Guest 586541
Επισκέπτης
αυτή τη στιγμή δεν είναι συνδεδεμέν. Δεν έχει γράψει κανένα μήνυμα.
15-08-22
13:37
Το σχολικό λέει ότι τα στερεά παραλείπονται από την έκφραση (όχι απαραίτητα από τον νόμο καθαυτό) του νόμου, μιας και αντιδρούν επιφανειακά και η ταχύτητα εξαρτάται από το εμβαδόν της επιφάνειας επαφής τους και όχι από την μάζα τους (σελίδα 83). Δεν αναφέρει κατηγορηματικά πως δεν ορίζεται συγκέντρωση στερεού ή κάτι σχετικό. Και το ρήμα παραλείπονται διαφέρει από την έκφραση "δεν συμμετέχουν".Εδώ θα μπορούσα να αναφέρω επίσης την περίπτωση όπου στα αντιδρώντα έχουμε στέρεο;![]()
Το ρήμα παραλείπω σημαίνει ότι δεν αναφέρω κάτι, αν και θα μπορούσα, αυτό στο οποίο δεν κάνω αναφορά υπάρχει. Οπότε μάλλον θα μπορούσαμε να πούμε ότι στην έκφραση του νόμου περιέχονται με εκθέτη μηδέν, άρα και εκθέτη διαφορετικό του στοιχειωμετρικού συντελέστη.
Αλλά στην πιάτσα μπορεί να κυκλοφορεί κάποια διαφορετική θεώρηση και να είναι αυτή που θα ζητηθεί στην εξέταση. Δεν νομίζω δηλαδή ότι είναι τόσο λεπτολόγοι και προσεκτικοί στην επιτροπή θεμάτων.
Ωραία σκέψη, συζήτησέ το και με τον/την χημικό σου.
Guest 586541
Επισκέπτης
αυτή τη στιγμή δεν είναι συνδεδεμέν. Δεν έχει γράψει κανένα μήνυμα.
Joji
Επιφανές μέλος
Η Ιωάννα αυτή τη στιγμή δεν είναι συνδεδεμένη. Είναι 22 ετών και Φοιτήτρια του τμήματος Επιστημών της Εκπαίδευσης & Κοινωνικής Εργασίας Πατρών. Έχει γράψει 8.786 μηνύματα.
15-08-22
14:38
Guest 586541
Επισκέπτης
αυτή τη στιγμή δεν είναι συνδεδεμέν. Δεν έχει γράψει κανένα μήνυμα.
15-08-22
14:41
Ναι. Εγώ θα έγραφα και την "πρόσθεση" αργού και γρήγορου σταδίου ξεκάθαρα σε κάποιο σημείο.View attachment 106747View attachment 106748 Σας φαίνεται επαρκής η απάντηση;
Joji
Επιφανές μέλος
Η Ιωάννα αυτή τη στιγμή δεν είναι συνδεδεμένη. Είναι 22 ετών και Φοιτήτρια του τμήματος Επιστημών της Εκπαίδευσης & Κοινωνικής Εργασίας Πατρών. Έχει γράψει 8.786 μηνύματα.
15-08-22
14:43
Ευχαριστώ πολύΝαι. Εγώ θα έγραφα και την "πρόσθεση" αργού και γρήγορου σταδίου.
Μάλλον εννοείς αυτό;Guest 586541
Επισκέπτης
αυτή τη στιγμή δεν είναι συνδεδεμέν. Δεν έχει γράψει κανένα μήνυμα.
15-08-22
14:44
Ναι.
Joji
Επιφανές μέλος
Η Ιωάννα αυτή τη στιγμή δεν είναι συνδεδεμένη. Είναι 22 ετών και Φοιτήτρια του τμήματος Επιστημών της Εκπαίδευσης & Κοινωνικής Εργασίας Πατρών. Έχει γράψει 8.786 μηνύματα.
15-08-22
14:55
Ας περάσουμε σε μια μεγάλη αδυναμία που έχω. Διαγράμματα 
Εδώ έχουμε μια αντίδραση μηδενικής τάξης
Α->B
και η συγκέντρωση των Α και Β με τον χρόνο παρουσιάζεται ως εξής:
Ενώ σε μια αντίδραση πρώτης τάξεως
Γ->Δ
Το διάγραμμα συγκέντρωσης των Γ και Δ είναι καμπύλη και όχι ευθεία γραμμή.
Why is that?

