marily
Νεοφερμένο μέλος
Σημείωση: Το μήνυμα αυτό γράφτηκε 13 χρόνια πριν. Ο συντάκτης του πιθανόν να έχει αλλάξει απόψεις έκτοτε.
Dark_kronos
Επιφανές μέλος
ποιος είναι ο 2εύτερος νομος του νεύτωνα????
https://el.wikipedia.org/wiki/Νόμοι_κίνησης_του_Νεύτωνα
Σημείωση: Το μήνυμα αυτό γράφτηκε 13 χρόνια πριν. Ο συντάκτης του πιθανόν να έχει αλλάξει απόψεις έκτοτε.
marily
Νεοφερμένο μέλος
ευχαριστω!
Σημείωση: Το μήνυμα αυτό γράφτηκε 13 χρόνια πριν. Ο συντάκτης του πιθανόν να έχει αλλάξει απόψεις έκτοτε.
Italian dream...
Διάσημο μέλος
Α) την απόσταση των δύο πόλεων
Β) Πόσο χρόνο έκανε το κάθε κινητό για να φτάσει στην πόλα Π2.
Επείγον πλζ help!!!!!!!!!!!!!!!!!!!!!!!
Σημείωση: Το μήνυμα αυτό γράφτηκε 12 χρόνια πριν. Ο συντάκτης του πιθανόν να έχει αλλάξει απόψεις έκτοτε.
rebel
Πολύ δραστήριο μέλος
Αν τώρα το κινητό Β έκανε t sec να φτάσει στην Π2, το κινητό Α έκανε t+50 οπότε
και οι χρόνοι είναι προφανώς 250 και 200 sec. Ας το ελέγξει κάποιος.
Σημείωση: Το μήνυμα αυτό γράφτηκε 12 χρόνια πριν. Ο συντάκτης του πιθανόν να έχει αλλάξει απόψεις έκτοτε.
Italian dream...
Διάσημο μέλος
Μετατροπή ταχύτητας σε km/sec:
Αν τώρα το κινητό Β έκανε t sec να φτάσει στην Π2, το κινητό Α έκανε t+50 οπότε
άρα εξισώνουμε και έχουμε
και από την δεύτερη εξίσωση:
και οι χρόνοι είναι προφανώς 250 και 200 sec. Ας το ελέγξει κάποιος.
Ευχαριστώ

Σημείωση: Το μήνυμα αυτό γράφτηκε 12 χρόνια πριν. Ο συντάκτης του πιθανόν να έχει αλλάξει απόψεις έκτοτε.
ncgnick
Νεοφερμένο μέλος
Γεια σας παιδιά είμαι νέος στην παρέα σας. Λέγομαι Γιώργος και πηγαίνω Β' Γυμνασίου.
Από την Κυριακή που έγινα μέλος ομολογώ να πω ότι το συγκεκριμένο σιτε είναι κορυφή.!
Στο θέμα μας τώρα...
Θα ήθελανα μου εξηγήσει κάποιος πως γίνονται οι μετατροπές μονάδων στην Φυσική . (ψιλομπερδεύομαι λίγο)
π.χ πως θα μετατρέψουμε τα 600cm3 σε m3 ;..
αν μπορείτε να μου πείτε και τα άλλα πως γίνονται..
Ευχαριστώ..
(σόρρυ αν έκανα το ποστ σε λάθος κατηγορία αλλά είμαι νέος και δεν ξέρω και πολλά)
[FONT="]Έφτιαξα το επισυναπτόμενο αρχείο. Ελπίζω να το βρείτε χρήσιμο[/FONT]
Σημείωση: Το μήνυμα αυτό γράφτηκε 12 χρόνια πριν. Ο συντάκτης του πιθανόν να έχει αλλάξει απόψεις έκτοτε.
Συνημμένα
Happily.Motionless
Εκκολαπτόμενο μέλος
Σημείωση συντονιστή : Τα μηνύματα 28-30 προήλθαν από νήμα με παρόμοιο θέμα με το παρόν.
Σημείωση: Το μήνυμα αυτό γράφτηκε 12 χρόνια πριν. Ο συντάκτης του πιθανόν να έχει αλλάξει απόψεις έκτοτε.
HeRpesG3nitalis
Νεοφερμένο μέλος
Σημείωση: Το μήνυμα αυτό γράφτηκε 12 χρόνια πριν. Ο συντάκτης του πιθανόν να έχει αλλάξει απόψεις έκτοτε.
Italian dream...
Διάσημο μέλος
εχουμε νερο σε ενα ποτηρι η πυκνοτητα ειναι ρ=1g/κυβικο cm , αδειάζουμε το μισό νερό θα μείνει ίδια η πυκνότητα?
H πυκνότητα θα μείνει ιδια γιατί εξαρτάται από το υλικό και οχι από την ποσοτητα. Αν το νερό εχει πυκνότητα 1 g/cm3, τοτε θα εχει 1 g/cm3 είτε αν εχεις ενα ποτηρι είτε αν εχεις μία πισίνα

