Grand Duchess
Διακεκριμένο μέλος
Η Grand Duchess αυτή τη στιγμή δεν είναι συνδεδεμένη. Είναι Φοιτήτρια. Έχει γράψει 7.654 μηνύματα.

31-10-20

07:32
Να σημειώσω και όπως είπες, ότι πριν πέσει το καθεστώς τα ρουμανικά πανεπιστήμια ΔΕΝ ήταν καθόλου εύκολα να τα βγάλεις. Ξέρω γιατρό μεγάλης ηλικίας που μπόρεσε να σπουδάσει Ρουμανία με το τότε καθεστώς και μας είπε ότι τους έβγαιναν τα λάδια για να πάρουν πτυχίο όχι όπως τώρα που δέχονται τον οποιοδήποτεΤον Δεκέμβριο του 1989, έπεσε το καθεστώς Τσαουσέσκου.
thecrazycretan
Εκκολαπτόμενο μέλος
Ο thecrazycretan αυτή τη στιγμή δεν είναι συνδεδεμένος. Είναι 22 ετών, Φοιτητής του τμήματος Επιστήμης Υπολογιστών Κρήτης και μας γράφει από Σπάρτη (Λακωνία). Έχει γράψει 208 μηνύματα.

09-03-21

10:45
Μπορεί να είναι εύκολη η εγγραφή σε κάποιο τμήμα, μα δεν είναι εύκολο να ολοκληρώσεις. Ένας γνωστός μου σπουδάζει Χημεία στην Ρουμανία το επίπεδο είναι πολύ υψηλό, οι εγκαταστάσεις άρτιες. Γενικά καμία σχέση με το στερεότυπο που υπάρχει για τις χώρες που άνηκαν στο ανατολικό μπλοκ. Το μόνο πρόβλημα που συνάντησε εκεί είναι η γλώσσα, καθώς η σχολή του δεν έχει αγγλόφωνο πρόγραμμα όπως η Ιατρική πχ.Να σημειώσω και όπως είπες, ότι πριν πέσει το καθεστώς τα ρουμανικά πανεπιστήμια ΔΕΝ ήταν καθόλου εύκολα να τα βγάλεις. Ξέρω γιατρό μεγάλης ηλικίας που μπόρεσε να σπουδάσει Ρουμανία με το τότε καθεστώς και μας είπε ότι τους έβγαιναν τα λάδια για να πάρουν πτυχίο όχι όπως τώρα που δέχονται τον οποιοδήποτε
eukleidhs1821
Διάσημο μέλος
Ο eukleidhs1821 αυτή τη στιγμή δεν είναι συνδεδεμένος. Είναι Πτυχιούχος του τμήματος Ιατρικής Ιωαννίνων (Ιωάννινα) και μας γράφει από Καινούργιο (Ηράκλειο). Έχει γράψει 3.965 μηνύματα.

22-06-21

23:21
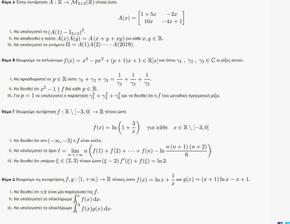
μιας και ειναι περιοδος τετοια μπορουμε να βρουμε κανα θεμα ρουμανικων εξετασεων ή ακομα και αλλων χωρων αλβανιας πχ??ετσι να δουμε περιπου τι ζητουνται απο υποψηφιους
nPb
Επιφανές μέλος
Ο nPb αυτή τη στιγμή δεν είναι συνδεδεμένος. Είναι Μεταπτυχιούχος και μας γράφει από Πάτρα (Αχαΐα). Έχει γράψει 23.044 μηνύματα.

22-06-21

23:46
μιας και ειναι περιοδος τετοια μπορουμε να βρουμε κανα θεμα ρουμανικων εξετασεων ή ακομα και αλλων χωρων αλβανιας πχ??ετσι να δουμε περιπου τι ζητουνται απο υποψηφιους
Με χρηση google translator να κάνεις μετάφραση σχολικών όρων για μαθηματικά και ίσως βρεις κάτι...
Μπορεί να είναι εύκολη η εγγραφή σε κάποιο τμήμα, μα δεν είναι εύκολο να ολοκληρώσεις. Ένας γνωστός μου σπουδάζει Χημεία στην Ρουμανία το επίπεδο είναι πολύ υψηλό, οι εγκαταστάσεις άρτιες. Γενικά καμία σχέση με το στερεότυπο που υπάρχει για τις χώρες που άνηκαν στο ανατολικό μπλοκ. Το μόνο πρόβλημα που συνάντησε εκεί είναι η γλώσσα, καθώς η σχολή του δεν έχει αγγλόφωνο πρόγραμμα όπως η Ιατρική πχ.
Ναι έχουν το "σοβιετικό" σύστημα σπουδών με έμφαση στο ολοκληρωτικό μοντέλο επιστήμονα που θα είναι χρήσιμος για το σοσιαλιστικό κόμμα.
Guest 039548
Επισκέπτης
αυτή τη στιγμή δεν είναι συνδεδεμέν. Δεν έχει γράψει κανένα μήνυμα.