Εδώ έχουμε μια αντίδραση μηδενικής τάξης
Α->B
και η συγκέντρωση των Α και Β με τον χρόνο παρουσιάζεται ως εξής:
Ενώ σε μια αντίδραση πρώτης τάξεως
Γ->Δ
Το διάγραμμα συγκέντρωσης των Γ και Δ είναι καμπύλη και όχι ευθεία γραμμή.
Why is that?
Cade
Πολύ δραστήριο μέλος
Ο Cade αυτή τη στιγμή δεν είναι συνδεδεμένος. Είναι Απόφοιτος λυκείου. Έχει γράψει 872 μηνύματα.
15-08-22
15:27
Θα προσπαθήσω να στο εξηγήσω με όσο το δυνατόν λιγότερα μαθηματικά.Ας περάσουμε σε μια μεγάλη αδυναμία που έχω. Διαγράμματα
Εδώ έχουμε μια αντίδραση μηδενικής τάξης
Α->B
και η συγκέντρωση των Α και Β με τον χρόνο παρουσιάζεται ως εξής:
View attachment 106753
Ενώ σε μια αντίδραση πρώτης τάξεως
Γ->Δ
Το διάγραμμα συγκέντρωσης των Γ και Δ είναι καμπύλη και όχι ευθεία γραμμή.
View attachment 106754
Why is that?
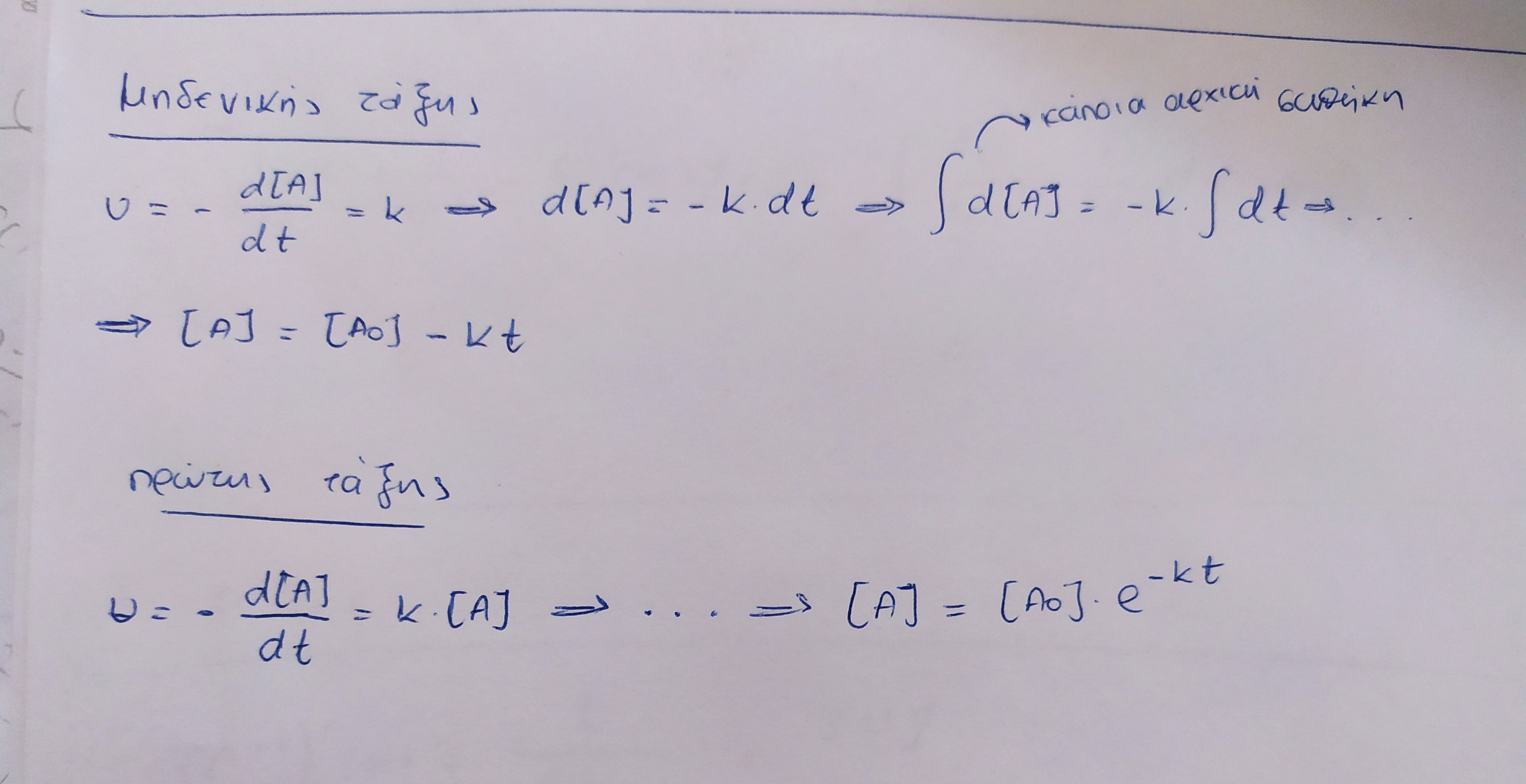
Ρυθμός κατανάλωσης Α: u= Δ[Α]/Δt (1)
Αφού είναι μηδενικής τάξης η ταχύτητα είναι σταθερή => (1) σταθερό => κλίση = εφ(γωνίας) σταθερή => ευθεία.
