest 691153: #273 06-10-24 19:24 μπρο εχω γαμησει την ασκηση τοσο ασχημα juanium Εκκολαπτόμενο μέλος Ο Αλέξανδρος δεν κοινοποιεί τη δραστηριότητά του. Είναι 18 ετών, Φοιτητής του τμήματος Πληροφορικής Πειραιά και μας γράφει από Χολαργός (Αττική). Έχει γράψει 384 μηνύματα. 6 Οκτωβρίου 2024 στις 19:57 Ο juanium έγραψε: #274 06-10-24 19:57 Αρχική Δημοσίευση από nearos: μπρο εχω γαμησει την ασκηση τοσο ασχημα Click για ανάπτυξη... Δες την ήρεμα από την αρχή. Έχεις 3 συνθήκες ισορροπίας. Ροπές 0 στο Α, ροπες 0 στο Β και δυνάμεις στον ψ 0. Με αυτές τις τρεις βγάζεις 3 σχέσεις με 3 άγνωστους (Να, Νβ και Χ) Guest 691153 Επισκέπτης Ο/Η @ αυτή τη στιγμή δεν είναι συνδεδεμέν@. Είναι διαγραμμένος λογαριασμός. 6 Οκτωβρίου 2024 στις 19:58 Ο Guest 691153: #275 06-10-24 19:58 Αρχική Δημοσίευση από juanium: Δες την ήρεμα από την αρχή. Έχεις 3 συνθήκες ισορροπίας. Ροπές 0 στο Α, ροπες 0 στο Β και δυνάμεις στον ψ 0. Με αυτές τις τρεις βγάζεις 3 σχέσεις με 3 άγνωστους (Να, Νβ και Χ) Click για ανάπτυξη... Το ξερω και καταλαβα τι εκανες Προσπάθησα 3 φορές να το λύσω και μου έβγαινε απόσταση αρνητική, οπότε λέω να πάει στο διάολο... θα την κοιτάξω αύριο με πιο ήρεμο κεφάλι. Ευχαριστωπ ολυ για την βοηθεια Dias Επιφανές μέλος Ο Dias δεν κοινοποιεί τη δραστηριότητά του. Είναι Καθηγητής κι έχει σπουδάσει στο τμήμα Φυσικής ΕΚΠΑ (Αθήνα). Έχει γράψει 10.922 μηνύματα. 6 Οκτωβρίου 2024 στις 21:08 Ο Dias έγραψε: #276 06-10-24 21:08 Ανατροπή : δεν ακουμπά Α => ΝΑ = 0. Μόλις ανατρέπεται = μόλις ισορροπεί ΣτΒ = 0 => WΡ.ΚΒ - W.ΣΒ = 0 => 150.1 - 750.(1-χ) = 0 => χ = 0,8m vanessa99 Δραστήριο μέλος Η vanessa99 δεν κοινοποιεί τη δραστηριότητά της. Είναι Φοιτήτρια του τμήματος Νοσηλευτικής ΕΚΠΑ (Αθήνα). Έχει γράψει 621 μηνύματα. 6 Οκτωβρίου 2024 στις 21:27 Η vanessa99: #277 06-10-24 21:27 Αρχική Δημοσίευση από Dias: Ανατροπή : δεν ακουμπά Α => ΝΑ = 0. Μόλις ανατρέπεται = μόλις ισορροπεί Click για ανάπτυξη... Ευχαριστούμε @Dias ! Θα μπορούσες να εξηγήσεις αυτό λίγο παραπάνω; Δεν έχω φτάσει ακόμα σε ταλαντώσεις/στερεό, αλλά ήταν κάτι που με παίδευε αρκετά Dias Επιφανές μέλος Ο Dias δεν κοινοποιεί τη δραστηριότητά του. Είναι Καθηγητής κι έχει σπουδάσει στο τμήμα Φυσικής ΕΚΠΑ (Αθήνα). Έχει γράψει 10.922 μηνύματα. 6 Οκτωβρίου 2024 στις 21:35 Ο Dias έγραψε: #278 06-10-24 21:35 Αρχική Δημοσίευση από vanessa99: Θα μπορούσες να εξηγήσεις αυτό λίγο παραπάνω; Click για ανάπτυξη... Ανατρέπεται άρα σηκώνεται και δεν ακουμπά. Μόλις θα πει να έχουμε την ίδια στιγμή συγχρόνως δύο καταστάσεις. π.χ. Μόλις ήρθε (για κάποιους) = μόλις έφυγε (για κάποιους άλλους) , μόλις ανατρέπεται = μόλις ισορροπεί. Guest 691153 Επισκέπτης Ο/Η @ αυτή τη στιγμή δεν είναι συνδεδεμέν@. Είναι διαγραμμένος λογαριασμός. 6 Οκτωβρίου 2024 στις 21:42 Ο Guest 691153: #279 06-10-24 21:42 Σαχλη ερώτηση γνωρίζω οτι εντος υλης ειναι οι αρχικές φάσεις π, π/2. Ομως γίνεται ξερωγω να έχουμε φ0=-π/2; (απο αρνητικα να ξεκιναει με υ=0 και να κατευθύνεται προς τα θετικά) vanessa99 Δραστήριο μέλος Η vanessa99 δεν κοινοποιεί τη δραστηριότητά της. Είναι Φοιτήτρια του τμήματος Νοσηλευτικής ΕΚΠΑ (Αθήνα). Έχει γράψει 621 μηνύματα. 6 Οκτωβρίου 2024 στις 22:06 Η vanessa99: #280 06-10-24 22:06 Αρχική Δημοσίευση από Dias: Ανατρέπεται άρα σηκώνεται και δεν ακουμπά. Μόλις θα πει να έχουμε την ίδια στιγμή συγχρόνως δύο καταστάσεις. π.χ. Μόλις ήρθε (για κάποιους) = μόλις έφυγε (για κάποιους άλλους) , μόλις ανατρέπεται = μόλις ισορροπεί. Click για ανάπτυξη... Οπότε όταν έχω "μέγιστο τάδε για να μην ανατραπεί" αντί να πάρω την κλασική ισορροπία, παίρνω ότι το ένα σημείο έχει ΣF=0 και το άλλο κανονικά ισορροπεί και δουλεύω έτσι. Σωστά; Ευχαριστώ πάρα πολύ! Προηγούμενη 1 ... Πήγαινε στη σελίδα Πάμε 12 13 14 15 Επόμενη First Προηγούμενη 14 από 15 Πήγαινε στη σελίδα Πάμε Επόμενη Last Σελίδα: 14 από 15 Πήγαινε στη σελίδα Πάμε Συνδεθείτε ή εγγραφείτε για να απαντήσετε εδώ. Χρήστες Βρείτε παρόμοια Τα παρακάτω 0 μέλη και 1 επισκέπτες διαβάζουν μαζί με εσάς αυτό το θέμα: Tα παρακάτω 155 μέλη διάβασαν αυτό το θέμα: Angelb Marel BillyTheKid trifasikodiavasma Corfu kitty userguest suaimhneas Maynard jellojina Hecticism BatGuin panosT436 sofia07 patatosalata22 Than003 FNC_Sophia iren Giannis_19 jYanniss wmaria Kate1914 Viktoriaki Vasilis125 Steliosgkougkou mysticfallsgirl12 Lia 2006 Ness ioanna2007 donut_daddy ntinos... sciencegeek Unboxholics woasibe sophiaa GV221 charmander bibliofagos Evangeloz bbb love_to_learn Panatha mono Enhypen panaman grad778 thepigod762 nikolakisss_ Magigi peter347 Alexecon1991 synthnightingale Indecisive2 Only physics Γατέχων Startx0 Wonderkid Scandal flowermd Help :) Chrisphys Helen06 Mitsaras23 Marianna.diamanti Albert.123 tan07 Georgepap_21 Coconut201 MrDragonboy chjan soleilst Ilovemycats27 BiteTheDust Μήτσος10 Elwik Mariahj DetectiveAgg stee Yorgos L bill09876 marilenaaa pannnos1992 fofo carnage Mhtsaras76 user111 Obi-Wan Kenobi neurogirl Lifelong Learner Yolo06 ROULI Human being iiTzArismaltor_ Chris180 math2arch Εριφύλη Jimpower Χρήστος2006 dimitra* xrisamikol xristarac gmoutzour Mara2004 PanosApo eukleidhs1821 angies Angelikaaa Sofos Gerontas Φορτώνει... Μοιραστείτε: Facebook X Bluesky LinkedIn Reddit Pinterest Tumblr WhatsApp Email Μοιραστείτε Link ΑΠΑΝΤΗΣΗ Το forum μας χρησιμοποιεί cookies για να βελτιστοποιήσει την εμπειρία σας. Συνεχίζοντας την περιήγησή σας, συναινείτε στη χρήση cookies στον περιηγητή σας. Συμφωνώ Περισσότερα... Back Top
Guest 691153 Επισκέπτης Ο/Η @ αυτή τη στιγμή δεν είναι συνδεδεμέν@. Είναι διαγραμμένος λογαριασμός. 9 Σεπτεμβρίου 2024 στις 23:37 Ο Guest 691153: #266 09-09-24 23:37 Θελω λίγη βοήθεια με το α. Τι εννοεί να γράψω την αλγεβρική τιμή της δυναμης του ελατηρίου σε συνάρτηση με την απομάκρυνση του σώματος απο τη θεση ισορροπίας του; Απλα κανω Fελ=-Dx? Αυτόματη ένωση συνεχόμενων μηνυμάτων: 9 Σεπτεμβρίου 2024 εκανα βεβαια D=k=mω^2 => ω=5.. Επεξεργάστηκε από συντονιστή: 9 Σεπτεμβρίου 2024 juanium Εκκολαπτόμενο μέλος Ο Αλέξανδρος δεν κοινοποιεί τη δραστηριότητά του. Είναι 18 ετών, Φοιτητής του τμήματος Πληροφορικής Πειραιά και μας γράφει από Χολαργός (Αττική). Έχει γράψει 384 μηνύματα. 10 Σεπτεμβρίου 2024 στις 00:34 Ο juanium έγραψε: #267 10-09-24 00:34 Αρχική Δημοσίευση από nearos: Θελω λίγη βοήθεια με το α. Τι εννοεί να γράψω την αλγεβρική τιμή της δυναμης του ελατηρίου σε συνάρτηση με την απομάκρυνση του σώματος απο τη θεση ισορροπίας του; Απλα κανω Fελ=-Dx? Αυτόματη ένωση συνεχόμενων μηνυμάτων: 9 Σεπτεμβρίου 2024 εκανα βεβαια D=k=mω^2 => ω=5.. Click για ανάπτυξη... Guest 691153 Επισκέπτης Ο/Η @ αυτή τη στιγμή δεν είναι συνδεδεμέν@. Είναι διαγραμμένος λογαριασμός. 10 Σεπτεμβρίου 2024 στις 00:37 Ο Guest 691153: #268 10-09-24 00:37 Αρχική Δημοσίευση από juanium: Click για ανάπτυξη... Νασαι καλά ρε παλλικάρι. Με παραξένευσε το 7.5ριζα3 . Βελτιώνομαι σιγα σιγα Guest 691153 Επισκέπτης Ο/Η @ αυτή τη στιγμή δεν είναι συνδεδεμέν@. Είναι διαγραμμένος λογαριασμός. 6 Οκτωβρίου 2024 στις 17:33 Ο Guest 691153: #269 06-10-24 17:33 "Eνα σωμα βαρους w=750Ν ειναι τοποθετημενο πανω σε δοκο μηκους 4μετρων και βαρους 150Ν. Η δοκός στηρίζεται στα σημεια Α και Β που απέχουν αποσταση 1 μετρο απο τα ακρα της. Ποια είναι η μέγιστη απόσταση απο τα ακρα της δοκου που μπορεί να τοποθετηθεί το σώμα ωστε αυτή να μην ανατραπεί; Το Να και το Νβ ειναι αγνωστα.. Σκεφτηκα να κανω ενα σύστημα στην αρχή αλλα μετα εχω και το d που εινια αγνωστο... Σύστημα με 3 αγνώστους;; juanium Εκκολαπτόμενο μέλος Ο Αλέξανδρος δεν κοινοποιεί τη δραστηριότητά του. Είναι 18 ετών, Φοιτητής του τμήματος Πληροφορικής Πειραιά και μας γράφει από Χολαργός (Αττική). Έχει γράψει 384 μηνύματα. 6 Οκτωβρίου 2024 στις 18:11 Ο juanium έγραψε: #270 06-10-24 18:11 ελπιζω να μην εκανα αριθμητικο @nearos τωρα ειδα αυτος θελει αποσταση απο την ακρη αρα 1 - 0.8 = 0.2m Guest 691153 Επισκέπτης Ο/Η @ αυτή τη στιγμή δεν είναι συνδεδεμέν@. Είναι διαγραμμένος λογαριασμός. 6 Οκτωβρίου 2024 στις 18:59 Ο Guest 691153: #271 06-10-24 18:59 Τι ειναι αυτα τα 2d? juanium Εκκολαπτόμενο μέλος Ο Αλέξανδρος δεν κοινοποιεί τη δραστηριότητά του. Είναι 18 ετών, Φοιτητής του τμήματος Πληροφορικής Πειραιά και μας γράφει από Χολαργός (Αττική). Έχει γράψει 384 μηνύματα. 6 Οκτωβρίου 2024 στις 19:09 Ο juanium έγραψε: #272 06-10-24 19:09 Αρχική Δημοσίευση από nearos: Τι ειναι αυτα τα 2d? Click για ανάπτυξη... Δες το σχήμα μου. Η απόσταση ανάμεσα στα στηρίγματα είναι όλη η ράβδος μείον τις ακρουλες, d η καθεμία. Guest 691153 Επισκέπτης Ο/Η @ αυτή τη στιγμή δεν είναι συνδεδεμέν@. Είναι διαγραμμένος λογαριασμός. 6 Οκτωβρίου 2024 στις 19:24 Ο Guest 691153: #273 06-10-24 19:24 μπρο εχω γαμησει την ασκηση τοσο ασχημα juanium Εκκολαπτόμενο μέλος Ο Αλέξανδρος δεν κοινοποιεί τη δραστηριότητά του. Είναι 18 ετών, Φοιτητής του τμήματος Πληροφορικής Πειραιά και μας γράφει από Χολαργός (Αττική). Έχει γράψει 384 μηνύματα. 6 Οκτωβρίου 2024 στις 19:57 Ο juanium έγραψε: #274 06-10-24 19:57 Αρχική Δημοσίευση από nearos: μπρο εχω γαμησει την ασκηση τοσο ασχημα Click για ανάπτυξη... Δες την ήρεμα από την αρχή. Έχεις 3 συνθήκες ισορροπίας. Ροπές 0 στο Α, ροπες 0 στο Β και δυνάμεις στον ψ 0. Με αυτές τις τρεις βγάζεις 3 σχέσεις με 3 άγνωστους (Να, Νβ και Χ) Guest 691153 Επισκέπτης Ο/Η @ αυτή τη στιγμή δεν είναι συνδεδεμέν@. Είναι διαγραμμένος λογαριασμός. 6 Οκτωβρίου 2024 στις 19:58 Ο Guest 691153: #275 06-10-24 19:58 Αρχική Δημοσίευση από juanium: Δες την ήρεμα από την αρχή. Έχεις 3 συνθήκες ισορροπίας. Ροπές 0 στο Α, ροπες 0 στο Β και δυνάμεις στον ψ 0. Με αυτές τις τρεις βγάζεις 3 σχέσεις με 3 άγνωστους (Να, Νβ και Χ) Click για ανάπτυξη... Το ξερω και καταλαβα τι εκανες Προσπάθησα 3 φορές να το λύσω και μου έβγαινε απόσταση αρνητική, οπότε λέω να πάει στο διάολο... θα την κοιτάξω αύριο με πιο ήρεμο κεφάλι. Ευχαριστωπ ολυ για την βοηθεια Dias Επιφανές μέλος Ο Dias δεν κοινοποιεί τη δραστηριότητά του. Είναι Καθηγητής κι έχει σπουδάσει στο τμήμα Φυσικής ΕΚΠΑ (Αθήνα). Έχει γράψει 10.922 μηνύματα. 6 Οκτωβρίου 2024 στις 21:08 Ο Dias έγραψε: #276 06-10-24 21:08 Ανατροπή : δεν ακουμπά Α => ΝΑ = 0. Μόλις ανατρέπεται = μόλις ισορροπεί ΣτΒ = 0 => WΡ.ΚΒ - W.ΣΒ = 0 => 150.1 - 750.(1-χ) = 0 => χ = 0,8m vanessa99 Δραστήριο μέλος Η vanessa99 δεν κοινοποιεί τη δραστηριότητά της. Είναι Φοιτήτρια του τμήματος Νοσηλευτικής ΕΚΠΑ (Αθήνα). Έχει γράψει 621 μηνύματα. 6 Οκτωβρίου 2024 στις 21:27 Η vanessa99: #277 06-10-24 21:27 Αρχική Δημοσίευση από Dias: Ανατροπή : δεν ακουμπά Α => ΝΑ = 0. Μόλις ανατρέπεται = μόλις ισορροπεί Click για ανάπτυξη... Ευχαριστούμε @Dias ! Θα μπορούσες να εξηγήσεις αυτό λίγο παραπάνω; Δεν έχω φτάσει ακόμα σε ταλαντώσεις/στερεό, αλλά ήταν κάτι που με παίδευε αρκετά Dias Επιφανές μέλος Ο Dias δεν κοινοποιεί τη δραστηριότητά του. Είναι Καθηγητής κι έχει σπουδάσει στο τμήμα Φυσικής ΕΚΠΑ (Αθήνα). Έχει γράψει 10.922 μηνύματα. 6 Οκτωβρίου 2024 στις 21:35 Ο Dias έγραψε: #278 06-10-24 21:35 Αρχική Δημοσίευση από vanessa99: Θα μπορούσες να εξηγήσεις αυτό λίγο παραπάνω; Click για ανάπτυξη... Ανατρέπεται άρα σηκώνεται και δεν ακουμπά. Μόλις θα πει να έχουμε την ίδια στιγμή συγχρόνως δύο καταστάσεις. π.χ. Μόλις ήρθε (για κάποιους) = μόλις έφυγε (για κάποιους άλλους) , μόλις ανατρέπεται = μόλις ισορροπεί. Guest 691153 Επισκέπτης Ο/Η @ αυτή τη στιγμή δεν είναι συνδεδεμέν@. Είναι διαγραμμένος λογαριασμός. 