23-06-21

11:52
Θεματα μαθηματικων 2020,να πω οτι το βρηκα ψαχνοντας στο google , οποτε δεν ειμαι 100% σιγουρος οτι αυτα ειναι.μιας και ειναι περιοδος τετοια μπορουμε να βρουμε κανα θεμα ρουμανικων εξετασεων ή ακομα και αλλων χωρων αλβανιας πχ??ετσι να δουμε περιπου τι ζητουνται απο υποψηφιους
damn
Πολύ δραστήριο μέλος
Ο damn αυτή τη στιγμή δεν είναι συνδεδεμένος. Είναι 31 ετών. Έχει γράψει 1.771 μηνύματα.

23-06-21

11:54
Τα θεματα που ειχαν πεσει στις εθνικες εξετασεις της Ρουμανιας το 2015 στα Μαθηματικα..δεν φαινονται και ευκολα.Εσας ποια η αποψη σας;
nPb
Επιφανές μέλος
Ο nPb αυτή τη στιγμή δεν είναι συνδεδεμένος. Είναι Μεταπτυχιούχος και μας γράφει από Πάτρα (Αχαΐα). Έχει γράψει 23.044 μηνύματα.

23-06-21

11:55
Θεματα μαθηματικων 2020,να πω οτι το βρηκα ψαχνοντας στο google , οποτε δεν ειμαι 100% σιγουρος οτι αυτα ειναι.
Ναι αυτά είναι. Είναι υπόδειγμα γραπτών θεμάτων (έχουν και τη σφραγίδα Βουκουρέστι). Δεν φαίνονται βατά για έναν 17χρονο μαθητή.

Guest 039548
Επισκέπτης
αυτή τη στιγμή δεν είναι συνδεδεμέν. Δεν έχει γράψει κανένα μήνυμα.

23-06-21

11:58
nPb
Επιφανές μέλος
Ο nPb αυτή τη στιγμή δεν είναι συνδεδεμένος. Είναι Μεταπτυχιούχος και μας γράφει από Πάτρα (Αχαΐα). Έχει γράψει 23.044 μηνύματα.

23-06-21

11:59
2021( αν θελει κανεις να τα κατεβασει, E.c - μαθηματικα , E.d φυσικη - πληροφορικη)
δεν ανοίγει ο σύνδεσμος..
Guest 039548
Επισκέπτης
αυτή τη στιγμή δεν είναι συνδεδεμέν. Δεν έχει γράψει κανένα μήνυμα.

23-06-21

12:12
τα κατεβασα και τα ανεβασα,η ιστοσελιδα στην οποια τα βρηκα δουλευει μονο οποτε θελειδεν ανοίγει ο σύνδεσμος..
bovid19
Εκκολαπτόμενο μέλος
Ο bovid19 αυτή τη στιγμή δεν είναι συνδεδεμένος. Είναι 27 ετών και Πτυχιούχος του τμήματος Οικονομικής Επιστήμης ΟΠΑ. Έχει γράψει 344 μηνύματα.

23-06-21

13:47
Ωραία θεματάκια, εμένα μου αρέσει που εξετάζουν πιο πολύ το εύρος παρά το βάθος γνώσεων (έχουν λογισμό, μιγαδικούς, γεωμετρία, γραμμική άλγεβρα, συνδυαστική). Το βρίσκω λίγο περίεργο για ένα λυκειόπαιδο να συγκεντρώνεται υπερβολικά σε ένα μόνο κλάδο των μαθηματικών.
asdfqwerty
Πολύ δραστήριο μέλος
Ο asdfqwerty αυτή τη στιγμή δεν είναι συνδεδεμένος. Είναι Φοιτητής του τμήματος Πληροφορικής & Τηλεπικοινωνιών ΕΚΠΑ. Έχει γράψει 1.347 μηνύματα.