Αν και νομιζω ότι γραφεις σε λαθος θρεντ



Σημείωση: Το μήνυμα αυτό γράφτηκε 12 χρόνια πριν. Ο συντάκτης του πιθανόν να έχει αλλάξει απόψεις έκτοτε.
xrisamikol
Νεοφερμένο μέλος
Στον παρακάτω πίνακα καταγράφονται οι τιμές της θέσης και του χρόνου για ένα κινητό που εκτελεί ευθύγραμμη ομαλή κίνηση. Να συμπληρώσετε τα κενά.
| Χρόνος (s) | 1 | 3 | 4 | 5,5 | 7 | 25 |
| Θέση (m) | 4 | 12 | 16 | 22 | 28 | 100 |
Cade
Πολύ δραστήριο μέλος
Σωστή είναι, αλλά τι εννοείς λέγοντας πως δεν υπάρχει τρόπος να την ελέγξεις; Εγώ πως την έλεγξα;Μπορεί κάποιος να ελέγξει αν η άσκηση μου είναι σωστή; Δεν υπάρχει τρόπος να την ελέγξω και απευθύνομαι εδώ.
Στον παρακάτω πίνακα καταγράφονται οι τιμές της θέσης και του χρόνου για ένα κινητό που εκτελεί ευθύγραμμη ομαλή κίνηση. Να συμπληρώσετε τα κενά.
Χρόνος (s) 1 3 4 5,5 7 25Θέση (m) 4 12 16 22 28 100

Εκτελεί εοκ=> σταθερή ταχύτητα = Δx/Δt = 4
xrisamikol
Νεοφερμένο μέλος
Την άσκηση την έκανα για εξάσκηση. Γράφω διαγώνισμα την επόμενη εβδομάδα. Αλλά δεν ήταν από βοήθημα για να δω τις απαντήσεις και να καταλάβω αν είναι σωστή.τι εννοείς λέγοντας πως δεν υπάρχει τρόπος να την ελέγξεις; Εγώ πως την έλεγξα;![]()
Αυτό εννοούσα!