6 Οκτωβρίου 2024 στις 21:42 Ο Guest 691153: #279 06-10-24 21:42 Σαχλη ερώτηση γνωρίζω οτι εντος υλης ειναι οι αρχικές φάσεις π, π/2. Ομως γίνεται ξερωγω να έχουμε φ0=-π/2; (απο αρνητικα να ξεκιναει με υ=0 και να κατευθύνεται προς τα θετικά) vanessa99 Δραστήριο μέλος Η vanessa99 δεν κοινοποιεί τη δραστηριότητά της. Είναι Φοιτήτρια του τμήματος Νοσηλευτικής ΕΚΠΑ (Αθήνα). Έχει γράψει 621 μηνύματα. 6 Οκτωβρίου 2024 στις 22:06 Η vanessa99: #280 06-10-24 22:06 Αρχική Δημοσίευση από Dias: Ανατρέπεται άρα σηκώνεται και δεν ακουμπά. Μόλις θα πει να έχουμε την ίδια στιγμή συγχρόνως δύο καταστάσεις. π.χ. Μόλις ήρθε (για κάποιους) = μόλις έφυγε (για κάποιους άλλους) , μόλις ανατρέπεται = μόλις ισορροπεί. Click για ανάπτυξη... Οπότε όταν έχω "μέγιστο τάδε για να μην ανατραπεί" αντί να πάρω την κλασική ισορροπία, παίρνω ότι το ένα σημείο έχει ΣF=0 και το άλλο κανονικά ισορροπεί και δουλεύω έτσι. Σωστά; Ευχαριστώ πάρα πολύ! Προηγούμενη 1 ... Πήγαινε στη σελίδα Πάμε 12 13 14 15 Επόμενη First Προηγούμενη 14 από 15 Πήγαινε στη σελίδα Πάμε Επόμενη Last Σελίδα: 14 από 15 Πήγαινε στη σελίδα Πάμε Συνδεθείτε ή εγγραφείτε για να απαντήσετε εδώ. Χρήστες Βρείτε παρόμοια Τα παρακάτω 0 μέλη και 1 επισκέπτες διαβάζουν μαζί με εσάς αυτό το θέμα: Tα παρακάτω 155 μέλη διάβασαν αυτό το θέμα: Angelb Marel BillyTheKid trifasikodiavasma Corfu kitty userguest suaimhneas Maynard jellojina Hecticism BatGuin panosT436 sofia07 patatosalata22 Than003 FNC_Sophia iren Giannis_19 jYanniss wmaria Kate1914 Viktoriaki Vasilis125 Steliosgkougkou mysticfallsgirl12 Lia 2006 Ness ioanna2007 donut_daddy ntinos... sciencegeek Unboxholics woasibe sophiaa GV221 charmander bibliofagos Evangeloz bbb love_to_learn Panatha mono Enhypen panaman grad778 thepigod762 nikolakisss_ Magigi peter347 Alexecon1991 synthnightingale Indecisive2 Only physics Γατέχων Startx0 Wonderkid Scandal flowermd Help :) Chrisphys Helen06 Mitsaras23 Marianna.diamanti Albert.123 tan07 Georgepap_21 Coconut201 MrDragonboy chjan soleilst Ilovemycats27 BiteTheDust Μήτσος10 Elwik Mariahj DetectiveAgg stee Yorgos L bill09876 marilenaaa pannnos1992 fofo carnage Mhtsaras76 user111 Obi-Wan Kenobi neurogirl Lifelong Learner Yolo06 ROULI Human being iiTzArismaltor_ Chris180 math2arch Εριφύλη Jimpower Χρήστος2006 dimitra* xrisamikol xristarac gmoutzour Mara2004 PanosApo eukleidhs1821 angies Angelikaaa Sofos Gerontas Φορτώνει... Μοιραστείτε: Facebook X Bluesky LinkedIn Reddit Pinterest Tumblr WhatsApp Email Μοιραστείτε Link ΑΠΑΝΤΗΣΗ Το forum μας χρησιμοποιεί cookies για να βελτιστοποιήσει την εμπειρία σας. Συνεχίζοντας την περιήγησή σας, συναινείτε στη χρήση cookies στον περιηγητή σας. Συμφωνώ Περισσότερα... Back Top
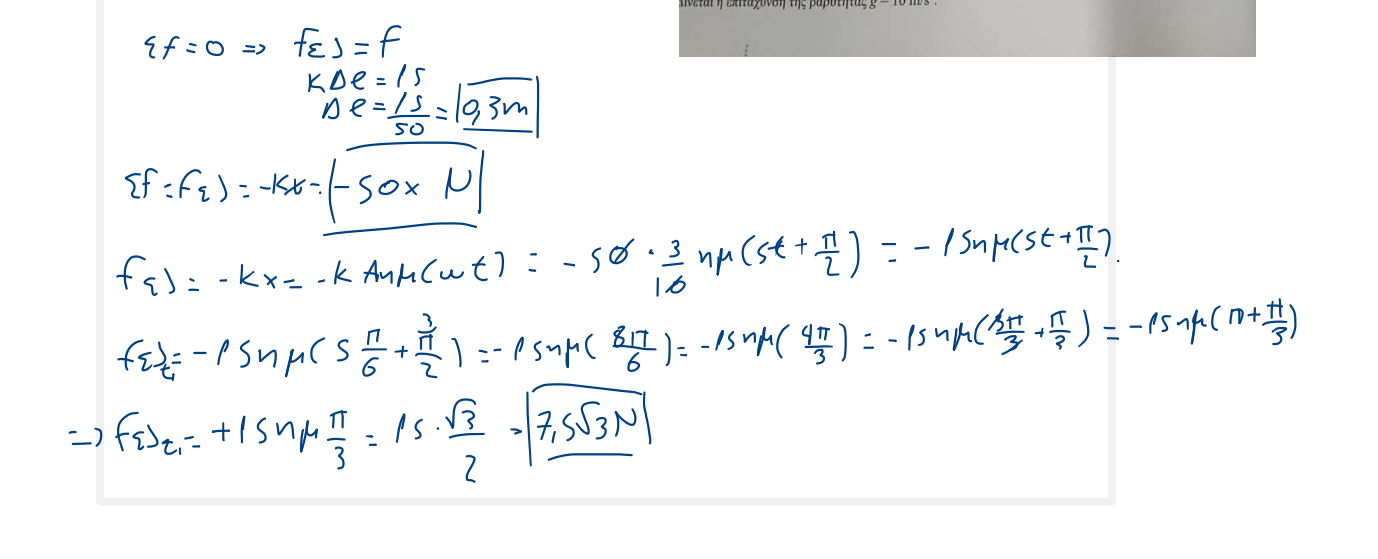
Θελω λίγη βοήθεια με το α. Τι εννοεί να γράψω την αλγεβρική τιμή της δυναμης του ελατηρίου σε συνάρτηση με την απομάκρυνση του σώματος απο τη θεση ισορροπίας του; Απλα κανω Fελ=-Dx? Αυτόματη ένωση συνεχόμενων μηνυμάτων: 9 Σεπτεμβρίου 2024 εκανα βεβαια D=k=mω^2 => ω=5..
juanium Εκκολαπτόμενο μέλος Ο Αλέξανδρος δεν κοινοποιεί τη δραστηριότητά του. Είναι 18 ετών, Φοιτητής του τμήματος Πληροφορικής Πειραιά και μας γράφει από Χολαργός (Αττική). Έχει γράψει 384 μηνύματα. 10 Σεπτεμβρίου 2024 στις 00:34 Ο juanium έγραψε: #267 10-09-24 00:34 Αρχική Δημοσίευση από nearos: Θελω λίγη βοήθεια με το α. Τι εννοεί να γράψω την αλγεβρική τιμή της δυναμης του ελατηρίου σε συνάρτηση με την απομάκρυνση του σώματος απο τη θεση ισορροπίας του; Απλα κανω Fελ=-Dx? Αυτόματη ένωση συνεχόμενων μηνυμάτων: 9 Σεπτεμβρίου 2024 εκανα βεβαια D=k=mω^2 => ω=5.. Click για ανάπτυξη... Guest 691153 Επισκέπτης Ο/Η @ αυτή τη στιγμή δεν είναι συνδεδεμέν@. Είναι διαγραμμένος λογαριασμός. 10 Σεπτεμβρίου 2024 στις 00:37 Ο Guest 691153: #268 10-09-24 00:37 Αρχική Δημοσίευση από juanium: Click για ανάπτυξη... Νασαι καλά ρε παλλικάρι. Με παραξένευσε το 7.5ριζα3 . Βελτιώνομαι σιγα σιγα Guest 691153 Επισκέπτης Ο/Η @ αυτή τη στιγμή δεν είναι συνδεδεμέν@. Είναι διαγραμμένος λογαριασμός. 6 Οκτωβρίου 2024 στις 17:33 Ο Guest 691153: #269 06-10-24 17:33 "Eνα σωμα βαρους w=750Ν ειναι τοποθετημενο πανω σε δοκο μηκους 4μετρων και βαρους 150Ν. Η δοκός στηρίζεται στα σημεια Α και Β που απέχουν αποσταση 1 μετρο απο τα ακρα της. Ποια είναι η μέγιστη απόσταση απο τα ακρα της δοκου που μπορεί να τοποθετηθεί το σώμα ωστε αυτή να μην ανατραπεί; Το Να και το Νβ ειναι αγνωστα.. Σκεφτηκα να κανω ενα σύστημα στην αρχή αλλα μετα εχω και το d που εινια αγνωστο... Σύστημα με 3 αγνώστους;; juanium Εκκολαπτόμενο μέλος Ο Αλέξανδρος δεν κοινοποιεί τη δραστηριότητά του. Είναι 18 ετών, Φοιτητής του τμήματος Πληροφορικής Πειραιά και μας γράφει από Χολαργός (Αττική). Έχει γράψει 384 μηνύματα. 6 Οκτωβρίου 2024 στις 18:11 Ο juanium έγραψε: #270 06-10-24 18:11 ελπιζω να μην εκανα αριθμητικο @nearos τωρα ειδα αυτος θελει αποσταση απο την ακρη αρα 1 - 0.8 = 0.2m Guest 691153 Επισκέπτης Ο/Η @ αυτή τη στιγμή δεν είναι συνδεδεμέν@. Είναι διαγραμμένος λογαριασμός. 6 Οκτωβρίου 2024 στις 18:59 Ο Guest 691153: #271 06-10-24 18:59 Τι ειναι αυτα τα 2d? juanium Εκκολαπτόμενο μέλος Ο Αλέξανδρος δεν κοινοποιεί τη δραστηριότητά του. Είναι 18 ετών, Φοιτητής του τμήματος Πληροφορικής Πειραιά και μας γράφει από Χολαργός (Αττική). Έχει γράψει 384 μηνύματα. 6 Οκτωβρίου 2024 στις 19:09 Ο juanium έγραψε: #272 06-10-24 19:09 Αρχική Δημοσίευση από nearos: Τι ειναι αυτα τα 2d? Click για ανάπτυξη... Δες το σχήμα μου. Η απόσταση ανάμεσα στα στηρίγματα είναι όλη η ράβδος μείον τις ακρουλες, d η καθεμία. Guest 691153 Επισκέπτης Ο/Η @ αυτή τη στιγμή δεν είναι συνδεδεμέν@. Είναι διαγραμμένος λογαριασμός. 6 Οκτωβρίου 2024 στις 19:24 Ο Guest 691153: #273 06-10-24 19:24 μπρο εχω γαμησει την ασκηση τοσο ασχημα juanium Εκκολαπτόμενο μέλος Ο Αλέξανδρος δεν κοινοποιεί τη δραστηριότητά του. Είναι 18 ετών, Φοιτητής του τμήματος Πληροφορικής Πειραιά και μας γράφει από Χολαργός (Αττική). Έχει γράψει 384 μηνύματα. 6 Οκτωβρίου 2024 στις 19:57 Ο juanium έγραψε: #274 06-10-24 19:57 Αρχική Δημοσίευση από nearos: μπρο εχω γαμησει την ασκηση τοσο ασχημα Click για ανάπτυξη... Δες την ήρεμα από την αρχή. Έχεις 3 συνθήκες ισορροπίας. Ροπές 0 στο Α, ροπες 0 στο Β και δυνάμεις στον ψ 0. Με αυτές τις τρεις βγάζεις 3 σχέσεις με 3 άγνωστους (Να, Νβ και Χ) Guest 691153 Επισκέπτης Ο/Η @ αυτή τη στιγμή δεν είναι συνδεδεμέν@. Είναι διαγραμμένος λογαριασμός. 6 Οκτωβρίου 2024 στις 19:58 Ο Guest 691153: #275 06-10-24 19:58 Αρχική Δημοσίευση από juanium: Δες την ήρεμα από την αρχή. Έχεις 3 συνθήκες ισορροπίας. Ροπές 0 στο Α, ροπες 0 στο Β και δυνάμεις στον ψ 0. Με αυτές τις τρεις βγάζεις 3 σχέσεις με 3 άγνωστους (Να, Νβ και Χ) Click για ανάπτυξη... Το ξερω και καταλαβα τι εκανες Προσπάθησα 3 φορές να το λύσω και μου έβγαινε απόσταση αρνητική, οπότε λέω να πάει στο διάολο... θα την κοιτάξω αύριο με πιο ήρεμο κεφάλι. Ευχαριστωπ ολυ για την βοηθεια Dias Επιφανές μέλος Ο Dias δεν κοινοποιεί τη δραστηριότητά του. Είναι Καθηγητής κι έχει σπουδάσει στο τμήμα Φυσικής ΕΚΠΑ (Αθήνα). Έχει γράψει 10.922 μηνύματα. 6 Οκτωβρίου 2024 στις 21:08 Ο Dias έγραψε: #276 06-10-24 21:08 Ανατροπή : δεν ακουμπά Α => ΝΑ = 0. Μόλις ανατρέπεται = μόλις ισορροπεί ΣτΒ = 0 => WΡ.ΚΒ - W.ΣΒ = 0 => 150.1 - 750.(1-χ) = 0 => χ = 0,8m vanessa99 Δραστήριο μέλος Η vanessa99 δεν κοινοποιεί τη δραστηριότητά της. Είναι Φοιτήτρια του τμήματος Νοσηλευτικής ΕΚΠΑ (Αθήνα). Έχει γράψει 621 μηνύματα. 6 Οκτωβρίου 2024 στις 21:27 Η vanessa99: #277 06-10-24 21:27 Αρχική Δημοσίευση από Dias: Ανατροπή : δεν ακουμπά Α => ΝΑ = 0. Μόλις ανατρέπεται = μόλις ισορροπεί Click για ανάπτυξη... Ευχαριστούμε @Dias ! Θα μπορούσες να εξηγήσεις αυτό λίγο παραπάνω; Δεν έχω φτάσει ακόμα σε ταλαντώσεις/στερεό, αλλά ήταν κάτι που με παίδευε αρκετά Dias Επιφανές μέλος Ο Dias δεν κοινοποιεί τη δραστηριότητά του. Είναι Καθηγητής κι έχει σπουδάσει στο τμήμα Φυσικής ΕΚΠΑ (Αθήνα). Έχει γράψει 10.922 μηνύματα. 6 Οκτωβρίου 2024 στις 21:35 Ο Dias έγραψε: #278 06-10-24 21:35 Αρχική Δημοσίευση από vanessa99: Θα μπορούσες να εξηγήσεις αυτό λίγο παραπάνω; Click για ανάπτυξη... Ανατρέπεται άρα σηκώνεται και δεν ακουμπά. Μόλις θα πει να έχουμε την ίδια στιγμή συγχρόνως δύο καταστάσεις. π.χ. Μόλις ήρθε (για κάποιους) = μόλις έφυγε (για κάποιους άλλους) , μόλις ανατρέπεται = μόλις ισορροπεί. Guest 691153 Επισκέπτης Ο/Η @ αυτή τη στιγμή δεν είναι συνδεδεμέν@. Είναι διαγραμμένος λογαριασμός. 6 Οκτωβρίου 2024 στις 21:42 Ο Guest 691153: #279 06-10-24 21:42 Σαχλη ερώτηση γνωρίζω οτι εντος υλης ειναι οι αρχικές φάσεις π, π/2. Ομως γίνεται ξερωγω να έχουμε φ0=-π/2; (απο αρνητικα να ξεκιναει με υ=0 και να κατευθύνεται προς τα θετικά) vanessa99 Δραστήριο μέλος Η vanessa99 δεν κοινοποιεί τη δραστηριότητά της. Είναι Φοιτήτρια του τμήματος Νοσηλευτικής ΕΚΠΑ (Αθήνα). Έχει γράψει 621 μηνύματα. 6 Οκτωβρίου 2024 στις 22:06 Η vanessa99: #280 06-10-24 22:06 Αρχική Δημοσίευση από Dias: Ανατρέπεται άρα σηκώνεται και δεν ακουμπά. Μόλις θα πει να έχουμε την ίδια στιγμή συγχρόνως δύο καταστάσεις. π.χ. Μόλις ήρθε (για κάποιους) = μόλις έφυγε (για κάποιους άλλους) , μόλις ανατρέπεται = μόλις ισορροπεί. Click για ανάπτυξη... Οπότε όταν έχω "μέγιστο τάδε για να μην ανατραπεί" αντί να πάρω την κλασική ισορροπία, παίρνω ότι το ένα σημείο έχει ΣF=0 και το άλλο κανονικά ισορροπεί και δουλεύω έτσι. Σωστά; Ευχαριστώ πάρα πολύ! Προηγούμενη 1 ... Πήγαινε στη σελίδα Πάμε 12 13 14 15 Επόμενη First Προηγούμενη 14 από 15 Πήγαινε στη σελίδα Πάμε Επόμενη Last Σελίδα: 14 από 15 Πήγαινε στη σελίδα Πάμε Συνδεθείτε ή εγγραφείτε για να απαντήσετε εδώ. Χρήστες Βρείτε παρόμοια Τα παρακάτω 0 μέλη και 1 επισκέπτες διαβάζουν μαζί με εσάς αυτό το θέμα: Tα παρακάτω 155 μέλη διάβασαν αυτό το θέμα: Angelb Marel BillyTheKid trifasikodiavasma Corfu kitty userguest suaimhneas Maynard jellojina Hecticism BatGuin panosT436 sofia07 patatosalata22 Than003 FNC_Sophia iren Giannis_19 jYanniss wmaria Kate1914 Viktoriaki Vasilis125 Steliosgkougkou mysticfallsgirl12 Lia 2006 Ness ioanna2007 donut_daddy ntinos... sciencegeek Unboxholics woasibe sophiaa GV221 charmander bibliofagos Evangeloz bbb love_to_learn Panatha mono Enhypen panaman grad778 thepigod762 nikolakisss_ Magigi peter347 Alexecon1991 synthnightingale Indecisive2 Only physics Γατέχων Startx0 Wonderkid Scandal flowermd Help :) Chrisphys Helen06 Mitsaras23 Marianna.diamanti Albert.123 tan07 Georgepap_21 Coconut201 MrDragonboy chjan soleilst Ilovemycats27 BiteTheDust Μήτσος10 Elwik Mariahj DetectiveAgg stee Yorgos L bill09876 marilenaaa pannnos1992 fofo carnage Mhtsaras76 user111 Obi-Wan Kenobi neurogirl Lifelong Learner Yolo06 ROULI Human being iiTzArismaltor_ Chris180 math2arch Εριφύλη Jimpower Χρήστος2006 dimitra* xrisamikol xristarac gmoutzour Mara2004 PanosApo eukleidhs1821 angies Angelikaaa Sofos Gerontas Φορτώνει... Μοιραστείτε: Facebook X Bluesky LinkedIn Reddit Pinterest Tumblr WhatsApp Email Μοιραστείτε Link ΑΠΑΝΤΗΣΗ Το forum μας χρησιμοποιεί cookies για να βελτιστοποιήσει την εμπειρία σας. Συνεχίζοντας την περιήγησή σας, συναινείτε στη χρήση cookies στον περιηγητή σας. Συμφωνώ Περισσότερα... Back Top
Αρχική Δημοσίευση από nearos: Θελω λίγη βοήθεια με το α. Τι εννοεί να γράψω την αλγεβρική τιμή της δυναμης του ελατηρίου σε συνάρτηση με την απομάκρυνση του σώματος απο τη θεση ισορροπίας του; Απλα κανω Fελ=-Dx? Αυτόματη ένωση συνεχόμενων μηνυμάτων: 9 Σεπτεμβρίου 2024 εκανα βεβαια D=k=mω^2 => ω=5.. Click για ανάπτυξη...