23-06-21

13:56
μακαρι να γινει ετσι και εδω στην ελλαδα.. ελεος με αυτο το εκτρωμα του αεππ.. καλυτερα μονο σε c και μην ασχοληθουν με το αντικειμενοστραφες κομματι απο τοσο νωρις
eukleidhs1821
Διάσημο μέλος
Ο eukleidhs1821 αυτή τη στιγμή δεν είναι συνδεδεμένος. Είναι Πτυχιούχος του τμήματος Ιατρικής Ιωαννίνων (Ιωάννινα) και μας γράφει από Καινούργιο (Ηράκλειο). Έχει γράψει 3.965 μηνύματα.

23-06-21

13:59
αυτο που παρατηρω ειναι οτι το επιπεδο ειναι κωμικο ως προς πλευρας δυσκολιας.δηλαδη ασκησακια υπολογιστικα.δεν βλεπω καμια πρωτοτυπια.σε καμια περιπτωση δεν υπαρχουν ερωτηματα που θα κανουν τη διαφορα οπως πεφτει στις δικες μας εξετασεις.αυτο με το βαθος που λενε καποιοι σιγα.κατι μιγαδικους βλεπω στοιχειωδεις και ολοκληρωματα που μεχρι πριν 4 χρονια ηταν στην υλη και των δικων μας λυκειων.αρα πριν κατηγορουμε οτι το δικο μας συστημα ειναι της πλακας να κοιταμε και εξω.θελετε εξετασεις με ασκησακια στυλ ρουμανιας??
asdfqwerty
Πολύ δραστήριο μέλος
Ο asdfqwerty αυτή τη στιγμή δεν είναι συνδεδεμένος. Είναι Φοιτητής του τμήματος Πληροφορικής & Τηλεπικοινωνιών ΕΚΠΑ. Έχει γράψει 1.347 μηνύματα.

23-06-21

14:02
νομιζω αποδιδει καλυτερα αν δεις τους κουβαδες με μεταλλια που εχουν.. επισης εχουν λογικα πολυ μεγαλυτερη υλη και οχι ενα δειγμα πετσοκομμενης αναλυσηςαυτο που παρατηρω ειναι οτι το επιπεδο ειναι κωμικο ως προς πλευρας δυσκολιας.δηλαδη ασκησακια υπολογιστικα.δεν βλεπω καμια πρωτοτυπια.σε καμια περιπτωση δεν υπαρχουν ερωτηματα που θα κανουν τη διαφορα οπως πεφτει στις δικες μας εξετασεις.αυτο με το βαθος που λενε καποιοι σιγα.κατι μιγαδικους βλεπω στοιχειωδεις και ολοκληρωματα που μεχρι πριν 4 χρονια ηταν στην υλη και των δικων μας λυκειων.αρα πριν κατηγορουμε οτι το δικο μας συστημα ειναι της πλακας να κοιταμε και εξω.θελετε εξετασεις με ασκησακια στυλ ρουμανιας??
damn
Πολύ δραστήριο μέλος
Ο damn αυτή τη στιγμή δεν είναι συνδεδεμένος. Είναι 31 ετών. Έχει γράψει 1.771 μηνύματα.

23-06-21

14:43
Αυτο που παρατηρω ειναι οτι τα θεματα των μαθηματικων καποια απο αυτα που ειχαν πεσει αντιστοιχουν σε υλη που διδασκεται στο πανεπιστημιο εδω στην χωρα μας σε οικονομικες κλπ σχολες.Μπορει να εχω και αδικο εσεις τι λετε;
Mπορουμε να βρουμε θεματα αρχες οικονομικης θεωριας που πεφτουν στις Ρουμανικες εξετασεις;
Αυτόματη ένωση συνεχόμενων μηνυμάτων:
Mπορουμε να βρουμε θεματα αρχες οικονομικης θεωριας που πεφτουν στις Ρουμανικες εξετασεις;
ιωαννηs
Επιφανές μέλος
Ο ιωαννηs αυτή τη στιγμή δεν είναι συνδεδεμένος. Είναι 25 ετών, Φοιτητής του τμήματος Πρόγραμμα Ιερατικών Σπουδών και μας γράφει από Πειραιάς (Αττική). Έχει γράψει 15.201 μηνύματα.

23-06-21

14:58
Με τετοια θεματα μαθηματικα φυσικη τα ελληνακια θα εκαναν παρτυ.
ΕΙναι θεματα για να ανταποκρινονται σε προετοιμασια σχολειου χωρις μεσολαβηση φροντιστηριων
eukleidhs1821
Διάσημο μέλος
Ο eukleidhs1821 αυτή τη στιγμή δεν είναι συνδεδεμένος. Είναι Πτυχιούχος του τμήματος Ιατρικής Ιωαννίνων (Ιωάννινα) και μας γράφει από Καινούργιο (Ηράκλειο). Έχει γράψει 3.965 μηνύματα.