Θέλω να επιβεβαιώσω και κάτι ακόμη. Έκανα μια άσκηση σωστού λάθους αλλά μου φάνηκε υπερβολικά εύκολη που νομίζω ότι έχει παγίδες. (είναι από ασκήσεις που βρήκα στο ίντερνετ και τις κάνω για εξάσκηση)
xrisamikol
Νεοφερμένο μέλος
Τα 180km/5h = 36 km/h
κ η μετατροπή σε μέτρα είναι 180000m/ 18000s = 10 m/s;
Ισχύει όλο αυτό;
Guest 325584
Επισκέπτης
καλημερίζω.
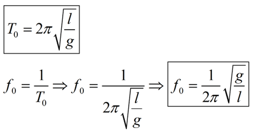
στην αιτιολόγηση του ερωτήματος α, πως προκύπτει ότι η ιδιοπερίοδος του ταλαντωτή είναι πάντα μικρότερη απ'την περίοδο της ελεύθερης φθίνουσας ταλάντωσης?
(edit. μολις ειδα την ετικετα της β γυμνασιου. σορρυ. ο,τι ναναι.)
ιωαννηs
Επιφανές μέλος
εισαι οκ?View attachment 136510View attachment 136511
καλημερίζω.
στην αιτιολόγηση του ερωτήματος α, πως προκύπτει ότι η ιδιοπερίοδος του ταλαντωτή είναι πάντα μικρότερη απ'την περίοδο της ελεύθερης φθίνουσας ταλάντωσης?
(edit. μολις ειδα την ετικετα της β γυμνασιου. σορρυ. ο,τι ναναι.)
Guest 325584
Επισκέπτης
ως προς τι? το υστερογραφο αφορα την ετικετα του θρεντ, επειδη ειναι για αποριες β γυμνασιου lolεισαι οκ?
η ερωτηση ακομα ισχυει
ιωαννηs
Επιφανές μέλος
Α οκ ..ως προς τι? το υστερογραφο αφορα την ετικετα του θρεντ, επειδη ειναι για αποριες β γυμνασιου lol
Κοιτα στην φυσικη κανουμε αρκετες μαλακιες ..διωχνουμε οτι μας ειναι δυσκολο και ενοχλητικο.
Οταν λοιπον εχουμε ενα μαθηματικο κρεμες με το σκοινι κρεμασμενο απο το ταβανι αγνοουμε τριβη επαφης σκοινιου και αντισταση αερα και καταληγουμε οτι η συχνοτητα ταλαντωσης ειναι αυτη
Ερχομαστε τωρα στον πραγματικο κοσμο.. οπου εχουμε και τριβη και αντισταση αερα οποτε θα εχουμε φθινουσα ταλαντωση..οποτε ειναι αδυνατο η μαζα να τρεξει μια ταλαντωση σε γρηγορο χρονο (Το) με κοντρα αερα.. θα την τρεξει πιο λιγο αργα ... δηλαδη σε χρονο Τ ... δηλαδη Τ >Το
Και επειδη το Τ ειναι στο παρονομαστη και πιο μεγαλο.... το f θα ειναι μικροτερο του fo ( f<fo)
Συνημμένα
Guest 325584
Επισκέπτης
αααα καλα ευχαριστω. εγω ζω ακομα σενα κοσμο μαγικο οπου την αποσβεση την γραφουμε εκει που δεν λαμπει ο ηλιος.Α οκ ..
Κοιτα στην φυσικη κανουμε αρκετες μαλακιες ..διωχνουμε οτι μας ειναι δυσκολο και ενοχλητικο.
Οταν λοιπον εχουμε ενα μαθηματικο κρεμες με το σκοινι κρεμασμενο απο το ταβανι αγνοουμε τριβη επαφης σκοινιου και αντισταση αερα και καταληγουμε οτι η συχνοτητα ταλαντωσης ειναι αυτη
Και ετσι υπολογιζουμε μια συχνοτητα αιωνιας ταλαντωσης που την λεμε ιδιοσυxνοτητα του συστηματος fo.
Ερχομαστε τωρα στον πραγματικο κοσμο.. οπου εχουμε και τριβη και αντισταση αερα οποτε θα εχουμε φθινουσα ταλαντωση..οποτε ειναι αδυνατο η μαζα να τρεξει μια ταλαντωση σε γρηγορο χρονο (Το) με κοντρα αερα.. θα την τρεξει πιο λιγο αργα ... δηλαδη σε χρονο Τ ... δηλαδη Τ >Το
Και επειδη το Τ ειναι στο παρονομαστη και πιο μεγαλο.... το f θα ειναι μικροτερο του fo ( f<fo)
θενκ γιου για τη βοηθεια.
επισης ακυρο αλλα μου θυμισες αυτο το αρθρο
https://en.m.wikipedia.org/wiki/Spherical_cow
ιωαννηs
Επιφανές μέλος
Λατρευουμε αγελαδιτσες.αααα καλα ευχαριστω. εγω ζω ακομα σενα κοσμο μαγικο οπου την αποσβεση την γραφουμε εκει που δεν λαμπει ο ηλιος.
θενκ γιου για τη βοηθεια.
επισης ακυρο αλλα μου θυμισες αυτο το αρθρο
https://en.m.wikipedia.org/wiki/Spherical_cow
Χρήστες Βρείτε παρόμοια
-
Τα παρακάτω 0 μέλη και 1 επισκέπτες διαβάζουν μαζί με εσάς αυτό το θέμα:Tα παρακάτω 61 μέλη διάβασαν αυτό το θέμα:
- dimitris4365
- pasxalitsaki
- BillyTheKid
- Morningstar
- FNC_Sophia
- DetectiveAgg
- suaimhneas
- panosT436
- jellojina
- eltqt
- Albert.123
- bbb
- marikakitsou16
- Marianna.diamanti
- iiTzArismaltor_
- chjan
- BatGuin
- Lia 2006
- thepigod762
- Mitsaras23
- Corfu kitty
- Joji
- Μήτσος10
- Hased Babis
- Kate1914
- MrDna
- Only physics
- Vasiaa
- spring day
- carnage
- PanosBat
- ismember
- menual
- xrisamikol
- το κοριτσι του μαη
- katia.m
- Sofos Gerontas
- Gewrgia!
-
Φορτώνει...
-
Το forum μας χρησιμοποιεί cookies για να βελτιστοποιήσει την εμπειρία σας.
Συνεχίζοντας την περιήγησή σας, συναινείτε στη χρήση cookies στον περιηγητή σας.
Αρχική Forum
Ρωτήστε κάτι
Προσωπικές Συζητήσεις
Πανελλαδικές
Αγγελίες
Συνδεδεμένοι Χρήστες
Λίστα Αποκλεισμένων
Υπεύθυνοι του Forum
e-steki