Guest 691153 Επισκέπτης Ο/Η @ αυτή τη στιγμή δεν είναι συνδεδεμέν@. Είναι διαγραμμένος λογαριασμός. 10 Σεπτεμβρίου 2024 στις 00:37 Ο Guest 691153: #268 10-09-24 00:37 Αρχική Δημοσίευση από juanium: Click για ανάπτυξη... Νασαι καλά ρε παλλικάρι. Με παραξένευσε το 7.5ριζα3 . Βελτιώνομαι σιγα σιγα Guest 691153 Επισκέπτης Ο/Η @ αυτή τη στιγμή δεν είναι συνδεδεμέν@. Είναι διαγραμμένος λογαριασμός. 6 Οκτωβρίου 2024 στις 17:33 Ο Guest 691153: #269 06-10-24 17:33 "Eνα σωμα βαρους w=750Ν ειναι τοποθετημενο πανω σε δοκο μηκους 4μετρων και βαρους 150Ν. Η δοκός στηρίζεται στα σημεια Α και Β που απέχουν αποσταση 1 μετρο απο τα ακρα της. Ποια είναι η μέγιστη απόσταση απο τα ακρα της δοκου που μπορεί να τοποθετηθεί το σώμα ωστε αυτή να μην ανατραπεί; Το Να και το Νβ ειναι αγνωστα.. Σκεφτηκα να κανω ενα σύστημα στην αρχή αλλα μετα εχω και το d που εινια αγνωστο... Σύστημα με 3 αγνώστους;; juanium Εκκολαπτόμενο μέλος Ο Αλέξανδρος δεν κοινοποιεί τη δραστηριότητά του. Είναι 18 ετών, Φοιτητής του τμήματος Πληροφορικής Πειραιά και μας γράφει από Χολαργός (Αττική). Έχει γράψει 384 μηνύματα. 6 Οκτωβρίου 2024 στις 18:11 Ο juanium έγραψε: #270 06-10-24 18:11 ελπιζω να μην εκανα αριθμητικο @nearos τωρα ειδα αυτος θελει αποσταση απο την ακρη αρα 1 - 0.8 = 0.2m Guest 691153 Επισκέπτης Ο/Η @ αυτή τη στιγμή δεν είναι συνδεδεμέν@. Είναι διαγραμμένος λογαριασμός. 6 Οκτωβρίου 2024 στις 18:59 Ο Guest 691153: #271 06-10-24 18:59 Τι ειναι αυτα τα 2d? juanium Εκκολαπτόμενο μέλος Ο Αλέξανδρος δεν κοινοποιεί τη δραστηριότητά του. Είναι 18 ετών, Φοιτητής του τμήματος Πληροφορικής Πειραιά και μας γράφει από Χολαργός (Αττική). Έχει γράψει 384 μηνύματα. 6 Οκτωβρίου 2024 στις 19:09 Ο juanium έγραψε: #272 06-10-24 19:09 Αρχική Δημοσίευση από nearos: Τι ειναι αυτα τα 2d? Click για ανάπτυξη... Δες το σχήμα μου. Η απόσταση ανάμεσα στα στηρίγματα είναι όλη η ράβδος μείον τις ακρουλες, d η καθεμία. Guest 691153 Επισκέπτης Ο/Η @ αυτή τη στιγμή δεν είναι συνδεδεμέν@. Είναι διαγραμμένος λογαριασμός. 6 Οκτωβρίου 2024 στις 19:24 Ο Guest 691153: #273 06-10-24 19:24 μπρο εχω γαμησει την ασκηση τοσο ασχημα juanium Εκκολαπτόμενο μέλος Ο Αλέξανδρος δεν κοινοποιεί τη δραστηριότητά του. Είναι 18 ετών, Φοιτητής του τμήματος Πληροφορικής Πειραιά και μας γράφει από Χολαργός (Αττική). Έχει γράψει 384 μηνύματα. 6 Οκτωβρίου 2024 στις 19:57 Ο juanium έγραψε: #274 06-10-24 19:57 Αρχική Δημοσίευση από nearos: μπρο εχω γαμησει την ασκηση τοσο ασχημα Click για ανάπτυξη... Δες την ήρεμα από την αρχή. Έχεις 3 συνθήκες ισορροπίας. Ροπές 0 στο Α, ροπες 0 στο Β και δυνάμεις στον ψ 0. Με αυτές τις τρεις βγάζεις 3 σχέσεις με 3 άγνωστους (Να, Νβ και Χ) Guest 691153 Επισκέπτης Ο/Η @ αυτή τη στιγμή δεν είναι συνδεδεμέν@. Είναι διαγραμμένος λογαριασμός. 6 Οκτωβρίου 2024 στις 19:58 Ο Guest 691153: #275 06-10-24 19:58 Αρχική Δημοσίευση από juanium: Δες την ήρεμα από την αρχή. Έχεις 3 συνθήκες ισορροπίας. Ροπές 0 στο Α, ροπες 0 στο Β και δυνάμεις στον ψ 0. Με αυτές τις τρεις βγάζεις 3 σχέσεις με 3 άγνωστους (Να, Νβ και Χ) Click για ανάπτυξη... Το ξερω και καταλαβα τι εκανες Προσπάθησα 3 φορές να το λύσω και μου έβγαινε απόσταση αρνητική, οπότε λέω να πάει στο διάολο... θα την κοιτάξω αύριο με πιο ήρεμο κεφάλι. Ευχαριστωπ ολυ για την βοηθεια Dias Επιφανές μέλος Ο Dias δεν κοινοποιεί τη δραστηριότητά του. Είναι Καθηγητής κι έχει σπουδάσει στο τμήμα Φυσικής ΕΚΠΑ (Αθήνα). Έχει γράψει 10.922 μηνύματα. 6 Οκτωβρίου 2024 στις 21:08 Ο Dias έγραψε: #276 06-10-24 21:08 Ανατροπή : δεν ακουμπά Α => ΝΑ = 0. Μόλις ανατρέπεται = μόλις ισορροπεί ΣτΒ = 0 => WΡ.ΚΒ - W.ΣΒ = 0 => 150.1 - 750.(1-χ) = 0 => χ = 0,8m vanessa99 Δραστήριο μέλος Η vanessa99 δεν κοινοποιεί τη δραστηριότητά της. Είναι Φοιτήτρια του τμήματος Νοσηλευτικής ΕΚΠΑ (Αθήνα). Έχει γράψει 621 μηνύματα. 6 Οκτωβρίου 2024 στις 21:27 Η vanessa99: #277 06-10-24 21:27 Αρχική Δημοσίευση από Dias: Ανατροπή : δεν ακουμπά Α => ΝΑ = 0. Μόλις ανατρέπεται = μόλις ισορροπεί Click για ανάπτυξη... Ευχαριστούμε @Dias ! Θα μπορούσες να εξηγήσεις αυτό λίγο παραπάνω; Δεν έχω φτάσει ακόμα σε ταλαντώσεις/στερεό, αλλά ήταν κάτι που με παίδευε αρκετά Dias Επιφανές μέλος Ο Dias δεν κοινοποιεί τη δραστηριότητά του. Είναι Καθηγητής κι έχει σπουδάσει στο τμήμα Φυσικής ΕΚΠΑ (Αθήνα). Έχει γράψει 10.922 μηνύματα. 6 Οκτωβρίου 2024 στις 21:35 Ο Dias έγραψε: #278 06-10-24 21:35 Αρχική Δημοσίευση από vanessa99: Θα μπορούσες να εξηγήσεις αυτό λίγο παραπάνω; Click για ανάπτυξη... Ανατρέπεται άρα σηκώνεται και δεν ακουμπά. Μόλις θα πει να έχουμε την ίδια στιγμή συγχρόνως δύο καταστάσεις. π.χ. Μόλις ήρθε (για κάποιους) = μόλις έφυγε (για κάποιους άλλους) , μόλις ανατρέπεται = μόλις ισορροπεί. Guest 691153 Επισκέπτης Ο/Η @ αυτή τη στιγμή δεν είναι συνδεδεμέν@. Είναι διαγραμμένος λογαριασμός. 6 Οκτωβρίου 2024 στις 21:42 Ο Guest 691153: #279 06-10-24 21:42 Σαχλη ερώτηση γνωρίζω οτι εντος υλης ειναι οι αρχικές φάσεις π, π/2. Ομως γίνεται ξερωγω να έχουμε φ0=-π/2; (απο αρνητικα να ξεκιναει με υ=0 και να κατευθύνεται προς τα θετικά) vanessa99 Δραστήριο μέλος Η vanessa99 δεν κοινοποιεί τη δραστηριότητά της. Είναι Φοιτήτρια του τμήματος Νοσηλευτικής ΕΚΠΑ (Αθήνα). Έχει γράψει 621 μηνύματα. 6 Οκτωβρίου 2024 στις 22:06 Η vanessa99: #280 06-10-24 22:06 Αρχική Δημοσίευση από Dias: Ανατρέπεται άρα σηκώνεται και δεν ακουμπά. Μόλις θα πει να έχουμε την ίδια στιγμή συγχρόνως δύο καταστάσεις. π.χ. Μόλις ήρθε (για κάποιους) = μόλις έφυγε (για κάποιους άλλους) , μόλις ανατρέπεται = μόλις ισορροπεί. Click για ανάπτυξη... Οπότε όταν έχω "μέγιστο τάδε για να μην ανατραπεί" αντί να πάρω την κλασική ισορροπία, παίρνω ότι το ένα σημείο έχει ΣF=0 και το άλλο κανονικά ισορροπεί και δουλεύω έτσι. Σωστά; Ευχαριστώ πάρα πολύ! Προηγούμενη 1 ... Πήγαινε στη σελίδα Πάμε 12 13 14 15 Επόμενη First Προηγούμενη 14 από 15 Πήγαινε στη σελίδα Πάμε Επόμενη Last Σελίδα: 14 από 15 Πήγαινε στη σελίδα Πάμε Συνδεθείτε ή εγγραφείτε για να απαντήσετε εδώ. Χρήστες Βρείτε παρόμοια Τα παρακάτω 0 μέλη και 1 επισκέπτες διαβάζουν μαζί με εσάς αυτό το θέμα: Tα παρακάτω 155 μέλη διάβασαν αυτό το θέμα: Angelb Marel BillyTheKid trifasikodiavasma Corfu kitty userguest suaimhneas Maynard jellojina Hecticism BatGuin panosT436 sofia07 patatosalata22 Than003 FNC_Sophia iren Giannis_19 jYanniss wmaria Kate1914 Viktoriaki Vasilis125 Steliosgkougkou mysticfallsgirl12 Lia 2006 Ness ioanna2007 donut_daddy ntinos... sciencegeek Unboxholics woasibe sophiaa GV221 charmander bibliofagos Evangeloz bbb love_to_learn Panatha mono Enhypen panaman grad778 thepigod762 nikolakisss_ Magigi peter347 Alexecon1991 synthnightingale Indecisive2 Only physics Γατέχων Startx0 Wonderkid Scandal flowermd Help :) Chrisphys Helen06 Mitsaras23 Marianna.diamanti Albert.123 tan07 Georgepap_21 Coconut201 MrDragonboy chjan soleilst Ilovemycats27 BiteTheDust Μήτσος10 Elwik Mariahj DetectiveAgg stee Yorgos L bill09876 marilenaaa pannnos1992 fofo carnage Mhtsaras76 user111 Obi-Wan Kenobi neurogirl Lifelong Learner Yolo06 ROULI Human being iiTzArismaltor_ Chris180 math2arch Εριφύλη Jimpower Χρήστος2006 dimitra* xrisamikol xristarac gmoutzour Mara2004 PanosApo eukleidhs1821 angies Angelikaaa Sofos Gerontas Φορτώνει... Μοιραστείτε: Facebook X Bluesky LinkedIn Reddit Pinterest Tumblr WhatsApp Email Μοιραστείτε Link ΑΠΑΝΤΗΣΗ Το forum μας χρησιμοποιεί cookies για να βελτιστοποιήσει την εμπειρία σας. Συνεχίζοντας την περιήγησή σας, συναινείτε στη χρήση cookies στον περιηγητή σας. Συμφωνώ Περισσότερα... Back Top
Αρχική Δημοσίευση από juanium: Click για ανάπτυξη... Νασαι καλά ρε παλλικάρι. Με παραξένευσε το 7.5ριζα3 . Βελτιώνομαι σιγα σιγα
Guest 691153 Επισκέπτης Ο/Η @ αυτή τη στιγμή δεν είναι συνδεδεμέν@. Είναι διαγραμμένος λογαριασμός. 6 Οκτωβρίου 2024 στις 17:33 Ο Guest 691153: #269 06-10-24 17:33 "Eνα σωμα βαρους w=750Ν ειναι τοποθετημενο πανω σε δοκο μηκους 4μετρων και βαρους 150Ν. Η δοκός στηρίζεται στα σημεια Α και Β που απέχουν αποσταση 1 μετρο απο τα ακρα της. Ποια είναι η μέγιστη απόσταση απο τα ακρα της δοκου που μπορεί να τοποθετηθεί το σώμα ωστε αυτή να μην ανατραπεί; Το Να και το Νβ ειναι αγνωστα.. Σκεφτηκα να κανω ενα σύστημα στην αρχή αλλα μετα εχω και το d που εινια αγνωστο... Σύστημα με 3 αγνώστους;; juanium Εκκολαπτόμενο μέλος Ο Αλέξανδρος δεν κοινοποιεί τη δραστηριότητά του. Είναι 18 ετών, Φοιτητής του τμήματος Πληροφορικής Πειραιά και μας γράφει από Χολαργός (Αττική). Έχει γράψει 384 μηνύματα. 6 Οκτωβρίου 2024 στις 18:11 Ο juanium έγραψε: #270 06-10-24 18:11 ελπιζω να μην εκανα αριθμητικο @nearos τωρα ειδα αυτος θελει αποσταση απο την ακρη αρα 1 - 0.8 = 0.2m Guest 691153 Επισκέπτης Ο/Η @ αυτή τη στιγμή δεν είναι συνδεδεμέν@. Είναι διαγραμμένος λογαριασμός. 6 Οκτωβρίου 2024 στις 18:59 Ο Guest 691153: #271 06-10-24 18:59 Τι ειναι αυτα τα 2d? juanium Εκκολαπτόμενο μέλος Ο Αλέξανδρος δεν κοινοποιεί τη δραστηριότητά του. Είναι 18 ετών, Φοιτητής του τμήματος Πληροφορικής Πειραιά και μας γράφει από Χολαργός (Αττική). Έχει γράψει 384 μηνύματα. 6 Οκτωβρίου 2024 στις 19:09 Ο juanium έγραψε: #272 06-10-24 19:09 Αρχική Δημοσίευση από nearos: Τι ειναι αυτα τα 2d? Click για ανάπτυξη... Δες το σχήμα μου. Η απόσταση ανάμεσα στα στηρίγματα είναι όλη η ράβδος μείον τις ακρουλες, d η καθεμία. Guest 691153 Επισκέπτης Ο/Η @ αυτή τη στιγμή δεν είναι συνδεδεμέν@. Είναι διαγραμμένος λογαριασμός. 6 Οκτωβρίου 2024 στις 19:24 Ο Guest 691153: #273 06-10-24 19:24 μπρο εχω γαμησει την ασκηση τοσο ασχημα juanium Εκκολαπτόμενο μέλος Ο Αλέξανδρος δεν κοινοποιεί τη δραστηριότητά του. Είναι 18 ετών, Φοιτητής του τμήματος Πληροφορικής Πειραιά και μας γράφει από Χολαργός (Αττική). Έχει γράψει 384 μηνύματα. 6 Οκτωβρίου 2024 στις 19:57 Ο juanium έγραψε: #274 06-10-24 19:57 Αρχική Δημοσίευση από nearos: μπρο εχω γαμησει την ασκηση τοσο ασχημα Click για ανάπτυξη... Δες την ήρεμα από την αρχή. Έχεις 3 συνθήκες ισορροπίας. Ροπές 0 στο Α, ροπες 0 στο Β και δυνάμεις στον ψ 0. Με αυτές τις τρεις βγάζεις 3 σχέσεις με 3 άγνωστους (Να, Νβ και Χ) Guest 691153 Επισκέπτης Ο/Η @ αυτή τη στιγμή δεν είναι συνδεδεμέν@. Είναι διαγραμμένος λογαριασμός. 6 Οκτωβρίου 2024 στις 19:58 Ο Guest 691153: #275 06-10-24 19:58 Αρχική Δημοσίευση από juanium: Δες την ήρεμα από την αρχή. Έχεις 3 συνθήκες ισορροπίας. Ροπές 0 στο Α, ροπες 0 στο Β και δυνάμεις στον ψ 0. Με αυτές τις τρεις βγάζεις 3 σχέσεις με 3 άγνωστους (Να, Νβ και Χ) Click για ανάπτυξη... Το ξερω και καταλαβα τι εκανες Προσπάθησα 3 φορές να το λύσω και μου έβγαινε απόσταση αρνητική, οπότε λέω να πάει στο διάολο... θα την κοιτάξω αύριο με πιο ήρεμο κεφάλι. Ευχαριστωπ ολυ για την βοηθεια Dias Επιφανές μέλος Ο Dias δεν κοινοποιεί τη δραστηριότητά του. Είναι Καθηγητής κι έχει σπουδάσει στο τμήμα Φυσικής ΕΚΠΑ (Αθήνα). Έχει γράψει 10.922 μηνύματα. 6 Οκτωβρίου 2024 στις 21:08 Ο Dias έγραψε: #276 06-10-24 21:08 Ανατροπή : δεν ακουμπά Α => ΝΑ = 0. Μόλις ανατρέπεται = μόλις ισορροπεί ΣτΒ = 0 => WΡ.ΚΒ - W.ΣΒ = 0 => 150.1 - 750.(1-χ) = 0 => χ = 0,8m vanessa99 Δραστήριο μέλος Η vanessa99 δεν κοινοποιεί τη δραστηριότητά της. Είναι Φοιτήτρια του τμήματος Νοσηλευτικής ΕΚΠΑ (Αθήνα). Έχει γράψει 621 μηνύματα. 6 Οκτωβρίου 2024 στις 21:27 Η vanessa99: #277 06-10-24 21:27 Αρχική Δημοσίευση από Dias: Ανατροπή : δεν ακουμπά Α => ΝΑ = 0. Μόλις ανατρέπεται = μόλις ισορροπεί Click για ανάπτυξη... Ευχαριστούμε @Dias ! Θα μπορούσες να εξηγήσεις αυτό λίγο παραπάνω; Δεν έχω φτάσει ακόμα σε ταλαντώσεις/στερεό, αλλά ήταν κάτι που με παίδευε αρκετά Dias Επιφανές μέλος Ο Dias δεν κοινοποιεί τη δραστηριότητά του. Είναι Καθηγητής κι έχει σπουδάσει στο τμήμα Φυσικής ΕΚΠΑ (Αθήνα). Έχει γράψει 10.922 μηνύματα. 