Πάει αυτό
Ρυθμός κατανάλωσης Γ: u= Δ[Γ]/Δt (2)
Αφού είναι πρώτης τάξης σύμφωνα με το νόμο ταχύτητας έχουμε ότι u= k[Γ], δηλαδή η ταχύτητα είναι ανάλογη με τη συγκέντρωση του Γ, επομένως η κλίση συνεχώς αλλάζει αφού αλλάζει το (2) ώσπου να καταναλωθεί πλήρως το αντιδρων.
Αν δεν κατάλαβες κάτι μου λες
Guest 586541
Επισκέπτης
αυτή τη στιγμή δεν είναι συνδεδεμέν. Δεν έχει γράψει κανένα μήνυμα.
15-08-22
15:30
Ας περάσουμε σε μια μεγάλη αδυναμία που έχω. Διαγράμματα
Εδώ έχουμε μια αντίδραση μηδενικής τάξης
Α->B
και η συγκέντρωση των Α και Β με τον χρόνο παρουσιάζεται ως εξής:
View attachment 106753
Ενώ σε μια αντίδραση πρώτης τάξεως
Γ->Δ
Το διάγραμμα συγκέντρωσης των Γ και Δ είναι καμπύλη και όχι ευθεία γραμμή.
View attachment 106754
Why is that?
Μηδενικής τάξης u=k. Το οποίο σημαίνει ότι με σταθερό ρυθμό (κλίση) αντιδρά ένα προϊόν. Ευθεία της μορφής y=ax+c.
1ης τάξης u=k[A]. Όσο μειώνεται η συγκέντρωση, τόσο μειώνεται η ταχύτητα,τόσο πιο αργά καταναλώνεται το αντιδρών (μείωση κλίσης).
2ης τάξης u=k[A]^2. Όσο μειώνεται η συγκέντρωση, τόσο μειώνεται η ταχύτητα, τοσο πιο αργά καταναλώνεται το αντιδρών (μείωση κλίσης). Πιο απότομα από ότι στην 1ης τάξης, το καταλαβαίνεις και διαισθητικά, αφού όταν υπάρχει συντελεστής 2 σε μία αντίδραση, όπου καταναλώνονταν 1 mol πριν, τώρα 2 moles (2A->B αντί για A->B).
Καταλαβαίνεις πού το πάω. Όμοια σκεφτόμαστε στις υπόλοιπες περιπτώσεις (και για τα προϊόντα).
Joji
Επιφανές μέλος
Η Ιωάννα αυτή τη στιγμή δεν είναι συνδεδεμένη. Είναι 22 ετών και Φοιτήτρια του τμήματος Επιστημών της Εκπαίδευσης & Κοινωνικής Εργασίας Πατρών. Έχει γράψει 8.786 μηνύματα.
15-08-22
15:39
Ωραία ωραία
Άρα όταν η τάξη της αντίδρασης είναι μηδενική και η ταχύτητα είναι ανεξάρτητη από τα αντιδρώντα, τότε η συγκέντρωση του Α μειώνεται σταθερά ενώ του Β αυξάνεται σταθερά. Επειδή όμως στην πρώτη τάξη, το Γ είναι ανάλογο της ταχύτητας, έχουμε την καμπύλη την οποία βλέπουμε.