23-06-21

15:12
αυτο λεω φιλε μου.στοιχειωδεις εννοιες.το μονο που δεν εχουν διδαχθει στο λυκειο απο αυτα που βλεπω ειναι οι αντιστροφες τριγωνομετρικες.σιγα τα αυγα δηλαδη.επισης στο διαγωνισμα το μονο ερωτημα που αξιζει ειναι το ολοκληρωμα απο -1 εως 1 της xf(x) που πρεπει να δειξεις οτι ειναι περιττη συναρτηση για να παρεις ολοκληρωμα μηδεν.δηλαδη και παλι σιγα τα αυγα.οταν ειναι μεσα τα ολοκληρωματα και αυτο ειναι κλασσικη μεθοδολογια!Με τετοια θεματα μαθηματικα φυσικη τα ελληνακια θα εκαναν παρτυ.
ΕΙναι θεματα για να ανταποκρινονται σε προετοιμασια σχολειου χωρις μεσολαβηση φροντιστηριων
bovid19
Εκκολαπτόμενο μέλος
Ο bovid19 αυτή τη στιγμή δεν είναι συνδεδεμένος. Είναι 27 ετών και Πτυχιούχος του τμήματος Οικονομικής Επιστήμης ΟΠΑ. Έχει γράψει 344 μηνύματα.

23-06-21

15:14
Ναι κάτσε μάθε μεθοδολογίες. Όταν μετά οι φοιτητές ζορίζονται στη συνδυαστική που δεν έχει τυφλοσούρτηδες κλαίμε για την κατάντια της ελληνικής παιδείας.
eukleidhs1821
Διάσημο μέλος
Ο eukleidhs1821 αυτή τη στιγμή δεν είναι συνδεδεμένος. Είναι Πτυχιούχος του τμήματος Ιατρικής Ιωαννίνων (Ιωάννινα) και μας γράφει από Καινούργιο (Ηράκλειο). Έχει γράψει 3.965 μηνύματα.

23-06-21

15:15
μα το να μαθεις λιγο παραπανω δεν ειναι δειγμα δυσκολιας των εξετασεων.βλεπεις τι ερωτηματα εχουν στο τεταρτο θεμα??βρες μου το ολοκληρωμα χ^2dx.αυτο εδω δεν θα τολμαγε να το βαλει καποιος ουτε ερωτημα στο πρωτο θεμα.αλλο ερωτημα πληθος ριζων παλι σε τεταρτο θεμα που εδω ειναι με το ζορι τριτο!νομιζω αποδιδει καλυτερα αν δεις τους κουβαδες με μεταλλια που εχουν.. επισης εχουν λογικα πολυ μεγαλυτερη υλη και οχι ενα δειγμα πετσοκομμενης αναλυσης
Αυτόματη ένωση συνεχόμενων μηνυμάτων:
συνδυαστικη οντως ειναι δυσκολη,αλλα δυσκολευει τους παντες.δεν φταιει το κακο λυκειο για αυτο.Ναι κάτσε μάθε μεθοδολογίες. Όταν μετά οι φοιτητές ζορίζονται στη συνδυαστική που δεν έχει τυφλοσούρτηδες κλαίμε για την κατάντια της ελληνικής παιδείας.
Αυτόματη ένωση συνεχόμενων μηνυμάτων:
αυτο το ερωτημα με το πληθος ριζων το βαλανε τεταρτο θεμα για να ξεδιαλεξουν υποτιθεται τους καλους!εδω ειναι ερωτημα δευτερου θεματος για να πει καποιος πιανω τη βαση.κατσε εσυ ελληνα και υποτιμα τον εαυτο σου
asdfqwerty
Πολύ δραστήριο μέλος
Ο asdfqwerty αυτή τη στιγμή δεν είναι συνδεδεμένος. Είναι Φοιτητής του τμήματος Πληροφορικής & Τηλεπικοινωνιών ΕΚΠΑ. Έχει γράψει 1.347 μηνύματα.