6 Οκτωβρίου 2024 στις 21:35 Ο Dias έγραψε: #278 06-10-24 21:35 Αρχική Δημοσίευση από vanessa99: Θα μπορούσες να εξηγήσεις αυτό λίγο παραπάνω; Click για ανάπτυξη... Ανατρέπεται άρα σηκώνεται και δεν ακουμπά. Μόλις θα πει να έχουμε την ίδια στιγμή συγχρόνως δύο καταστάσεις. π.χ. Μόλις ήρθε (για κάποιους) = μόλις έφυγε (για κάποιους άλλους) , μόλις ανατρέπεται = μόλις ισορροπεί. Guest 691153 Επισκέπτης Ο/Η @ αυτή τη στιγμή δεν είναι συνδεδεμέν@. Είναι διαγραμμένος λογαριασμός. 6 Οκτωβρίου 2024 στις 21:42 Ο Guest 691153: #279 06-10-24 21:42 Σαχλη ερώτηση γνωρίζω οτι εντος υλης ειναι οι αρχικές φάσεις π, π/2. Ομως γίνεται ξερωγω να έχουμε φ0=-π/2; (απο αρνητικα να ξεκιναει με υ=0 και να κατευθύνεται προς τα θετικά) vanessa99 Δραστήριο μέλος Η vanessa99 δεν κοινοποιεί τη δραστηριότητά της. Είναι Φοιτήτρια του τμήματος Νοσηλευτικής ΕΚΠΑ (Αθήνα). Έχει γράψει 621 μηνύματα. 6 Οκτωβρίου 2024 στις 22:06 Η vanessa99: #280 06-10-24 22:06 Αρχική Δημοσίευση από Dias: Ανατρέπεται άρα σηκώνεται και δεν ακουμπά. Μόλις θα πει να έχουμε την ίδια στιγμή συγχρόνως δύο καταστάσεις. π.χ. Μόλις ήρθε (για κάποιους) = μόλις έφυγε (για κάποιους άλλους) , μόλις ανατρέπεται = μόλις ισορροπεί. Click για ανάπτυξη... Οπότε όταν έχω "μέγιστο τάδε για να μην ανατραπεί" αντί να πάρω την κλασική ισορροπία, παίρνω ότι το ένα σημείο έχει ΣF=0 και το άλλο κανονικά ισορροπεί και δουλεύω έτσι. Σωστά; Ευχαριστώ πάρα πολύ! Προηγούμενη 1 ... Πήγαινε στη σελίδα Πάμε 12 13 14 15 Επόμενη First Προηγούμενη 14 από 15 Πήγαινε στη σελίδα Πάμε Επόμενη Last Σελίδα: 14 από 15 Πήγαινε στη σελίδα Πάμε Συνδεθείτε ή εγγραφείτε για να απαντήσετε εδώ. Χρήστες Βρείτε παρόμοια Τα παρακάτω 0 μέλη και 1 επισκέπτες διαβάζουν μαζί με εσάς αυτό το θέμα: Tα παρακάτω 155 μέλη διάβασαν αυτό το θέμα: Angelb Marel BillyTheKid trifasikodiavasma Corfu kitty userguest suaimhneas Maynard jellojina Hecticism BatGuin panosT436 sofia07 patatosalata22 Than003 FNC_Sophia iren Giannis_19 jYanniss wmaria Kate1914 Viktoriaki Vasilis125 Steliosgkougkou mysticfallsgirl12 Lia 2006 Ness ioanna2007 donut_daddy ntinos... sciencegeek Unboxholics woasibe sophiaa GV221 charmander bibliofagos Evangeloz bbb love_to_learn Panatha mono Enhypen panaman grad778 thepigod762 nikolakisss_ Magigi peter347 Alexecon1991 synthnightingale Indecisive2 Only physics Γατέχων Startx0 Wonderkid Scandal flowermd Help :) Chrisphys Helen06 Mitsaras23 Marianna.diamanti Albert.123 tan07 Georgepap_21 Coconut201 MrDragonboy chjan soleilst Ilovemycats27 BiteTheDust Μήτσος10 Elwik Mariahj DetectiveAgg stee Yorgos L bill09876 marilenaaa pannnos1992 fofo carnage Mhtsaras76 user111 Obi-Wan Kenobi neurogirl Lifelong Learner Yolo06 ROULI Human being iiTzArismaltor_ Chris180 math2arch Εριφύλη Jimpower Χρήστος2006 dimitra* xrisamikol xristarac gmoutzour Mara2004 PanosApo eukleidhs1821 angies Angelikaaa Sofos Gerontas Φορτώνει... Μοιραστείτε: Facebook X Bluesky LinkedIn Reddit Pinterest Tumblr WhatsApp Email Μοιραστείτε Link ΑΠΑΝΤΗΣΗ Το forum μας χρησιμοποιεί cookies για να βελτιστοποιήσει την εμπειρία σας. Συνεχίζοντας την περιήγησή σας, συναινείτε στη χρήση cookies στον περιηγητή σας. Συμφωνώ Περισσότερα... Back Top
"Eνα σωμα βαρους w=750Ν ειναι τοποθετημενο πανω σε δοκο μηκους 4μετρων και βαρους 150Ν. Η δοκός στηρίζεται στα σημεια Α και Β που απέχουν αποσταση 1 μετρο απο τα ακρα της. Ποια είναι η μέγιστη απόσταση απο τα ακρα της δοκου που μπορεί να τοποθετηθεί το σώμα ωστε αυτή να μην ανατραπεί; Το Να και το Νβ ειναι αγνωστα.. Σκεφτηκα να κανω ενα σύστημα στην αρχή αλλα μετα εχω και το d που εινια αγνωστο... Σύστημα με 3 αγνώστους;;
juanium Εκκολαπτόμενο μέλος Ο Αλέξανδρος δεν κοινοποιεί τη δραστηριότητά του. Είναι 18 ετών, Φοιτητής του τμήματος Πληροφορικής Πειραιά και μας γράφει από Χολαργός (Αττική). Έχει γράψει 384 μηνύματα. 6 Οκτωβρίου 2024 στις 18:11 Ο juanium έγραψε: #270 06-10-24 18:11 ελπιζω να μην εκανα αριθμητικο @nearos τωρα ειδα αυτος θελει αποσταση απο την ακρη αρα 1 - 0.8 = 0.2m Guest 691153 Επισκέπτης Ο/Η @ αυτή τη στιγμή δεν είναι συνδεδεμέν@. Είναι διαγραμμένος λογαριασμός. 6 Οκτωβρίου 2024 στις 18:59 Ο Guest 691153: #271 06-10-24 18:59 Τι ειναι αυτα τα 2d? juanium Εκκολαπτόμενο μέλος Ο Αλέξανδρος δεν κοινοποιεί τη δραστηριότητά του. Είναι 18 ετών, Φοιτητής του τμήματος Πληροφορικής Πειραιά και μας γράφει από Χολαργός (Αττική). Έχει γράψει 384 μηνύματα. 6 Οκτωβρίου 2024 στις 19:09 Ο juanium έγραψε: #272 06-10-24 19:09 Αρχική Δημοσίευση από nearos: Τι ειναι αυτα τα 2d? Click για ανάπτυξη... Δες το σχήμα μου. Η απόσταση ανάμεσα στα στηρίγματα είναι όλη η ράβδος μείον τις ακρουλες, d η καθεμία. Guest 691153 Επισκέπτης Ο/Η @ αυτή τη στιγμή δεν είναι συνδεδεμέν@. Είναι διαγραμμένος λογαριασμός. 6 Οκτωβρίου 2024 στις 19:24 Ο Guest 691153: #273 06-10-24 19:24 μπρο εχω γαμησει την ασκηση τοσο ασχημα juanium Εκκολαπτόμενο μέλος Ο Αλέξανδρος δεν κοινοποιεί τη δραστηριότητά του. Είναι 18 ετών, Φοιτητής του τμήματος Πληροφορικής Πειραιά και μας γράφει από Χολαργός (Αττική). Έχει γράψει 384 μηνύματα. 6 Οκτωβρίου 2024 στις 19:57 Ο juanium έγραψε: #274 06-10-24 19:57 Αρχική Δημοσίευση από nearos: μπρο εχω γαμησει την ασκηση τοσο ασχημα Click για ανάπτυξη... Δες την ήρεμα από την αρχή. Έχεις 3 συνθήκες ισορροπίας. Ροπές 0 στο Α, ροπες 0 στο Β και δυνάμεις στον ψ 0. Με αυτές τις τρεις βγάζεις 3 σχέσεις με 3 άγνωστους (Να, Νβ και Χ) Guest 691153 Επισκέπτης Ο/Η @ αυτή τη στιγμή δεν είναι συνδεδεμέν@. Είναι διαγραμμένος λογαριασμός. 6 Οκτωβρίου 2024 στις 19:58 Ο Guest 691153: #275 06-10-24 19:58 Αρχική Δημοσίευση από juanium: Δες την ήρεμα από την αρχή. Έχεις 3 συνθήκες ισορροπίας. Ροπές 0 στο Α, ροπες 0 στο Β και δυνάμεις στον ψ 0. Με αυτές τις τρεις βγάζεις 3 σχέσεις με 3 άγνωστους (Να, Νβ και Χ) Click για ανάπτυξη... Το ξερω και καταλαβα τι εκανες Προσπάθησα 3 φορές να το λύσω και μου έβγαινε απόσταση αρνητική, οπότε λέω να πάει στο διάολο... θα την κοιτάξω αύριο με πιο ήρεμο κεφάλι. Ευχαριστωπ ολυ για την βοηθεια Dias Επιφανές μέλος Ο Dias δεν κοινοποιεί τη δραστηριότητά του. Είναι Καθηγητής κι έχει σπουδάσει στο τμήμα Φυσικής ΕΚΠΑ (Αθήνα). Έχει γράψει 10.922 μηνύματα. 6 Οκτωβρίου 2024 στις 21:08 Ο Dias έγραψε: #276 06-10-24 21:08 Ανατροπή : δεν ακουμπά Α => ΝΑ = 0. Μόλις ανατρέπεται = μόλις ισορροπεί ΣτΒ = 0 => WΡ.ΚΒ - W.ΣΒ = 0 => 150.1 - 750.(1-χ) = 0 => χ = 0,8m vanessa99 Δραστήριο μέλος Η vanessa99 δεν κοινοποιεί τη δραστηριότητά της. Είναι Φοιτήτρια του τμήματος Νοσηλευτικής ΕΚΠΑ (Αθήνα). Έχει γράψει 621 μηνύματα. 6 Οκτωβρίου 2024 στις 21:27 Η vanessa99: #277 06-10-24 21:27 Αρχική Δημοσίευση από Dias: Ανατροπή : δεν ακουμπά Α => ΝΑ = 0. Μόλις ανατρέπεται = μόλις ισορροπεί Click για ανάπτυξη... Ευχαριστούμε @Dias ! Θα μπορούσες να εξηγήσεις αυτό λίγο παραπάνω; Δεν έχω φτάσει ακόμα σε ταλαντώσεις/στερεό, αλλά ήταν κάτι που με παίδευε αρκετά Dias Επιφανές μέλος Ο Dias δεν κοινοποιεί τη δραστηριότητά του. Είναι Καθηγητής κι έχει σπουδάσει στο τμήμα Φυσικής ΕΚΠΑ (Αθήνα). Έχει γράψει 10.922 μηνύματα. 6 Οκτωβρίου 2024 στις 21:35 Ο Dias έγραψε: #278 06-10-24 21:35 Αρχική Δημοσίευση από vanessa99: Θα μπορούσες να εξηγήσεις αυτό λίγο παραπάνω; Click για ανάπτυξη... Ανατρέπεται άρα σηκώνεται και δεν ακουμπά. Μόλις θα πει να έχουμε την ίδια στιγμή συγχρόνως δύο καταστάσεις. π.χ. Μόλις ήρθε (για κάποιους) = μόλις έφυγε (για κάποιους άλλους) , μόλις ανατρέπεται = μόλις ισορροπεί. Guest 691153 Επισκέπτης Ο/Η @ αυτή τη στιγμή δεν είναι συνδεδεμέν@. Είναι διαγραμμένος λογαριασμός. 6 Οκτωβρίου 2024 στις 21:42 Ο Guest 691153: #279 06-10-24 21:42 Σαχλη ερώτηση γνωρίζω οτι εντος υλης ειναι οι αρχικές φάσεις π, π/2. Ομως γίνεται ξερωγω να έχουμε φ0=-π/2; (απο αρνητικα να ξεκιναει με υ=0 και να κατευθύνεται προς τα θετικά) vanessa99 Δραστήριο μέλος Η vanessa99 δεν κοινοποιεί τη δραστηριότητά της. Είναι Φοιτήτρια του τμήματος Νοσηλευτικής ΕΚΠΑ (Αθήνα). Έχει γράψει 621 μηνύματα. 6 Οκτωβρίου 2024 στις 22:06 Η vanessa99: #280 06-10-24 22:06 Αρχική Δημοσίευση από Dias: Ανατρέπεται άρα σηκώνεται και δεν ακουμπά. Μόλις θα πει να έχουμε την ίδια στιγμή συγχρόνως δύο καταστάσεις. π.χ. Μόλις ήρθε (για κάποιους) = μόλις έφυγε (για κάποιους άλλους) , μόλις ανατρέπεται = μόλις ισορροπεί. Click για ανάπτυξη... Οπότε όταν έχω "μέγιστο τάδε για να μην ανατραπεί" αντί να πάρω την κλασική ισορροπία, παίρνω ότι το ένα σημείο έχει ΣF=0 και το άλλο κανονικά ισορροπεί και δουλεύω έτσι. Σωστά; Ευχαριστώ πάρα πολύ! Προηγούμενη 1 ... Πήγαινε στη σελίδα Πάμε 12 13 14 15 Επόμενη First Προηγούμενη 14 από 15 Πήγαινε στη σελίδα Πάμε Επόμενη Last Σελίδα: 14 από 15 Πήγαινε στη σελίδα Πάμε Συνδεθείτε ή εγγραφείτε για να απαντήσετε εδώ. Χρήστες Βρείτε παρόμοια Τα παρακάτω 0 μέλη και 1 επισκέπτες διαβάζουν μαζί με εσάς αυτό το θέμα: Tα παρακάτω 155 μέλη διάβασαν αυτό το θέμα: Angelb Marel BillyTheKid trifasikodiavasma Corfu kitty userguest suaimhneas Maynard jellojina Hecticism BatGuin panosT436 sofia07 patatosalata22 Than003 FNC_Sophia iren Giannis_19 jYanniss wmaria Kate1914 Viktoriaki Vasilis125 Steliosgkougkou mysticfallsgirl12 Lia 2006 Ness ioanna2007 donut_daddy ntinos... sciencegeek Unboxholics woasibe sophiaa GV221 charmander bibliofagos Evangeloz bbb love_to_learn Panatha mono Enhypen panaman grad778 thepigod762 nikolakisss_ Magigi peter347 Alexecon1991 synthnightingale Indecisive2 Only physics Γατέχων Startx0 Wonderkid Scandal flowermd Help :) Chrisphys Helen06 Mitsaras23 Marianna.diamanti Albert.123 tan07 Georgepap_21 Coconut201 MrDragonboy chjan soleilst Ilovemycats27 BiteTheDust Μήτσος10 Elwik Mariahj DetectiveAgg stee Yorgos L bill09876 marilenaaa pannnos1992 fofo carnage Mhtsaras76 user111 Obi-Wan Kenobi neurogirl Lifelong Learner Yolo06 ROULI Human being iiTzArismaltor_ Chris180 math2arch Εριφύλη Jimpower Χρήστος2006 dimitra* xrisamikol xristarac gmoutzour Mara2004 PanosApo eukleidhs1821 angies Angelikaaa Sofos Gerontas Φορτώνει... Μοιραστείτε: Facebook X Bluesky LinkedIn Reddit Pinterest Tumblr WhatsApp Email Μοιραστείτε Link ΑΠΑΝΤΗΣΗ Το forum μας χρησιμοποιεί cookies για να βελτιστοποιήσει την εμπειρία σας. Συνεχίζοντας την περιήγησή σας, συναινείτε στη χρήση cookies στον περιηγητή σας. Συμφωνώ Περισσότερα... Back Top
ελπιζω να μην εκανα αριθμητικο @nearos τωρα ειδα αυτος θελει αποσταση απο την ακρη αρα 1 - 0.8 = 0.2m