Άρα όταν η τάξη της αντίδρασης είναι μηδενική και η ταχύτητα είναι ανεξάρτητη από τα αντιδρώντα, τότε η συγκέντρωση του Α μειώνεται σταθερά ενώ του Β αυξάνεται σταθερά. Επειδή όμως στην πρώτη τάξη, το Γ είναι ανάλογο της ταχύτητας, έχουμε την καμπύλη την οποία βλέπουμε. Το κρατάω αυτό.Όσο μειώνεται η συγκέντρωση, τόσο μειώνεται η ταχύτητα,τόσο πιο αργά καταναλώνεται το προϊόν.
Cade
Πολύ δραστήριο μέλος
Ο Cade αυτή τη στιγμή δεν είναι συνδεδεμένος. Είναι Απόφοιτος λυκείου. Έχει γράψει 872 μηνύματα.
15-08-22
15:50
Κοίτα, με τη χρήση διαφορικών εξισώσεων (γιατί περί αυτών πρόκειται) αυτά βγαίνουν κατευθείαν, αλλά επειδή δεν θα τα διδαχτειτε καλύτερα μην το πολυψαχνεις. Μείνε απλώς στο ότι η κλίση αλλάζει
Guest 586541
Επισκέπτης
αυτή τη στιγμή δεν είναι συνδεδεμέν. Δεν έχει γράψει κανένα μήνυμα.
15-08-22
15:56
Παίζει να χρειαστεί την απόδειξη ότι η μηδενικής τάξης είναι ευθεία. Ή να της ζητηθεί να βρει τον τύπο της ευθείας. Τα βοηθήματα την έχουν αυτήν την απόδειξη, γενικά.Κοίτα, με τη χρήση διαφορικών εξισώσεων (γιατί περί αυτών πρόκειται) αυτά βγαίνουν κατευθείαν, αλλά επειδή δεν θα τα διδαχτειτε καλύτερα μην το πολυψαχνεις. Μείνε απλώς στο ότι η κλίση αλλάζει
Συμφωνώ με τα όσα ανέφερες.
Joji
Επιφανές μέλος
Η Ιωάννα αυτή τη στιγμή δεν είναι συνδεδεμένη. Είναι 22 ετών και Φοιτήτρια του τμήματος Επιστημών της Εκπαίδευσης & Κοινωνικής Εργασίας Πατρών. Έχει γράψει 8.786 μηνύματα.
15-08-22
16:01
62 Αν τριπλασιαστεί η συγκέντρωση του Α θα τριπλασιαστεί και η ταχύτητα (?)
Η αντίδραση είναι πολύπλοκη και ο νόμος ταχύτητας είναι U=K[A] που καθορίζεται από το αργό στάδιο του μηχανισμού (έτσι το σκέφτηκα ότι τριπλασιάζεται, γιατί αν ήταν στο τετράγωνο το Α νομίζω θα γινόταν 9 φορές μεγαλύτερη; )
Ενώ η ταχύτητα δεν εξαρτάται από τα προϊόντα
Unless I’m missing something.Όσο για την 63 δεν θα είναι U=K[Fe]^2 ; Είναι απλή. Και τα στερεά παραλείπονται.
Cade
Πολύ δραστήριο μέλος
Ο Cade αυτή τη στιγμή δεν είναι συνδεδεμένος. Είναι Απόφοιτος λυκείου. Έχει γράψει 872 μηνύματα.
15-08-22
16:01
Έτσι για να οπτικοποιησει λίγο την κατάσταση δείχνω τις λύσεις των διαφορικών, όπου φαίνεται ξεκάθαρα η εξάρτηση της συγκέντρωσης από τον χρόνο αναλόγως την ταξη
Στην πρώτη περίπτωση πρόκειται για ευθεία y=ax+b (με το πλην είναι ανάποδα)
Στην δεύτερη πρόκειται για μια εκθετική εξού και το σχήμα
Στην πρώτη περίπτωση πρόκειται για ευθεία y=ax+b (με το πλην είναι ανάποδα)
Στην δεύτερη πρόκειται για μια εκθετική εξού και το σχήμα
Joji
Επιφανές μέλος
Η Ιωάννα αυτή τη στιγμή δεν είναι συνδεδεμένη. Είναι 22 ετών και Φοιτήτρια του τμήματος Επιστημών της Εκπαίδευσης & Κοινωνικής Εργασίας Πατρών. Έχει γράψει 8.786 μηνύματα.