23-06-21

15:29
τα θεματα του 19.
το θεμα ειναι οτι οι μαθητες ασχολουμαστε με μονο με μια γελοια κουτσουρεμενη αναλυση.. στις δεσμες που η υλη ηταν 5πλασια απ' αυτην που εχουμε-ειχαν.. θα δειτε και πολυ ευκολα θεματα αναλυσης αλλα οταν εχεις να διαβασεις τοσα πολλα πραγματα νομιζεις οτι ειναι το ιδιο ευκολο να εμβαθυνεις και να λυσεις παρα πολλες ασκησεις σε ολα τα κεφαλαια οταν κατι τετοιο ισχυει και για τα αλλα μαθηματα? Το θετικο ειναι οτι εχεις παρει γνωσεις σε διαφορους τομεις των μαθηματικων που θα σε βοηθησουν να μαθεις και να εμβαθυνεις περισσοτερο στο πανεπιστημιο ευκολοτερα χωρις να βλεπεις τα παντα απο το μηδεν.. Εμεις διδασκουμε στειρες μεθοδολογιες και τεχνικες και εντυπωσιαζομαστε με τετοια θεματα οταν τα βλεπουμε σε πανελληνιες-βοηθηματα.. γι' αυτο ειμαστε στον πατο σε σχεση με αλλους.
Αυτόματη ένωση συνεχόμενων μηνυμάτων:
το θεμα ειναι οτι οι μαθητες ασχολουμαστε με μονο με μια γελοια κουτσουρεμενη αναλυση.. στις δεσμες που η υλη ηταν 5πλασια απ' αυτην που εχουμε-ειχαν.. θα δειτε και πολυ ευκολα θεματα αναλυσης αλλα οταν εχεις να διαβασεις τοσα πολλα πραγματα νομιζεις οτι ειναι το ιδιο ευκολο να εμβαθυνεις και να λυσεις παρα πολλες ασκησεις σε ολα τα κεφαλαια οταν κατι τετοιο ισχυει και για τα αλλα μαθηματα? Το θετικο ειναι οτι εχεις παρει γνωσεις σε διαφορους τομεις των μαθηματικων που θα σε βοηθησουν να μαθεις και να εμβαθυνεις περισσοτερο στο πανεπιστημιο ευκολοτερα χωρις να βλεπεις τα παντα απο το μηδεν.. Εμεις διδασκουμε στειρες μεθοδολογιες και τεχνικες και εντυπωσιαζομαστε με τετοια θεματα οταν τα βλεπουμε σε πανελληνιες-βοηθηματα.. γι' αυτο ειμαστε στον πατο σε σχεση με αλλους.
Χρήστες Βρείτε παρόμοια
-
Τα παρακάτω 0 μέλη και 1 επισκέπτες διαβάζουν μαζί με εσάς αυτό το θέμα:Tα παρακάτω 122 μέλη διάβασαν αυτό το θέμα:
- Hased Babis
- topg
- blissele
- ggl
- P.Dam.
- SlimShady
- Maraki2
- oups
- Schlimazel
- Chemwizard
- Sophia.a1
- katapliksi
- DeWiN
- Outer Banks
- Αναστασία197
- Unboxholics
- neurogirl
- damn
- thecrazycretan
- johnsala
- igeorgeoikonomo
- Lathy
- constansn
- Pharmacist01
- eukleidhs1821
- anastasis06
- kiyoshi
- tsiobieman
- korlef
- Greg1900
- Ria99
- MarcoReus
- the purge
- StudyFreak04
- paulkin94
- Κλημεντίνη
- Georgekk
- aekaras 21
- calliope
- T C
- nicole1982
- Jocaste
- Cortes
- Viedo
- nucomer
- Stroka
- Memetchi
- Αλκης Κ.
- stefan
- Mhtrogoal
- Alexecon1991
- Jimmy20
- Libertus
- ksexatonkwdikom
- DonaeB
- Daydreamer
- Αριάνα123
- pink_panther
- harry akritas
- Μάρκος Βασίλης
- J.Cameron
- giannhs2001
- Alexandros973
- Dr. Gl. Luminous
- hirasawayui
- Scandal
- Belle26
- Anonym0s
- Johnman97
- leo41
- Mukumbura
- Φινεύς
- Manolo165
- iminspain
- Kostis-Palamas
- manos1234567
- Kostakis45
- jims
- Bgpanos
- Steffie88
- Unseen skygge
- giorgosp97
- lnesb
- panagiotis23
- PsychoGR
-
Φορτώνει...
-
Το forum μας χρησιμοποιεί cookies για να βελτιστοποιήσει την εμπειρία σας.
Συνεχίζοντας την περιήγησή σας, συναινείτε στη χρήση cookies στον περιηγητή σας.