Guest 691153 Επισκέπτης Ο/Η @ αυτή τη στιγμή δεν είναι συνδεδεμέν@. Είναι διαγραμμένος λογαριασμός. 6 Οκτωβρίου 2024 στις 18:59 Ο Guest 691153: #271 06-10-24 18:59 Τι ειναι αυτα τα 2d? juanium Εκκολαπτόμενο μέλος Ο Αλέξανδρος δεν κοινοποιεί τη δραστηριότητά του. Είναι 18 ετών, Φοιτητής του τμήματος Πληροφορικής Πειραιά και μας γράφει από Χολαργός (Αττική). Έχει γράψει 384 μηνύματα. 6 Οκτωβρίου 2024 στις 19:09 Ο juanium έγραψε: #272 06-10-24 19:09 Αρχική Δημοσίευση από nearos: Τι ειναι αυτα τα 2d? Click για ανάπτυξη... Δες το σχήμα μου. Η απόσταση ανάμεσα στα στηρίγματα είναι όλη η ράβδος μείον τις ακρουλες, d η καθεμία. Guest 691153 Επισκέπτης Ο/Η @ αυτή τη στιγμή δεν είναι συνδεδεμέν@. Είναι διαγραμμένος λογαριασμός. 6 Οκτωβρίου 2024 στις 19:24 Ο Guest 691153: #273 06-10-24 19:24 μπρο εχω γαμησει την ασκηση τοσο ασχημα juanium Εκκολαπτόμενο μέλος Ο Αλέξανδρος δεν κοινοποιεί τη δραστηριότητά του. Είναι 18 ετών, Φοιτητής του τμήματος Πληροφορικής Πειραιά και μας γράφει από Χολαργός (Αττική). Έχει γράψει 384 μηνύματα. 6 Οκτωβρίου 2024 στις 19:57 Ο juanium έγραψε: #274 06-10-24 19:57 Αρχική Δημοσίευση από nearos: μπρο εχω γαμησει την ασκηση τοσο ασχημα Click για ανάπτυξη... Δες την ήρεμα από την αρχή. Έχεις 3 συνθήκες ισορροπίας. Ροπές 0 στο Α, ροπες 0 στο Β και δυνάμεις στον ψ 0. Με αυτές τις τρεις βγάζεις 3 σχέσεις με 3 άγνωστους (Να, Νβ και Χ) Guest 691153 Επισκέπτης Ο/Η @ αυτή τη στιγμή δεν είναι συνδεδεμέν@. Είναι διαγραμμένος λογαριασμός. 6 Οκτωβρίου 2024 στις 19:58 Ο Guest 691153: #275 06-10-24 19:58 Αρχική Δημοσίευση από juanium: Δες την ήρεμα από την αρχή. Έχεις 3 συνθήκες ισορροπίας. Ροπές 0 στο Α, ροπες 0 στο Β και δυνάμεις στον ψ 0. Με αυτές τις τρεις βγάζεις 3 σχέσεις με 3 άγνωστους (Να, Νβ και Χ) Click για ανάπτυξη... Το ξερω και καταλαβα τι εκανες Προσπάθησα 3 φορές να το λύσω και μου έβγαινε απόσταση αρνητική, οπότε λέω να πάει στο διάολο... θα την κοιτάξω αύριο με πιο ήρεμο κεφάλι. Ευχαριστωπ ολυ για την βοηθεια Dias Επιφανές μέλος Ο Dias δεν κοινοποιεί τη δραστηριότητά του. Είναι Καθηγητής κι έχει σπουδάσει στο τμήμα Φυσικής ΕΚΠΑ (Αθήνα). Έχει γράψει 10.922 μηνύματα. 6 Οκτωβρίου 2024 στις 21:08 Ο Dias έγραψε: #276 06-10-24 21:08 Ανατροπή : δεν ακουμπά Α => ΝΑ = 0. Μόλις ανατρέπεται = μόλις ισορροπεί ΣτΒ = 0 => WΡ.ΚΒ - W.ΣΒ = 0 => 150.1 - 750.(1-χ) = 0 => χ = 0,8m vanessa99 Δραστήριο μέλος Η vanessa99 δεν κοινοποιεί τη δραστηριότητά της. Είναι Φοιτήτρια του τμήματος Νοσηλευτικής ΕΚΠΑ (Αθήνα). Έχει γράψει 621 μηνύματα. 6 Οκτωβρίου 2024 στις 21:27 Η vanessa99: #277 06-10-24 21:27 Αρχική Δημοσίευση από Dias: Ανατροπή : δεν ακουμπά Α => ΝΑ = 0. Μόλις ανατρέπεται = μόλις ισορροπεί Click για ανάπτυξη... Ευχαριστούμε @Dias ! Θα μπορούσες να εξηγήσεις αυτό λίγο παραπάνω; Δεν έχω φτάσει ακόμα σε ταλαντώσεις/στερεό, αλλά ήταν κάτι που με παίδευε αρκετά Dias Επιφανές μέλος Ο Dias δεν κοινοποιεί τη δραστηριότητά του. Είναι Καθηγητής κι έχει σπουδάσει στο τμήμα Φυσικής ΕΚΠΑ (Αθήνα). Έχει γράψει 10.922 μηνύματα. 6 Οκτωβρίου 2024 στις 21:35 Ο Dias έγραψε: #278 06-10-24 21:35 Αρχική Δημοσίευση από vanessa99: Θα μπορούσες να εξηγήσεις αυτό λίγο παραπάνω; Click για ανάπτυξη... Ανατρέπεται άρα σηκώνεται και δεν ακουμπά. Μόλις θα πει να έχουμε την ίδια στιγμή συγχρόνως δύο καταστάσεις. π.χ. Μόλις ήρθε (για κάποιους) = μόλις έφυγε (για κάποιους άλλους) , μόλις ανατρέπεται = μόλις ισορροπεί. Guest 691153 Επισκέπτης Ο/Η @ αυτή τη στιγμή δεν είναι συνδεδεμέν@. Είναι διαγραμμένος λογαριασμός. 6 Οκτωβρίου 2024 στις 21:42 Ο Guest 691153: #279 06-10-24 21:42 Σαχλη ερώτηση γνωρίζω οτι εντος υλης ειναι οι αρχικές φάσεις π, π/2. Ομως γίνεται ξερωγω να έχουμε φ0=-π/2; (απο αρνητικα να ξεκιναει με υ=0 και να κατευθύνεται προς τα θετικά) vanessa99 Δραστήριο μέλος Η vanessa99 δεν κοινοποιεί τη δραστηριότητά της. Είναι Φοιτήτρια του τμήματος Νοσηλευτικής ΕΚΠΑ (Αθήνα). Έχει γράψει 621 μηνύματα. 6 Οκτωβρίου 2024 στις 22:06 Η vanessa99: #280 06-10-24 22:06 Αρχική Δημοσίευση από Dias: Ανατρέπεται άρα σηκώνεται και δεν ακουμπά. Μόλις θα πει να έχουμε την ίδια στιγμή συγχρόνως δύο καταστάσεις. π.χ. Μόλις ήρθε (για κάποιους) = μόλις έφυγε (για κάποιους άλλους) , μόλις ανατρέπεται = μόλις ισορροπεί. Click για ανάπτυξη... Οπότε όταν έχω "μέγιστο τάδε για να μην ανατραπεί" αντί να πάρω την κλασική ισορροπία, παίρνω ότι το ένα σημείο έχει ΣF=0 και το άλλο κανονικά ισορροπεί και δουλεύω έτσι. Σωστά; Ευχαριστώ πάρα πολύ! Προηγούμενη 1 ... Πήγαινε στη σελίδα Πάμε 12 13 14 15 Επόμενη First Προηγούμενη 14 από 15 Πήγαινε στη σελίδα Πάμε Επόμενη Last Σελίδα: 14 από 15 Πήγαινε στη σελίδα Πάμε Συνδεθείτε ή εγγραφείτε για να απαντήσετε εδώ. Χρήστες Βρείτε παρόμοια Τα παρακάτω 0 μέλη και 1 επισκέπτες διαβάζουν μαζί με εσάς αυτό το θέμα: Tα παρακάτω 155 μέλη διάβασαν αυτό το θέμα: Angelb Marel BillyTheKid trifasikodiavasma Corfu kitty userguest suaimhneas Maynard jellojina Hecticism BatGuin panosT436 sofia07 patatosalata22 Than003 FNC_Sophia iren Giannis_19 jYanniss wmaria Kate1914 Viktoriaki Vasilis125 Steliosgkougkou mysticfallsgirl12 Lia 2006 Ness ioanna2007 donut_daddy ntinos... sciencegeek Unboxholics woasibe sophiaa GV221 charmander bibliofagos Evangeloz bbb love_to_learn Panatha mono Enhypen panaman grad778 thepigod762 nikolakisss_ Magigi peter347 Alexecon1991 synthnightingale Indecisive2 Only physics Γατέχων Startx0 Wonderkid Scandal flowermd Help :) Chrisphys Helen06 Mitsaras23 Marianna.diamanti Albert.123 tan07 Georgepap_21 Coconut201 MrDragonboy chjan soleilst Ilovemycats27 BiteTheDust Μήτσος10 Elwik Mariahj DetectiveAgg stee Yorgos L bill09876 marilenaaa pannnos1992 fofo carnage Mhtsaras76 user111 Obi-Wan Kenobi neurogirl Lifelong Learner Yolo06 ROULI Human being iiTzArismaltor_ Chris180 math2arch Εριφύλη Jimpower Χρήστος2006 dimitra* xrisamikol xristarac gmoutzour Mara2004 PanosApo eukleidhs1821 angies Angelikaaa Sofos Gerontas Φορτώνει... Μοιραστείτε: Facebook X Bluesky LinkedIn Reddit Pinterest Tumblr WhatsApp Email Μοιραστείτε Link ΑΠΑΝΤΗΣΗ Το forum μας χρησιμοποιεί cookies για να βελτιστοποιήσει την εμπειρία σας. Συνεχίζοντας την περιήγησή σας, συναινείτε στη χρήση cookies στον περιηγητή σας. Συμφωνώ Περισσότερα... Back Top
juanium Εκκολαπτόμενο μέλος Ο Αλέξανδρος δεν κοινοποιεί τη δραστηριότητά του. Είναι 18 ετών, Φοιτητής του τμήματος Πληροφορικής Πειραιά και μας γράφει από Χολαργός (Αττική). Έχει γράψει 384 μηνύματα. 6 Οκτωβρίου 2024 στις 19:09 Ο juanium έγραψε: #272 06-10-24 19:09 Αρχική Δημοσίευση από nearos: Τι ειναι αυτα τα 2d? Click για ανάπτυξη... Δες το σχήμα μου. Η απόσταση ανάμεσα στα στηρίγματα είναι όλη η ράβδος μείον τις ακρουλες, d η καθεμία. Guest 691153 Επισκέπτης Ο/Η @ αυτή τη στιγμή δεν είναι συνδεδεμέν@. Είναι διαγραμμένος λογαριασμός. 6 Οκτωβρίου 2024 στις 19:24 Ο Guest 691153: #273 06-10-24 19:24 μπρο εχω γαμησει την ασκηση τοσο ασχημα juanium Εκκολαπτόμενο μέλος Ο Αλέξανδρος δεν κοινοποιεί τη δραστηριότητά του. Είναι 18 ετών, Φοιτητής του τμήματος Πληροφορικής Πειραιά και μας γράφει από Χολαργός (Αττική). Έχει γράψει 384 μηνύματα. 6 Οκτωβρίου 2024 στις 19:57 Ο juanium έγραψε: #274 06-10-24 19:57 Αρχική Δημοσίευση από nearos: μπρο εχω γαμησει την ασκηση τοσο ασχημα Click για ανάπτυξη... Δες την ήρεμα από την αρχή. Έχεις 3 συνθήκες ισορροπίας. Ροπές 0 στο Α, ροπες 0 στο Β και δυνάμεις στον ψ 0. Με αυτές τις τρεις βγάζεις 3 σχέσεις με 3 άγνωστους (Να, Νβ και Χ) Guest 691153 Επισκέπτης Ο/Η @ αυτή τη στιγμή δεν είναι συνδεδεμέν@. Είναι διαγραμμένος λογαριασμός. 6 Οκτωβρίου 2024 στις 19:58 Ο Guest 691153: #275 06-10-24 19:58 Αρχική Δημοσίευση από juanium: Δες την ήρεμα από την αρχή. Έχεις 3 συνθήκες ισορροπίας. Ροπές 0 στο Α, ροπες 0 στο Β και δυνάμεις στον ψ 0. Με αυτές τις τρεις βγάζεις 3 σχέσεις με 3 άγνωστους (Να, Νβ και Χ) Click για ανάπτυξη... Το ξερω και καταλαβα τι εκανες Προσπάθησα 3 φορές να το λύσω και μου έβγαινε απόσταση αρνητική, οπότε λέω να πάει στο διάολο... θα την κοιτάξω αύριο με πιο ήρεμο κεφάλι. Ευχαριστωπ ολυ για την βοηθεια Dias Επιφανές μέλος Ο Dias δεν κοινοποιεί τη δραστηριότητά του. Είναι Καθηγητής κι έχει σπουδάσει στο τμήμα Φυσικής ΕΚΠΑ (Αθήνα). Έχει γράψει 10.922 μηνύματα. 6 Οκτωβρίου 2024 στις 21:08 Ο Dias έγραψε: #276 06-10-24 21:08 Ανατροπή : δεν ακουμπά Α => ΝΑ = 0. Μόλις ανατρέπεται = μόλις ισορροπεί ΣτΒ = 0 => WΡ.ΚΒ - W.ΣΒ = 0 => 150.1 - 750.(1-χ) = 0 => χ = 0,8m vanessa99 Δραστήριο μέλος Η vanessa99 δεν κοινοποιεί τη δραστηριότητά της. Είναι Φοιτήτρια του τμήματος Νοσηλευτικής ΕΚΠΑ (Αθήνα). Έχει γράψει 621 μηνύματα. 6 Οκτωβρίου 2024 στις 21:27 Η vanessa99: #277 06-10-24 21:27 Αρχική Δημοσίευση από Dias: Ανατροπή : δεν ακουμπά Α => ΝΑ = 0. Μόλις ανατρέπεται = μόλις ισορροπεί Click για ανάπτυξη... Ευχαριστούμε @Dias ! Θα μπορούσες να εξηγήσεις αυτό λίγο παραπάνω; Δεν έχω φτάσει ακόμα σε ταλαντώσεις/στερεό, αλλά ήταν κάτι που με παίδευε αρκετά Dias Επιφανές μέλος Ο Dias δεν κοινοποιεί τη δραστηριότητά του. Είναι Καθηγητής κι έχει σπουδάσει στο τμήμα Φυσικής ΕΚΠΑ (Αθήνα). Έχει γράψει 10.922 μηνύματα. 6 Οκτωβρίου 2024 στις 21:35 Ο Dias έγραψε: #278 06-10-24 21:35 Αρχική Δημοσίευση από vanessa99: Θα μπορούσες να εξηγήσεις αυτό λίγο παραπάνω; Click για ανάπτυξη... Ανατρέπεται άρα σηκώνεται και δεν ακουμπά. Μόλις θα πει να έχουμε την ίδια στιγμή συγχρόνως δύο καταστάσεις. π.χ. Μόλις ήρθε (για κάποιους) = μόλις έφυγε (για κάποιους άλλους) , μόλις ανατρέπεται = μόλις ισορροπεί. Guest 691153 Επισκέπτης Ο/Η @ αυτή τη στιγμή δεν είναι συνδεδεμέν@. Είναι διαγραμμένος λογαριασμός. 6 Οκτωβρίου 2024 στις 21:42 Ο Guest 691153: #279 06-10-24 21:42 Σαχλη ερώτηση γνωρίζω οτι εντος υλης ειναι οι αρχικές φάσεις π, π/2. Ομως γίνεται ξερωγω να έχουμε φ0=-π/2; (απο αρνητικα να ξεκιναει με υ=0 και να κατευθύνεται προς τα θετικά) vanessa99 Δραστήριο μέλος Η vanessa99 δεν κοινοποιεί τη δραστηριότητά της. Είναι Φοιτήτρια του τμήματος Νοσηλευτικής ΕΚΠΑ (Αθήνα). Έχει γράψει 621 μηνύματα. 6 Οκτωβρίου 2024 στις 22:06 Η vanessa99: #280 06-10-24 22:06 Αρχική Δημοσίευση από Dias: Ανατρέπεται άρα σηκώνεται και δεν ακουμπά. Μόλις θα πει να έχουμε την ίδια στιγμή συγχρόνως δύο καταστάσεις. π.χ. Μόλις ήρθε (για κάποιους) = μόλις έφυγε (για κάποιους άλλους) , μόλις ανατρέπεται = μόλις ισορροπεί. Click για ανάπτυξη... Οπότε όταν έχω "μέγιστο τάδε για να μην ανατραπεί" αντί να πάρω την κλασική ισορροπία, παίρνω ότι το ένα σημείο έχει ΣF=0 και το άλλο κανονικά ισορροπεί και δουλεύω έτσι. Σωστά; Ευχαριστώ πάρα πολύ! Προηγούμενη 1 ... Πήγαινε στη σελίδα Πάμε 12 13 14 15 Επόμενη First Προηγούμενη 14 από 15 Πήγαινε στη σελίδα Πάμε Επόμενη Last Σελίδα: 14 από 15 Πήγαινε στη σελίδα Πάμε Συνδεθείτε ή εγγραφείτε για να απαντήσετε εδώ. Χρήστες Βρείτε παρόμοια Τα παρακάτω 0 μέλη και 1 επισκέπτες διαβάζουν μαζί με εσάς αυτό το θέμα: Tα παρακάτω 155 μέλη διάβασαν αυτό το θέμα: Angelb Marel BillyTheKid trifasikodiavasma Corfu kitty userguest suaimhneas Maynard jellojina Hecticism BatGuin panosT436 sofia07 patatosalata22 Than003 FNC_Sophia iren Giannis_19 jYanniss wmaria Kate1914 Viktoriaki Vasilis125 Steliosgkougkou mysticfallsgirl12 Lia 2006 Ness ioanna2007 donut_daddy ntinos... sciencegeek Unboxholics woasibe sophiaa GV221 charmander bibliofagos Evangeloz bbb love_to_learn Panatha mono Enhypen panaman grad778 thepigod762 nikolakisss_ Magigi peter347 Alexecon1991 synthnightingale Indecisive2 Only physics Γατέχων Startx0 Wonderkid Scandal flowermd Help :) Chrisphys Helen06 Mitsaras23 Marianna.diamanti Albert.123 tan07 Georgepap_21 Coconut201 MrDragonboy chjan soleilst Ilovemycats27 BiteTheDust Μήτσος10 Elwik Mariahj DetectiveAgg stee Yorgos L bill09876 marilenaaa pannnos1992 fofo carnage Mhtsaras76 user111 Obi-Wan Kenobi neurogirl Lifelong Learner Yolo06 ROULI Human being iiTzArismaltor_ Chris180 math2arch Εριφύλη Jimpower Χρήστος2006 dimitra* xrisamikol xristarac gmoutzour Mara2004 PanosApo eukleidhs1821 angies Angelikaaa Sofos Gerontas Φορτώνει... Μοιραστείτε: Facebook X Bluesky LinkedIn Reddit Pinterest Tumblr WhatsApp Email Μοιραστείτε Link ΑΠΑΝΤΗΣΗ Το forum μας χρησιμοποιεί cookies για να βελτιστοποιήσει την εμπειρία σας. Συνεχίζοντας την περιήγησή σας, συναινείτε στη χρήση cookies στον περιηγητή σας. Συμφωνώ Περισσότερα... Back Top
Αρχική Δημοσίευση από nearos: Τι ειναι αυτα τα 2d? Click για ανάπτυξη... Δες το σχήμα μου. Η απόσταση ανάμεσα στα στηρίγματα είναι όλη η ράβδος μείον τις ακρουλες, d η καθεμία.