15-08-22
16:15
Σε ευχαριστώ Cade. Αυτό το γράφει και στον Σαλτερή:Έτσι για να οπτικοποιησει λίγο την κατάσταση δείχνω τις λύσεις των διαφορικών, όπου φαίνεται ξεκάθαρα η εξάρτηση της συγκέντρωσης από τον χρόνο αναλόγως την ταξη
View attachment 106762
Στην πρώτη περίπτωση πρόκειται για ευθεία y=ax+b (με το πλην είναι ανάποδα)
Στην δεύτερη πρόκειται για μια εκθετική εξού και το σχήμα
BaSO4
Δραστήριο μέλος
Η Δρ. Βουλίδης αυτή τη στιγμή δεν είναι συνδεδεμένη. Είναι Φοιτήτρια του τμήματος Μηχανολόγων Μηχανικών ΑΠΘ. Έχει γράψει 755 μηνύματα.
15-08-22
16:20
Αυτό συμβαίνει, όταν η αντίδραση είναι μηδενικής τάξεως και η ταχύτητα είναι σταθερή (u=k).Η κλίση Δ[Α]/Δt ισούται με την σταθερά K και με την ταχύτητα; I’m low key confused.
Cade
Πολύ δραστήριο μέλος
Ο Cade αυτή τη στιγμή δεν είναι συνδεδεμένος. Είναι Απόφοιτος λυκείου. Έχει γράψει 872 μηνύματα.
15-08-22
16:20
Ουαου εγώ δεν είχα σαλτερη και το γεγονός ότι εξηγεί τέτοια πράγματα μαμαει.Σε ευχαριστώ Cade. Αυτό το γράφει και στον Σαλτερή:
View attachment 106765Αλλά το αγνόησα παντελώς. Η κλίση Δ[Α]/Δt ισούται με την σταθερά K και με την ταχύτητα; I’m low key confused. Αλλά ναι το βλέπω πως είναι ανάλογα από το [Α]=[Α]0 - kt.
Το κλασμα που γράφεις είναι ο ορισμός της ταχύτητας. Οπότε στην περίπτωση της μηδενικής τάξης είναι ίσο με τη σταθερά k ναι.
Joji
Επιφανές μέλος
Η Ιωάννα αυτή τη στιγμή δεν είναι συνδεδεμένη. Είναι 22 ετών και Φοιτήτρια του τμήματος Επιστημών της Εκπαίδευσης & Κοινωνικής Εργασίας Πατρών. Έχει γράψει 8.786 μηνύματα.
15-08-22
16:24
Ουαου εγώ δεν είχα σαλτερη και το γεγονός ότι εξηγεί τέτοια πράγματα μαμαει.
Ναι είναι φοβερός. Αλλά η αλήθεια είναι ότι μερικά πράγματα σαν αυτό π.χ. που με την πρώτη δεν τα πιάνω, τα αποφεύγω σαν τον διάολο. Σας ευχαριστώ που με βοηθήσατε να το κατανοήσω καλύτερα.Υ.Γ. Αυτό που γράφεις μετά από κάτω για την πρώτη τάξη δεν το έχει ας πούμε.
Cade
Πολύ δραστήριο μέλος
Ο Cade αυτή τη στιγμή δεν είναι συνδεδεμένος. Είναι Απόφοιτος λυκείου. Έχει γράψει 872 μηνύματα.
15-08-22
16:24
Που να δεις στο ph.Ναι είναι φοβερός. Αλλά η αλήθεια είναι ότι μερικά πράγματα σαν αυτό π.χ. που με την πρώτη δεν τα πιάνω, τα αποφεύγω σαν τον διάολο. Σας ευχαριστώ που με βοηθήσατε να το κατανοήσω καλύτερα.
