Joji
Επιφανές μέλος
Η Ιωάννα αυτή τη στιγμή δεν είναι συνδεδεμένη. Είναι 22 ετών και Φοιτήτρια του τμήματος Επιστημών της Εκπαίδευσης & Κοινωνικής Εργασίας Πατρών. Έχει γράψει 8.786 μηνύματα.
18-06-22
17:59
Τι εννοούμε με μέγιστη κινητική ενέργεια και πως μπορώ να το επιλύσω αυτό το ερώτημα; Μας είπε πως είναι ζόρικο.
Pak
Επιφανές μέλος
Η Πακοτίνι αυτή τη στιγμή δεν είναι συνδεδεμένη. Είναι 24 ετών και Φοιτήτρια του τμήματος Κτηνιατρικής ΑΠΘ. Έχει γράψει 12.165 μηνύματα.
18-06-22
18:03
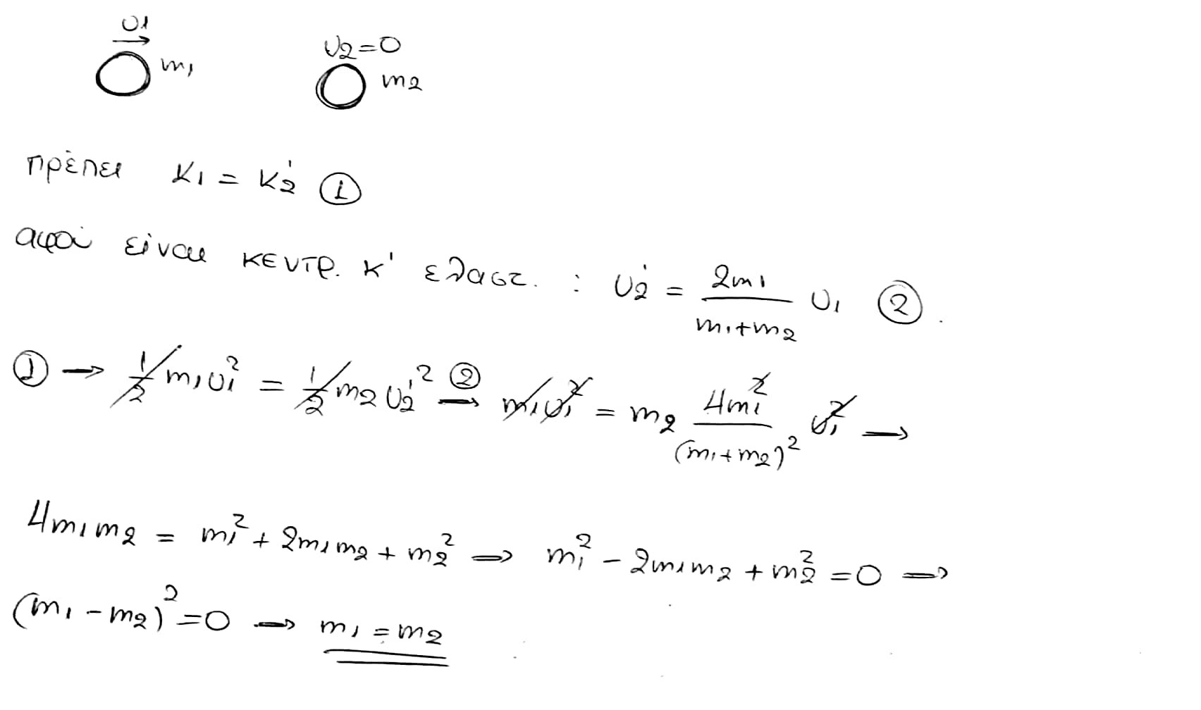
Μέγιστη κινητική ενέργεια θα έχει αν πάρει όλη την αρχική κινητική ενέργεια του m1. Αρα η U1' θα είναι μηδέν και η U2'=U1.View attachment 103945
Τι εννοούμε με μέγιστη κινητική ενέργεια και πως μπορώ να το επιλύσω αυτό το ερώτημα; Μας είπε πως είναι ζόρικο.