Guest 691153 Επισκέπτης Ο/Η @ αυτή τη στιγμή δεν είναι συνδεδεμέν@. Είναι διαγραμμένος λογαριασμός. 6 Οκτωβρίου 2024 στις 19:24 Ο Guest 691153: #273 06-10-24 19:24 μπρο εχω γαμησει την ασκηση τοσο ασχημα juanium Εκκολαπτόμενο μέλος Ο Αλέξανδρος δεν κοινοποιεί τη δραστηριότητά του. Είναι 18 ετών, Φοιτητής του τμήματος Πληροφορικής Πειραιά και μας γράφει από Χολαργός (Αττική). Έχει γράψει 384 μηνύματα. 6 Οκτωβρίου 2024 στις 19:57 Ο juanium έγραψε: #274 06-10-24 19:57 Αρχική Δημοσίευση από nearos: μπρο εχω γαμησει την ασκηση τοσο ασχημα Click για ανάπτυξη... Δες την ήρεμα από την αρχή. Έχεις 3 συνθήκες ισορροπίας. Ροπές 0 στο Α, ροπες 0 στο Β και δυνάμεις στον ψ 0. Με αυτές τις τρεις βγάζεις 3 σχέσεις με 3 άγνωστους (Να, Νβ και Χ) Guest 691153 Επισκέπτης Ο/Η @ αυτή τη στιγμή δεν είναι συνδεδεμέν@. Είναι διαγραμμένος λογαριασμός. 6 Οκτωβρίου 2024 στις 19:58 Ο Guest 691153: #275 06-10-24 19:58 Αρχική Δημοσίευση από juanium: Δες την ήρεμα από την αρχή. Έχεις 3 συνθήκες ισορροπίας. Ροπές 0 στο Α, ροπες 0 στο Β και δυνάμεις στον ψ 0. Με αυτές τις τρεις βγάζεις 3 σχέσεις με 3 άγνωστους (Να, Νβ και Χ) Click για ανάπτυξη... Το ξερω και καταλαβα τι εκανες Προσπάθησα 3 φορές να το λύσω και μου έβγαινε απόσταση αρνητική, οπότε λέω να πάει στο διάολο... θα την κοιτάξω αύριο με πιο ήρεμο κεφάλι. Ευχαριστωπ ολυ για την βοηθεια Dias Επιφανές μέλος Ο Dias δεν κοινοποιεί τη δραστηριότητά του. Είναι Καθηγητής κι έχει σπουδάσει στο τμήμα Φυσικής ΕΚΠΑ (Αθήνα). Έχει γράψει 10.922 μηνύματα. 6 Οκτωβρίου 2024 στις 21:08 Ο Dias έγραψε: #276 06-10-24 21:08 Ανατροπή : δεν ακουμπά Α => ΝΑ = 0. Μόλις ανατρέπεται = μόλις ισορροπεί ΣτΒ = 0 => WΡ.ΚΒ - W.ΣΒ = 0 => 150.1 - 750.(1-χ) = 0 => χ = 0,8m vanessa99 Δραστήριο μέλος Η vanessa99 δεν κοινοποιεί τη δραστηριότητά της. Είναι Φοιτήτρια του τμήματος Νοσηλευτικής ΕΚΠΑ (Αθήνα). Έχει γράψει 621 μηνύματα. 6 Οκτωβρίου 2024 στις 21:27 Η vanessa99: #277 06-10-24 21:27 Αρχική Δημοσίευση από Dias: Ανατροπή : δεν ακουμπά Α => ΝΑ = 0. Μόλις ανατρέπεται = μόλις ισορροπεί Click για ανάπτυξη... Ευχαριστούμε @Dias ! Θα μπορούσες να εξηγήσεις αυτό λίγο παραπάνω; Δεν έχω φτάσει ακόμα σε ταλαντώσεις/στερεό, αλλά ήταν κάτι που με παίδευε αρκετά Dias Επιφανές μέλος Ο Dias δεν κοινοποιεί τη δραστηριότητά του. Είναι Καθηγητής κι έχει σπουδάσει στο τμήμα Φυσικής ΕΚΠΑ (Αθήνα). Έχει γράψει 10.922 μηνύματα. 6 Οκτωβρίου 2024 στις 21:35 Ο Dias έγραψε: #278 06-10-24 21:35 Αρχική Δημοσίευση από vanessa99: Θα μπορούσες να εξηγήσεις αυτό λίγο παραπάνω; Click για ανάπτυξη... Ανατρέπεται άρα σηκώνεται και δεν ακουμπά. Μόλις θα πει να έχουμε την ίδια στιγμή συγχρόνως δύο καταστάσεις. π.χ. Μόλις ήρθε (για κάποιους) = μόλις έφυγε (για κάποιους άλλους) , μόλις ανατρέπεται = μόλις ισορροπεί. Guest 691153 Επισκέπτης Ο/Η @ αυτή τη στιγμή δεν είναι συνδεδεμέν@. Είναι διαγραμμένος λογαριασμός. 6 Οκτωβρίου 2024 στις 21:42 Ο Guest 691153: #279 06-10-24 21:42 Σαχλη ερώτηση γνωρίζω οτι εντος υλης ειναι οι αρχικές φάσεις π, π/2. Ομως γίνεται ξερωγω να έχουμε φ0=-π/2; (απο αρνητικα να ξεκιναει με υ=0 και να κατευθύνεται προς τα θετικά) vanessa99 Δραστήριο μέλος Η vanessa99 δεν κοινοποιεί τη δραστηριότητά της. Είναι Φοιτήτρια του τμήματος Νοσηλευτικής ΕΚΠΑ (Αθήνα). Έχει γράψει 621 μηνύματα. 6 Οκτωβρίου 2024 στις 22:06 Η vanessa99: #280 06-10-24 22:06 Αρχική Δημοσίευση από Dias: Ανατρέπεται άρα σηκώνεται και δεν ακουμπά. Μόλις θα πει να έχουμε την ίδια στιγμή συγχρόνως δύο καταστάσεις. π.χ. Μόλις ήρθε (για κάποιους) = μόλις έφυγε (για κάποιους άλλους) , μόλις ανατρέπεται = μόλις ισορροπεί. Click για ανάπτυξη... Οπότε όταν έχω "μέγιστο τάδε για να μην ανατραπεί" αντί να πάρω την κλασική ισορροπία, παίρνω ότι το ένα σημείο έχει ΣF=0 και το άλλο κανονικά ισορροπεί και δουλεύω έτσι. Σωστά; Ευχαριστώ πάρα πολύ! Προηγούμενη 1 ... Πήγαινε στη σελίδα Πάμε 12 13 14 15 Επόμενη First Προηγούμενη 14 από 15 Πήγαινε στη σελίδα Πάμε Επόμενη Last Σελίδα: 14 από 15 Πήγαινε στη σελίδα Πάμε Συνδεθείτε ή εγγραφείτε για να απαντήσετε εδώ. Χρήστες Βρείτε παρόμοια Τα παρακάτω 0 μέλη και 1 επισκέπτες διαβάζουν μαζί με εσάς αυτό το θέμα: Tα παρακάτω 155 μέλη διάβασαν αυτό το θέμα: Angelb Marel BillyTheKid trifasikodiavasma Corfu kitty userguest suaimhneas Maynard jellojina Hecticism BatGuin panosT436 sofia07 patatosalata22 Than003 FNC_Sophia iren Giannis_19 jYanniss wmaria Kate1914 Viktoriaki Vasilis125 Steliosgkougkou mysticfallsgirl12 Lia 2006 Ness ioanna2007 donut_daddy ntinos... sciencegeek Unboxholics woasibe sophiaa GV221 charmander bibliofagos Evangeloz bbb love_to_learn Panatha mono Enhypen panaman grad778 thepigod762 nikolakisss_ Magigi peter347 Alexecon1991 synthnightingale Indecisive2 Only physics Γατέχων Startx0 Wonderkid Scandal flowermd Help :) Chrisphys Helen06 Mitsaras23 Marianna.diamanti Albert.123 tan07 Georgepap_21 Coconut201 MrDragonboy chjan soleilst Ilovemycats27 BiteTheDust Μήτσος10 Elwik Mariahj DetectiveAgg stee Yorgos L bill09876 marilenaaa pannnos1992 fofo carnage Mhtsaras76 user111 Obi-Wan Kenobi neurogirl Lifelong Learner Yolo06 ROULI Human being iiTzArismaltor_ Chris180 math2arch Εριφύλη Jimpower Χρήστος2006 dimitra* xrisamikol xristarac gmoutzour Mara2004 PanosApo eukleidhs1821 angies Angelikaaa Sofos Gerontas Φορτώνει... Μοιραστείτε: Facebook X Bluesky LinkedIn Reddit Pinterest Tumblr WhatsApp Email Μοιραστείτε Link ΑΠΑΝΤΗΣΗ
juanium Εκκολαπτόμενο μέλος Ο Αλέξανδρος δεν κοινοποιεί τη δραστηριότητά του. Είναι 18 ετών, Φοιτητής του τμήματος Πληροφορικής Πειραιά και μας γράφει από Χολαργός (Αττική). Έχει γράψει 384 μηνύματα. 6 Οκτωβρίου 2024 στις 19:57 Ο juanium έγραψε: #274 06-10-24 19:57 Αρχική Δημοσίευση από nearos: μπρο εχω γαμησει την ασκηση τοσο ασχημα Click για ανάπτυξη... Δες την ήρεμα από την αρχή. Έχεις 3 συνθήκες ισορροπίας. Ροπές 0 στο Α, ροπες 0 στο Β και δυνάμεις στον ψ 0. Με αυτές τις τρεις βγάζεις 3 σχέσεις με 3 άγνωστους (Να, Νβ και Χ) Guest 691153 Επισκέπτης Ο/Η @ αυτή τη στιγμή δεν είναι συνδεδεμέν@. Είναι διαγραμμένος λογαριασμός. 6 Οκτωβρίου 2024 στις 19:58 Ο Guest 691153: #275 06-10-24 19:58 Αρχική Δημοσίευση από juanium: Δες την ήρεμα από την αρχή. Έχεις 3 συνθήκες ισορροπίας. Ροπές 0 στο Α, ροπες 0 στο Β και δυνάμεις στον ψ 0. Με αυτές τις τρεις βγάζεις 3 σχέσεις με 3 άγνωστους (Να, Νβ και Χ) Click για ανάπτυξη... Το ξερω και καταλαβα τι εκανες Προσπάθησα 3 φορές να το λύσω και μου έβγαινε απόσταση αρνητική, οπότε λέω να πάει στο διάολο... θα την κοιτάξω αύριο με πιο ήρεμο κεφάλι. Ευχαριστωπ ολυ για την βοηθεια Dias Επιφανές μέλος Ο Dias δεν κοινοποιεί τη δραστηριότητά του. Είναι Καθηγητής κι έχει σπουδάσει στο τμήμα Φυσικής ΕΚΠΑ (Αθήνα). Έχει γράψει 10.922 μηνύματα. 6 Οκτωβρίου 2024 στις 21:08 Ο Dias έγραψε: #276 06-10-24 21:08 Ανατροπή : δεν ακουμπά Α => ΝΑ = 0. Μόλις ανατρέπεται = μόλις ισορροπεί ΣτΒ = 0 => WΡ.ΚΒ - W.ΣΒ = 0 => 150.1 - 750.(1-χ) = 0 => χ = 0,8m vanessa99 Δραστήριο μέλος Η vanessa99 δεν κοινοποιεί τη δραστηριότητά της. Είναι Φοιτήτρια του τμήματος Νοσηλευτικής ΕΚΠΑ (Αθήνα). Έχει γράψει 621 μηνύματα. 6 Οκτωβρίου 2024 στις 21:27 Η vanessa99: #277 06-10-24 21:27 Αρχική Δημοσίευση από Dias: Ανατροπή : δεν ακουμπά Α => ΝΑ = 0. Μόλις ανατρέπεται = μόλις ισορροπεί Click για ανάπτυξη... Ευχαριστούμε @Dias ! Θα μπορούσες να εξηγήσεις αυτό λίγο παραπάνω; Δεν έχω φτάσει ακόμα σε ταλαντώσεις/στερεό, αλλά ήταν κάτι που με παίδευε αρκετά Dias Επιφανές μέλος Ο Dias δεν κοινοποιεί τη δραστηριότητά του. Είναι Καθηγητής κι έχει σπουδάσει στο τμήμα Φυσικής ΕΚΠΑ (Αθήνα). Έχει γράψει 10.922 μηνύματα. 6 Οκτωβρίου 2024 στις 21:35 Ο Dias έγραψε: #278 06-10-24 21:35 Αρχική Δημοσίευση από vanessa99: Θα μπορούσες να εξηγήσεις αυτό λίγο παραπάνω; Click για ανάπτυξη... Ανατρέπεται άρα σηκώνεται και δεν ακουμπά. Μόλις θα πει να έχουμε την ίδια στιγμή συγχρόνως δύο καταστάσεις. π.χ. Μόλις ήρθε (για κάποιους) = μόλις έφυγε (για κάποιους άλλους) , μόλις ανατρέπεται = μόλις ισορροπεί. Guest 691153 Επισκέπτης Ο/Η @ αυτή τη στιγμή δεν είναι συνδεδεμέν@. Είναι διαγραμμένος λογαριασμός. 6 Οκτωβρίου 2024 στις 21:42 Ο Guest 691153: #279 06-10-24 21:42 Σαχλη ερώτηση γνωρίζω οτι εντος υλης ειναι οι αρχικές φάσεις π, π/2. Ομως γίνεται ξερωγω να έχουμε φ0=-π/2; (απο αρνητικα να ξεκιναει με υ=0 και να κατευθύνεται προς τα θετικά) vanessa99 Δραστήριο μέλος Η vanessa99 δεν κοινοποιεί τη δραστηριότητά της. Είναι Φοιτήτρια του τμήματος Νοσηλευτικής ΕΚΠΑ (Αθήνα). Έχει γράψει 621 μηνύματα. 6 Οκτωβρίου 2024 στις 22:06 Η vanessa99: #280 06-10-24 22:06 Αρχική Δημοσίευση από Dias: Ανατρέπεται άρα σηκώνεται και δεν ακουμπά. Μόλις θα πει να έχουμε την ίδια στιγμή συγχρόνως δύο καταστάσεις. π.χ. Μόλις ήρθε (για κάποιους) = μόλις έφυγε (για κάποιους άλλους) , μόλις ανατρέπεται = μόλις ισορροπεί. Click για ανάπτυξη... Οπότε όταν έχω "μέγιστο τάδε για να μην ανατραπεί" αντί να πάρω την κλασική ισορροπία, παίρνω ότι το ένα σημείο έχει ΣF=0 και το άλλο κανονικά ισορροπεί και δουλεύω έτσι. Σωστά; Ευχαριστώ πάρα πολύ! Προηγούμενη 1 ... Πήγαινε στη σελίδα Πάμε 12 13 14 15 Επόμενη First Προηγούμενη 14 από 15 Πήγαινε στη σελίδα Πάμε Επόμενη Last Σελίδα: 14 από 15 Πήγαινε στη σελίδα Πάμε Συνδεθείτε ή εγγραφείτε για να απαντήσετε εδώ. Χρήστες Βρείτε παρόμοια Τα παρακάτω 0 μέλη και 1 επισκέπτες διαβάζουν μαζί με εσάς αυτό το θέμα: Tα παρακάτω 155 μέλη διάβασαν αυτό το θέμα: Angelb Marel BillyTheKid trifasikodiavasma Corfu kitty userguest suaimhneas Maynard jellojina Hecticism BatGuin panosT436 sofia07 patatosalata22 Than003 FNC_Sophia iren Giannis_19 jYanniss wmaria Kate1914 Viktoriaki Vasilis125 Steliosgkougkou mysticfallsgirl12 Lia 2006 Ness ioanna2007 donut_daddy ntinos... sciencegeek Unboxholics woasibe sophiaa GV221 charmander bibliofagos Evangeloz bbb love_to_learn Panatha mono Enhypen panaman grad778 thepigod762 nikolakisss_ Magigi peter347 Alexecon1991 synthnightingale Indecisive2 Only physics Γατέχων Startx0 Wonderkid Scandal flowermd Help :) Chrisphys Helen06 Mitsaras23 Marianna.diamanti Albert.123 tan07 Georgepap_21 Coconut201 MrDragonboy chjan soleilst Ilovemycats27 BiteTheDust Μήτσος10 Elwik Mariahj DetectiveAgg stee Yorgos L bill09876 marilenaaa pannnos1992 fofo carnage Mhtsaras76 user111 Obi-Wan Kenobi neurogirl Lifelong Learner Yolo06 ROULI Human being iiTzArismaltor_ Chris180 math2arch Εριφύλη Jimpower Χρήστος2006 dimitra* xrisamikol xristarac gmoutzour Mara2004 PanosApo eukleidhs1821 angies Angelikaaa Sofos Gerontas Φορτώνει... Μοιραστείτε: Facebook X Bluesky LinkedIn Reddit Pinterest Tumblr WhatsApp Email Μοιραστείτε Link ΑΠΑΝΤΗΣΗ