Χρήστες Βρείτε παρόμοια
-
Τα παρακάτω 0 μέλη και 1 επισκέπτες διαβάζουν μαζί με εσάς αυτό το θέμα:Tα παρακάτω 328 μέλη διάβασαν αυτό το θέμα:
- Devote
- Giannismsn
- Vera
- Indecisive2
- ch2006
- jellojina
- thepigod762
- nikolina
- Panatha mono
- trifasikodiavasma
- Reader
- BatGuin
- Nala
- suaimhneas
- Than003
- Μήτσος10
- georgetherrr
- petrosmallios
- haji
- panosT436
- Corfu kitty
- Kougami
- Joji
- Hased Babis
- Qwerty 0
- soleilst
- ioanna2007
- tan07
- giorgis_1996
- Scandal
- Maynard
- bboys
- sophiaa
- sofia07
- AggelikiGr
- mvas
- fgk
- Micro
- Magdap
- Enhypen
- Lia 2006
- marikakitsou16
- Unboxholics
- MrDna
- Kate1914
- Αντωνία
- iiTzArismaltor_
- Albert.123
- bibliofagos
- mirara
- tomftw
- Magigi
- Debugging_Demon
- Bobaros32
- OChemist
- peter347
- kost28
- Startx0
- marina.marina
- kiyoshi
- nimbus
- Isa
- gzois
- MR WHITE
- TheNorth
- Γιώργος μεγ
- BiteTheDust
- zodiacrube
- carnage
- phleidhs
- Lifelong Learner
- Γιωργος15773
- tsiobieman
- Sofos Gerontas
- Marel
- xrisamikol
- bill09876
- fockos
- AnnaRd
- Ilovemycats27
- Obi-Wan Kenobi
- arko
- Marianna.diamanti
- spring day
- Neiromai
- brouss
- evaggelia anna
- Abiogenesis
- Jojo K
- Helen06
- P.Dam.
- Marcos.Kis
- eukleidhs1821
- Quincy
- arapakos
- Maria_Xagorari
- penelopenick
- BillyTheKid
- Physicsstudent
- mitskification
- Mariamar
- denjerwtithelwhelp
- Alexecon1991
- augustine
- synthnightingale
- just some guy
- gamer05
- Praxis
- Deneimaikala
- Olakalamallon
- xristosgkm
- katia.m
- user-2
- elenitren
- μια φασαια
- το κοριτσι του μαη
- Final4
- Stavros o Arkas
- Poirot
- shezza94
- koukdespoina2004
- userx
- Otinannai
- Nick_nt
- Wonderkid
- Vasso1983
- maril8na
- GeorgePap2003
- Liverpoolenjoyer
- Sherlockina
- denpap1985
- Chemwizard
- Nikoleta_Giann
- george777
- poioseinia
- T C
- Dora140303
- marioushi
- menual
- Pharmacist01
- lepipini
- PanosBat
- ioanna06
- ggl
- rempelos42
- Jamie
- desp1naa
- makara
- Specon
- Apocalypse
- walterrwhite
- Nic Papalitsas
- Ameliak
- Manuela98
- ένας τυχαίος
- SoyN
- nucomer
- J.Cameron
- constansn
- De Broglie
- ismember
- v_marm
- angies
- Steliosgkougkou
- Deadly_sorrowX
- bruh_234
- Dr. Gl. Luminous
- the purge
- giannhs2001
- Kitana
- Applepie
- Fagia ツ
- eirinipap
- oups
- Georgek7
- mpapa
- estrela
- Nefeloula
- margik
- George.S
- George_dr
- anakiriak@yahoo
- Ioanna98
- Marple
- tapeinoxamomilaki
- arisgiap
- persi
- F1L1PAS
- roud
- Corn90
- theodoraooo
- Meow
- alpha.kappa
- Lathy
- Ryuzaki
- Miranda32
- ougka pougka
- mikriarchitectonissa
- emilyfan85
- Nikoletaant
- EleniStella
- JST
- Johanna Mark
- Anonymous0
- Phys39
- Eirinakiii8
- Annou1
- Mammy Nun
- neurogirl
- alexgiann
- Medjnik
- Appolon
- jYanniss
- Superhuman
- papa2g
- QWERTY23
- SlimShady
- xakounaamatata
- dimitris20
- Devilshjoker
- GTS
- Zoigian
- leonnnn
- mara__
- igeorgeoikonomo
- panosveki
- Sense
- charmander
- Jimmis18
- Dimitris9
- Georgekk
- Nia Skg
- anixia
- vetas
- pepsoula
- Anxious
- fujiko
- Nefh_
- Alexandros973
- Alexandros36k
- chochoru
- Κορώνα
- AnAnxiousStudent
- xriiistiiinaaa
- jimnikol21
- xristina11
- StavMed
- EiriniS20
- Χαρουλιτα
-
Φορτώνει...
-
Το forum μας χρησιμοποιεί cookies για να βελτιστοποιήσει την εμπειρία σας.
Συνεχίζοντας την περιήγησή σας, συναινείτε στη χρήση cookies στον περιηγητή σας.
Αρχική Forum
Ρωτήστε κάτι
Προσωπικές Συζητήσεις
Πανελλαδικές
Αγγελίες
Συνδεδεμένοι Χρήστες
Λίστα Αποκλεισμένων
Υπεύθυνοι του Forum
e-steki