Αρχική Δημοσίευση από nearos: μπρο εχω γαμησει την ασκηση τοσο ασχημα Click για ανάπτυξη... Δες την ήρεμα από την αρχή. Έχεις 3 συνθήκες ισορροπίας. Ροπές 0 στο Α, ροπες 0 στο Β και δυνάμεις στον ψ 0. Με αυτές τις τρεις βγάζεις 3 σχέσεις με 3 άγνωστους (Να, Νβ και Χ)
Guest 691153 Επισκέπτης Ο/Η @ αυτή τη στιγμή δεν είναι συνδεδεμέν@. Είναι διαγραμμένος λογαριασμός. 6 Οκτωβρίου 2024 στις 19:58 Ο Guest 691153: #275 06-10-24 19:58 Αρχική Δημοσίευση από juanium: Δες την ήρεμα από την αρχή. Έχεις 3 συνθήκες ισορροπίας. Ροπές 0 στο Α, ροπες 0 στο Β και δυνάμεις στον ψ 0. Με αυτές τις τρεις βγάζεις 3 σχέσεις με 3 άγνωστους (Να, Νβ και Χ) Click για ανάπτυξη... Το ξερω και καταλαβα τι εκανες Προσπάθησα 3 φορές να το λύσω και μου έβγαινε απόσταση αρνητική, οπότε λέω να πάει στο διάολο... θα την κοιτάξω αύριο με πιο ήρεμο κεφάλι. Ευχαριστωπ ολυ για την βοηθεια Dias Επιφανές μέλος Ο Dias δεν κοινοποιεί τη δραστηριότητά του. Είναι Καθηγητής κι έχει σπουδάσει στο τμήμα Φυσικής ΕΚΠΑ (Αθήνα). Έχει γράψει 10.922 μηνύματα. 6 Οκτωβρίου 2024 στις 21:08 Ο Dias έγραψε: #276 06-10-24 21:08 Ανατροπή : δεν ακουμπά Α => ΝΑ = 0. Μόλις ανατρέπεται = μόλις ισορροπεί ΣτΒ = 0 => WΡ.ΚΒ - W.ΣΒ = 0 => 150.1 - 750.(1-χ) = 0 => χ = 0,8m vanessa99 Δραστήριο μέλος Η vanessa99 δεν κοινοποιεί τη δραστηριότητά της. Είναι Φοιτήτρια του τμήματος Νοσηλευτικής ΕΚΠΑ (Αθήνα). Έχει γράψει 621 μηνύματα. 6 Οκτωβρίου 2024 στις 21:27 Η vanessa99: #277 06-10-24 21:27 Αρχική Δημοσίευση από Dias: Ανατροπή : δεν ακουμπά Α => ΝΑ = 0. Μόλις ανατρέπεται = μόλις ισορροπεί Click για ανάπτυξη... Ευχαριστούμε @Dias ! Θα μπορούσες να εξηγήσεις αυτό λίγο παραπάνω; Δεν έχω φτάσει ακόμα σε ταλαντώσεις/στερεό, αλλά ήταν κάτι που με παίδευε αρκετά Dias Επιφανές μέλος Ο Dias δεν κοινοποιεί τη δραστηριότητά του. Είναι Καθηγητής κι έχει σπουδάσει στο τμήμα Φυσικής ΕΚΠΑ (Αθήνα). Έχει γράψει 10.922 μηνύματα. 6 Οκτωβρίου 2024 στις 21:35 Ο Dias έγραψε: #278 06-10-24 21:35 Αρχική Δημοσίευση από vanessa99: Θα μπορούσες να εξηγήσεις αυτό λίγο παραπάνω; Click για ανάπτυξη... Ανατρέπεται άρα σηκώνεται και δεν ακουμπά. Μόλις θα πει να έχουμε την ίδια στιγμή συγχρόνως δύο καταστάσεις. π.χ. Μόλις ήρθε (για κάποιους) = μόλις έφυγε (για κάποιους άλλους) , μόλις ανατρέπεται = μόλις ισορροπεί. Guest 691153 Επισκέπτης Ο/Η @ αυτή τη στιγμή δεν είναι συνδεδεμέν@. Είναι διαγραμμένος λογαριασμός. 6 Οκτωβρίου 2024 στις 21:42 Ο Guest 691153: #279 06-10-24 21:42 Σαχλη ερώτηση γνωρίζω οτι εντος υλης ειναι οι αρχικές φάσεις π, π/2. Ομως γίνεται ξερωγω να έχουμε φ0=-π/2; (απο αρνητικα να ξεκιναει με υ=0 και να κατευθύνεται προς τα θετικά) vanessa99 Δραστήριο μέλος Η vanessa99 δεν κοινοποιεί τη δραστηριότητά της. Είναι Φοιτήτρια του τμήματος Νοσηλευτικής ΕΚΠΑ (Αθήνα). Έχει γράψει 621 μηνύματα. 6 Οκτωβρίου 2024 στις 22:06 Η vanessa99: #280 06-10-24 22:06 Αρχική Δημοσίευση από Dias: Ανατρέπεται άρα σηκώνεται και δεν ακουμπά. Μόλις θα πει να έχουμε την ίδια στιγμή συγχρόνως δύο καταστάσεις. π.χ. Μόλις ήρθε (για κάποιους) = μόλις έφυγε (για κάποιους άλλους) , μόλις ανατρέπεται = μόλις ισορροπεί. Click για ανάπτυξη... Οπότε όταν έχω "μέγιστο τάδε για να μην ανατραπεί" αντί να πάρω την κλασική ισορροπία, παίρνω ότι το ένα σημείο έχει ΣF=0 και το άλλο κανονικά ισορροπεί και δουλεύω έτσι. Σωστά; Ευχαριστώ πάρα πολύ! Προηγούμενη 1 ... Πήγαινε στη σελίδα Πάμε 12 13 14 15 Επόμενη First Προηγούμενη 14 από 15 Πήγαινε στη σελίδα Πάμε Επόμενη Last Σελίδα: 14 από 15 Πήγαινε στη σελίδα Πάμε Συνδεθείτε ή εγγραφείτε για να απαντήσετε εδώ. Χρήστες Βρείτε παρόμοια Τα παρακάτω 0 μέλη και 1 επισκέπτες διαβάζουν μαζί με εσάς αυτό το θέμα: Tα παρακάτω 155 μέλη διάβασαν αυτό το θέμα: Angelb Marel BillyTheKid trifasikodiavasma Corfu kitty userguest suaimhneas Maynard jellojina Hecticism BatGuin panosT436 sofia07 patatosalata22 Than003 FNC_Sophia iren Giannis_19 jYanniss wmaria Kate1914 Viktoriaki Vasilis125 Steliosgkougkou mysticfallsgirl12 Lia 2006 Ness ioanna2007 donut_daddy ntinos... sciencegeek Unboxholics woasibe sophiaa GV221 charmander bibliofagos Evangeloz bbb love_to_learn Panatha mono Enhypen panaman grad778 thepigod762 nikolakisss_ Magigi peter347 Alexecon1991 synthnightingale Indecisive2 Only physics Γατέχων Startx0 Wonderkid Scandal flowermd Help :) Chrisphys Helen06 Mitsaras23 Marianna.diamanti Albert.123 tan07 Georgepap_21 Coconut201 MrDragonboy chjan soleilst Ilovemycats27 BiteTheDust Μήτσος10 Elwik Mariahj DetectiveAgg stee Yorgos L bill09876 marilenaaa pannnos1992 fofo carnage Mhtsaras76 user111 Obi-Wan Kenobi neurogirl Lifelong Learner Yolo06 ROULI Human being iiTzArismaltor_ Chris180 math2arch Εριφύλη Jimpower Χρήστος2006 dimitra* xrisamikol xristarac gmoutzour Mara2004 PanosApo eukleidhs1821 angies Angelikaaa Sofos Gerontas Φορτώνει... Μοιραστείτε: Facebook X Bluesky LinkedIn Reddit Pinterest Tumblr WhatsApp Email Μοιραστείτε Link ΑΠΑΝΤΗΣΗ
Αρχική Δημοσίευση από juanium: Δες την ήρεμα από την αρχή. Έχεις 3 συνθήκες ισορροπίας. Ροπές 0 στο Α, ροπες 0 στο Β και δυνάμεις στον ψ 0. Με αυτές τις τρεις βγάζεις 3 σχέσεις με 3 άγνωστους (Να, Νβ και Χ) Click για ανάπτυξη... Το ξερω και καταλαβα τι εκανες Προσπάθησα 3 φορές να το λύσω και μου έβγαινε απόσταση αρνητική, οπότε λέω να πάει στο διάολο... θα την κοιτάξω αύριο με πιο ήρεμο κεφάλι. Ευχαριστωπ ολυ για την βοηθεια
Dias Επιφανές μέλος Ο Dias δεν κοινοποιεί τη δραστηριότητά του. Είναι Καθηγητής κι έχει σπουδάσει στο τμήμα Φυσικής ΕΚΠΑ (Αθήνα). Έχει γράψει 10.922 μηνύματα. 6 Οκτωβρίου 2024 στις 21:08 Ο Dias έγραψε: #276 06-10-24 21:08 Ανατροπή : δεν ακουμπά Α => ΝΑ = 0. Μόλις ανατρέπεται = μόλις ισορροπεί ΣτΒ = 0 => WΡ.ΚΒ - W.ΣΒ = 0 => 150.1 - 750.(1-χ) = 0 => χ = 0,8m vanessa99 Δραστήριο μέλος Η vanessa99 δεν κοινοποιεί τη δραστηριότητά της. Είναι Φοιτήτρια του τμήματος Νοσηλευτικής ΕΚΠΑ (Αθήνα). Έχει γράψει 621 μηνύματα. 6 Οκτωβρίου 2024 στις 21:27 Η vanessa99: #277 06-10-24 21:27 Αρχική Δημοσίευση από Dias: Ανατροπή : δεν ακουμπά Α => ΝΑ = 0. Μόλις ανατρέπεται = μόλις ισορροπεί Click για ανάπτυξη... Ευχαριστούμε @Dias ! Θα μπορούσες να εξηγήσεις αυτό λίγο παραπάνω; Δεν έχω φτάσει ακόμα σε ταλαντώσεις/στερεό, αλλά ήταν κάτι που με παίδευε αρκετά Dias Επιφανές μέλος Ο Dias δεν κοινοποιεί τη δραστηριότητά του. Είναι Καθηγητής κι έχει σπουδάσει στο τμήμα Φυσικής ΕΚΠΑ (Αθήνα). Έχει γράψει 10.922 μηνύματα. 6 Οκτωβρίου 2024 στις 21:35 Ο Dias έγραψε: #278 06-10-24 21:35 Αρχική Δημοσίευση από vanessa99: Θα μπορούσες να εξηγήσεις αυτό λίγο παραπάνω; Click για ανάπτυξη... Ανατρέπεται άρα σηκώνεται και δεν ακουμπά. Μόλις θα πει να έχουμε την ίδια στιγμή συγχρόνως δύο καταστάσεις. π.χ. Μόλις ήρθε (για κάποιους) = μόλις έφυγε (για κάποιους άλλους) , μόλις ανατρέπεται = μόλις ισορροπεί. Guest 691153 Επισκέπτης Ο/Η @ αυτή τη στιγμή δεν είναι συνδεδεμέν@. Είναι διαγραμμένος λογαριασμός. 6 Οκτωβρίου 2024 στις 21:42 Ο Guest 691153: #279 06-10-24 21:42 Σαχλη ερώτηση γνωρίζω οτι εντος υλης ειναι οι αρχικές φάσεις π, π/2. Ομως γίνεται ξερωγω να έχουμε φ0=-π/2; (απο αρνητικα να ξεκιναει με υ=0 και να κατευθύνεται προς τα θετικά) vanessa99 Δραστήριο μέλος Η vanessa99 δεν κοινοποιεί τη δραστηριότητά της. Είναι Φοιτήτρια του τμήματος Νοσηλευτικής ΕΚΠΑ (Αθήνα). Έχει γράψει 621 μηνύματα. 6 Οκτωβρίου 2024 στις 22:06 Η vanessa99: #280 06-10-24 22:06 Αρχική Δημοσίευση από Dias: Ανατρέπεται άρα σηκώνεται και δεν ακουμπά. Μόλις θα πει να έχουμε την ίδια στιγμή συγχρόνως δύο καταστάσεις. π.χ. Μόλις ήρθε (για κάποιους) = μόλις έφυγε (για κάποιους άλλους) , μόλις ανατρέπεται = μόλις ισορροπεί. Click για ανάπτυξη... Οπότε όταν έχω "μέγιστο τάδε για να μην ανατραπεί" αντί να πάρω την κλασική ισορροπία, παίρνω ότι το ένα σημείο έχει ΣF=0 και το άλλο κανονικά ισορροπεί και δουλεύω έτσι. Σωστά; Ευχαριστώ πάρα πολύ! Προηγούμενη 1 ... Πήγαινε στη σελίδα Πάμε 12 13 14 15 Επόμενη First Προηγούμενη 14 από 15 Πήγαινε στη σελίδα Πάμε Επόμενη Last Σελίδα: 14 από 15 Πήγαινε στη σελίδα Πάμε Συνδεθείτε ή εγγραφείτε για να απαντήσετε εδώ. Χρήστες Βρείτε παρόμοια Τα παρακάτω 0 μέλη και 1 επισκέπτες διαβάζουν μαζί με εσάς αυτό το θέμα: Tα παρακάτω 155 μέλη διάβασαν αυτό το θέμα: Angelb Marel BillyTheKid trifasikodiavasma Corfu kitty userguest suaimhneas Maynard jellojina Hecticism BatGuin panosT436 sofia07 patatosalata22 Than003 FNC_Sophia iren Giannis_19 jYanniss wmaria Kate1914 Viktoriaki Vasilis125 Steliosgkougkou mysticfallsgirl12 Lia 2006 Ness ioanna2007 donut_daddy ntinos... sciencegeek Unboxholics woasibe sophiaa GV221 charmander bibliofagos Evangeloz bbb love_to_learn Panatha mono Enhypen panaman grad778 thepigod762 nikolakisss_ Magigi peter347 Alexecon1991 synthnightingale Indecisive2 Only physics Γατέχων Startx0 Wonderkid Scandal flowermd Help :) Chrisphys Helen06 Mitsaras23 Marianna.diamanti Albert.123 tan07 Georgepap_21 Coconut201 MrDragonboy chjan soleilst Ilovemycats27 BiteTheDust Μήτσος10 Elwik Mariahj DetectiveAgg stee Yorgos L bill09876 marilenaaa pannnos1992 fofo carnage Mhtsaras76 user111 Obi-Wan Kenobi neurogirl Lifelong Learner Yolo06 ROULI Human being iiTzArismaltor_ Chris180 math2arch Εριφύλη Jimpower Χρήστος2006 dimitra* xrisamikol xristarac gmoutzour Mara2004 PanosApo eukleidhs1821 angies Angelikaaa Sofos Gerontas Φορτώνει... Μοιραστείτε: Facebook X Bluesky LinkedIn Reddit Pinterest Tumblr WhatsApp Email Μοιραστείτε Link ΑΠΑΝΤΗΣΗ
Ανατροπή : δεν ακουμπά Α => ΝΑ = 0. Μόλις ανατρέπεται = μόλις ισορροπεί ΣτΒ = 0 => WΡ.ΚΒ - W.ΣΒ = 0 => 150.1 - 750.(1-χ) = 0 => χ = 0,8m
vanessa99 Δραστήριο μέλος Η vanessa99 δεν κοινοποιεί τη δραστηριότητά της. Είναι Φοιτήτρια του τμήματος Νοσηλευτικής ΕΚΠΑ (Αθήνα). Έχει γράψει 621 μηνύματα. 6 Οκτωβρίου 2024 στις 21:27 Η vanessa99: #277 06-10-24 21:27 Αρχική Δημοσίευση από Dias: Ανατροπή : δεν ακουμπά Α => ΝΑ = 0. Μόλις ανατρέπεται = μόλις ισορροπεί Click για ανάπτυξη... Ευχαριστούμε @Dias ! Θα μπορούσες να εξηγήσεις αυτό λίγο παραπάνω; Δεν έχω φτάσει ακόμα σε ταλαντώσεις/στερεό, αλλά ήταν κάτι που με παίδευε αρκετά Dias Επιφανές μέλος Ο Dias δεν κοινοποιεί τη δραστηριότητά του. Είναι Καθηγητής κι έχει σπουδάσει στο τμήμα Φυσικής ΕΚΠΑ (Αθήνα). Έχει γράψει 10.922 μηνύματα. 6 Οκτωβρίου 2024 στις 21:35 Ο Dias έγραψε: #278 06-10-24 21:35 Αρχική Δημοσίευση από vanessa99: Θα μπορούσες να εξηγήσεις αυτό λίγο παραπάνω; Click για ανάπτυξη... Ανατρέπεται άρα σηκώνεται και δεν ακουμπά. Μόλις θα πει να έχουμε την ίδια στιγμή συγχρόνως δύο καταστάσεις. π.χ. Μόλις ήρθε (για κάποιους) = μόλις έφυγε (για κάποιους άλλους) , μόλις ανατρέπεται = μόλις ισορροπεί. Guest 691153 Επισκέπτης Ο/Η @ αυτή τη στιγμή δεν είναι συνδεδεμέν@. Είναι διαγραμμένος λογαριασμός. 6 Οκτωβρίου 2024 στις 21:42 Ο Guest 691153: #279 06-10-24 21:42 Σαχλη ερώτηση γνωρίζω οτι εντος υλης ειναι οι αρχικές φάσεις π, π/2. Ομως γίνεται ξερωγω να έχουμε φ0=-π/2; (απο αρνητικα να ξεκιναει με υ=0 και να κατευθύνεται προς τα θετικά) vanessa99 Δραστήριο μέλος Η vanessa99 δεν κοινοποιεί τη δραστηριότητά της. Είναι Φοιτήτρια του τμήματος Νοσηλευτικής ΕΚΠΑ (Αθήνα). Έχει γράψει 621 μηνύματα. 6 Οκτωβρίου 2024 στις 22:06 Η vanessa99: #280 06-10-24 22:06 Αρχική Δημοσίευση από Dias: Ανατρέπεται άρα σηκώνεται και δεν ακουμπά. Μόλις θα πει να έχουμε την ίδια στιγμή συγχρόνως δύο καταστάσεις. π.χ. Μόλις ήρθε (για κάποιους) = μόλις έφυγε (για κάποιους άλλους) , μόλις ανατρέπεται = μόλις ισορροπεί. Click για ανάπτυξη... Οπότε όταν έχω "μέγιστο τάδε για να μην ανατραπεί" αντί να πάρω την κλασική ισορροπία, παίρνω ότι το ένα σημείο έχει ΣF=0 και το άλλο κανονικά ισορροπεί και δουλεύω έτσι. Σωστά; Ευχαριστώ πάρα πολύ! Προηγούμενη 1 ... Πήγαινε στη σελίδα Πάμε 12 13 14 15 Επόμενη First Προηγούμενη 14 από 15 Πήγαινε στη σελίδα Πάμε Επόμενη Last Σελίδα: 14 από 15 Πήγαινε στη σελίδα Πάμε Συνδεθείτε ή εγγραφείτε για να απαντήσετε εδώ. Χρήστες Βρείτε παρόμοια Τα παρακάτω 0 μέλη και 1 επισκέπτες διαβάζουν μαζί με εσάς αυτό το θέμα: Tα παρακάτω 155 μέλη διάβασαν αυτό το θέμα: Angelb Marel BillyTheKid trifasikodiavasma Corfu kitty userguest suaimhneas Maynard jellojina Hecticism BatGuin panosT436 sofia07 patatosalata22 Than003 FNC_Sophia iren Giannis_19 jYanniss wmaria Kate1914 Viktoriaki Vasilis125 Steliosgkougkou mysticfallsgirl12 Lia 2006 Ness ioanna2007 donut_daddy ntinos... sciencegeek Unboxholics woasibe sophiaa GV221 charmander bibliofagos Evangeloz bbb love_to_learn Panatha mono Enhypen panaman grad778 thepigod762 nikolakisss_ Magigi peter347 Alexecon1991 synthnightingale Indecisive2 Only physics Γατέχων Startx0 Wonderkid Scandal flowermd Help :) Chrisphys Helen06 Mitsaras23 Marianna.diamanti Albert.123 tan07 Georgepap_21 Coconut201 MrDragonboy chjan soleilst Ilovemycats27 BiteTheDust Μήτσος10 Elwik Mariahj DetectiveAgg stee Yorgos L bill09876 marilenaaa pannnos1992 fofo carnage Mhtsaras76 user111 Obi-Wan Kenobi neurogirl Lifelong Learner Yolo06 ROULI Human being iiTzArismaltor_ Chris180 math2arch Εριφύλη Jimpower Χρήστος2006 dimitra* xrisamikol xristarac gmoutzour Mara2004 PanosApo eukleidhs1821 angies Angelikaaa Sofos Gerontas Φορτώνει... Μοιραστείτε: Facebook X Bluesky LinkedIn Reddit Pinterest Tumblr WhatsApp Email Μοιραστείτε Link ΑΠΑΝΤΗΣΗ
Αρχική Δημοσίευση από Dias: Ανατροπή : δεν ακουμπά Α => ΝΑ = 0. Μόλις ανατρέπεται = μόλις ισορροπεί Click για ανάπτυξη... Ευχαριστούμε @Dias ! Θα μπορούσες να εξηγήσεις αυτό λίγο παραπάνω; Δεν έχω φτάσει ακόμα σε ταλαντώσεις/στερεό, αλλά ήταν κάτι που με παίδευε αρκετά
Dias Επιφανές μέλος Ο Dias δεν κοινοποιεί τη δραστηριότητά του. Είναι Καθηγητής κι έχει σπουδάσει στο τμήμα Φυσικής ΕΚΠΑ (Αθήνα). Έχει γράψει 10.922 μηνύματα. 6 Οκτωβρίου 2024 στις 21:35 Ο Dias έγραψε: #278 06-10-24 21:35 Αρχική Δημοσίευση από vanessa99: Θα μπορούσες να εξηγήσεις αυτό λίγο παραπάνω; Click για ανάπτυξη... Ανατρέπεται άρα σηκώνεται και δεν ακουμπά. Μόλις θα πει να έχουμε την ίδια στιγμή συγχρόνως δύο καταστάσεις. π.χ. Μόλις ήρθε (για κάποιους) = μόλις έφυγε (για κάποιους άλλους) , μόλις ανατρέπεται = μόλις ισορροπεί. Guest 691153 Επισκέπτης Ο/Η @ αυτή τη στιγμή δεν είναι συνδεδεμέν@. Είναι διαγραμμένος λογαριασμός. 6 Οκτωβρίου 2024 στις 21:42 Ο Guest 691153: #279 06-10-24 21:42 Σαχλη ερώτηση γνωρίζω οτι εντος υλης ειναι οι αρχικές φάσεις π, π/2. Ομως γίνεται ξερωγω να έχουμε φ0=-π/2; (απο αρνητικα να ξεκιναει με υ=0 και να κατευθύνεται προς τα θετικά) vanessa99 Δραστήριο μέλος Η vanessa99 δεν κοινοποιεί τη δραστηριότητά της. Είναι Φοιτήτρια του τμήματος Νοσηλευτικής ΕΚΠΑ (Αθήνα). Έχει γράψει 621 μηνύματα. 6 Οκτωβρίου 2024 στις 22:06 Η vanessa99: #280 06-10-24 22:06 Αρχική Δημοσίευση από Dias: Ανατρέπεται άρα σηκώνεται και δεν ακουμπά. Μόλις θα πει να έχουμε την ίδια στιγμή συγχρόνως δύο καταστάσεις. π.χ. Μόλις ήρθε (για κάποιους) = μόλις έφυγε (για κάποιους άλλους) , μόλις ανατρέπεται = μόλις ισορροπεί. Click για ανάπτυξη... Οπότε όταν έχω "μέγιστο τάδε για να μην ανατραπεί" αντί να πάρω την κλασική ισορροπία, παίρνω ότι το ένα σημείο έχει ΣF=0 και το άλλο κανονικά ισορροπεί και δουλεύω έτσι. Σωστά; Ευχαριστώ πάρα πολύ! Προηγούμενη 1 ... Πήγαινε στη σελίδα Πάμε 12 13 14 15 Επόμενη First Προηγούμενη 14 από 15 Πήγαινε στη σελίδα Πάμε Επόμενη Last Σελίδα: 14 από 15 Πήγαινε στη σελίδα Πάμε Συνδεθείτε ή εγγραφείτε για να απαντήσετε εδώ. Χρήστες Βρείτε παρόμοια Τα παρακάτω 0 μέλη και 1 επισκέπτες διαβάζουν μαζί με εσάς αυτό το θέμα: Tα παρακάτω 155 μέλη διάβασαν αυτό το θέμα: Angelb Marel BillyTheKid trifasikodiavasma Corfu kitty userguest suaimhneas Maynard jellojina Hecticism BatGuin panosT436 sofia07 patatosalata22 Than003 FNC_Sophia iren Giannis_19 jYanniss wmaria Kate1914 Viktoriaki Vasilis125 Steliosgkougkou mysticfallsgirl12 Lia 2006 Ness ioanna2007 donut_daddy ntinos... sciencegeek Unboxholics woasibe sophiaa GV221 charmander bibliofagos Evangeloz bbb love_to_learn Panatha mono Enhypen panaman grad778 thepigod762 nikolakisss_ Magigi peter347 Alexecon1991 synthnightingale Indecisive2 Only physics Γατέχων Startx0 Wonderkid Scandal flowermd Help :) Chrisphys Helen06 Mitsaras23 Marianna.diamanti Albert.123 tan07 Georgepap_21 Coconut201 MrDragonboy chjan soleilst Ilovemycats27 BiteTheDust Μήτσος10 Elwik Mariahj DetectiveAgg stee Yorgos L bill09876 marilenaaa pannnos1992 fofo carnage Mhtsaras76 user111 Obi-Wan Kenobi neurogirl Lifelong Learner Yolo06 ROULI Human being iiTzArismaltor_ Chris180 math2arch Εριφύλη Jimpower Χρήστος2006 dimitra* xrisamikol xristarac gmoutzour Mara2004 PanosApo eukleidhs1821 angies Angelikaaa Sofos Gerontas Φορτώνει... Μοιραστείτε: Facebook X Bluesky LinkedIn Reddit Pinterest Tumblr WhatsApp Email Μοιραστείτε Link ΑΠΑΝΤΗΣΗ
Αρχική Δημοσίευση από vanessa99: Θα μπορούσες να εξηγήσεις αυτό λίγο παραπάνω; Click για ανάπτυξη... Ανατρέπεται άρα σηκώνεται και δεν ακουμπά. Μόλις θα πει να έχουμε την ίδια στιγμή συγχρόνως δύο καταστάσεις. π.χ. Μόλις ήρθε (για κάποιους) = μόλις έφυγε (για κάποιους άλλους) , μόλις ανατρέπεται = μόλις ισορροπεί.
Guest 691153 Επισκέπτης Ο/Η @ αυτή τη στιγμή δεν είναι συνδεδεμέν@. Είναι διαγραμμένος λογαριασμός. 6 Οκτωβρίου 2024 στις 21:42 Ο Guest 691153: #279 06-10-24 21:42 Σαχλη ερώτηση γνωρίζω οτι εντος υλης ειναι οι αρχικές φάσεις π, π/2. Ομως γίνεται ξερωγω να έχουμε φ0=-π/2; (απο αρνητικα να ξεκιναει με υ=0 και να κατευθύνεται προς τα θετικά) vanessa99 Δραστήριο μέλος Η vanessa99 δεν κοινοποιεί τη δραστηριότητά της. Είναι Φοιτήτρια του τμήματος Νοσηλευτικής ΕΚΠΑ (Αθήνα). Έχει γράψει 621 μηνύματα. 6 Οκτωβρίου 2024 στις 22:06 Η vanessa99: #280 06-10-24 22:06 Αρχική Δημοσίευση από Dias: Ανατρέπεται άρα σηκώνεται και δεν ακουμπά. Μόλις θα πει να έχουμε την ίδια στιγμή συγχρόνως δύο καταστάσεις. π.χ. Μόλις ήρθε (για κάποιους) = μόλις έφυγε (για κάποιους άλλους) , μόλις ανατρέπεται = μόλις ισορροπεί. Click για ανάπτυξη... Οπότε όταν έχω "μέγιστο τάδε για να μην ανατραπεί" αντί να πάρω την κλασική ισορροπία, παίρνω ότι το ένα σημείο έχει ΣF=0 και το άλλο κανονικά ισορροπεί και δουλεύω έτσι. Σωστά; Ευχαριστώ πάρα πολύ! Προηγούμενη 1 ... Πήγαινε στη σελίδα Πάμε 12 13 14 15 Επόμενη First Προηγούμενη 14 από 15 Πήγαινε στη σελίδα Πάμε Επόμενη Last Σελίδα: 14 από 15 Πήγαινε στη σελίδα Πάμε Συνδεθείτε ή εγγραφείτε για να απαντήσετε εδώ.
Σαχλη ερώτηση γνωρίζω οτι εντος υλης ειναι οι αρχικές φάσεις π, π/2. Ομως γίνεται ξερωγω να έχουμε φ0=-π/2; (απο αρνητικα να ξεκιναει με υ=0 και να κατευθύνεται προς τα θετικά)
vanessa99 Δραστήριο μέλος Η vanessa99 δεν κοινοποιεί τη δραστηριότητά της. Είναι Φοιτήτρια του τμήματος Νοσηλευτικής ΕΚΠΑ (Αθήνα). Έχει γράψει 621 μηνύματα. 6 Οκτωβρίου 2024 στις 22:06 Η vanessa99: #280 06-10-24 22:06 Αρχική Δημοσίευση από Dias: Ανατρέπεται άρα σηκώνεται και δεν ακουμπά. Μόλις θα πει να έχουμε την ίδια στιγμή συγχρόνως δύο καταστάσεις. π.χ. Μόλις ήρθε (για κάποιους) = μόλις έφυγε (για κάποιους άλλους) , μόλις ανατρέπεται = μόλις ισορροπεί. Click για ανάπτυξη... Οπότε όταν έχω "μέγιστο τάδε για να μην ανατραπεί" αντί να πάρω την κλασική ισορροπία, παίρνω ότι το ένα σημείο έχει ΣF=0 και το άλλο κανονικά ισορροπεί και δουλεύω έτσι. Σωστά; Ευχαριστώ πάρα πολύ!
Αρχική Δημοσίευση από Dias: Ανατρέπεται άρα σηκώνεται και δεν ακουμπά. Μόλις θα πει να έχουμε την ίδια στιγμή συγχρόνως δύο καταστάσεις. π.χ. Μόλις ήρθε (για κάποιους) = μόλις έφυγε (για κάποιους άλλους) , μόλις ανατρέπεται = μόλις ισορροπεί. Click για ανάπτυξη... Οπότε όταν έχω "μέγιστο τάδε για να μην ανατραπεί" αντί να πάρω την κλασική ισορροπία, παίρνω ότι το ένα σημείο έχει ΣF=0 και το άλλο κανονικά ισορροπεί και δουλεύω έτσι. Σωστά; Ευχαριστώ πάρα πολύ!