Υ. Γ Πάρε τον τύπο της U2' και θα βγάλεις σχέση μεταξύ των μαζών (και με τον τύπο της U1' βγαίνει).
Joji
Επιφανές μέλος
Η Ιωάννα αυτή τη στιγμή δεν είναι συνδεδεμένη. Είναι 22 ετών και Φοιτήτρια του τμήματος Επιστημών της Εκπαίδευσης & Κοινωνικής Εργασίας Πατρών. Έχει γράψει 8.786 μηνύματα.
18-06-22
18:07
Σε ευχαριστώ πάρα πάρα πολύ. Το καταλαβαίνω πολύ καλύτερα τώρα. Μας την είχε λύσει στον πίνακα με έναν άλλο τρόπο και κανείς δεν την κατάλαβε και μας είπε να τον ξανά δούμε και να προσπαθήσουμε να το λύσουμε μόνοι μας σπίτι ξανά και ξανά και ειλικρινά έχει κολλήσει το μυαλό μου. Όταν την καθαρογράψω θα την βάλω εδώ, μας είπε πως εκείνη είναι η απόδειξη, αλλά φοβάμαι πως δεν θα μου μείνει γιατί δεν ξέρω τον τρόπο σκέψης πίσω από αυτή.Μέγιστη κινητική ενέργεια θα έχει αν πάρει όλη την αρχική κινητική ενέργεια του m1. Αρα η U1' θα είναι μηδέν και η U2'=U1.
Υ. Γ Πάρε έναν από τους δύο τύπους δλδ ειτε της U1' είτε της U2' και θα βγάλεις σχέση.
Cade
Πολύ δραστήριο μέλος
Ο Cade αυτή τη στιγμή δεν είναι συνδεδεμένος. Είναι Απόφοιτος λυκείου. Έχει γράψει 872 μηνύματα.
18-06-22
18:33
Αυτό που είπε η @Pak απλώς σου γράφω τη λύση κιόλας να την έχεις.View attachment 103945
Τι εννοούμε με μέγιστη κινητική ενέργεια και πως μπορώ να το επιλύσω αυτό το ερώτημα; Μας είπε πως είναι ζόρικο.
Joji
Επιφανές μέλος
Η Ιωάννα αυτή τη στιγμή δεν είναι συνδεδεμένη. Είναι 22 ετών και Φοιτήτρια του τμήματος Επιστημών της Εκπαίδευσης & Κοινωνικής Εργασίας Πατρών. Έχει γράψει 8.786 μηνύματα.
18-06-22
18:36
Α μπράβο! Έτσι μας το είχε κάνει στον πίνακα αλλά και με προηγούμενα steps που με μπέρδεψαν όλα μαζί…
Joji
Επιφανές μέλος
Η Ιωάννα αυτή τη στιγμή δεν είναι συνδεδεμένη. Είναι 22 ετών και Φοιτήτρια του τμήματος Επιστημών της Εκπαίδευσης & Κοινωνικής Εργασίας Πατρών. Έχει γράψει 8.786 μηνύματα.
21-06-22
14:55
Λοιπόν, ερώτηση. Στο β, λέει πως σε μια ελαστική κρούση δυο σφαιρών η Εμηχ παραμένει σταθερή. Αυτό ισχύει, αν σκεφτεί κανείς πως Εμηχ=K+U όπου το U φεύγει, καθώς δεν υφίσταται στις κρούσεις. Στην ουσία όταν μιλάμε για Μηχανική ενέργεια, εννοούμε Κινητική στην περίπτωση αυτή. Η οποία όντως μένει σταθερή στις ελαστικές. Άρα θα ήταν σωστό να πω ότι ο ισχυρισμός ισχύει; Ή επειδή αναφέρει την μηχανική ως σύνολο και δεν λέει συγκεκριμένα κινητική, να το πάρω ως λάθος;
Samael
Τιμώμενο Μέλος
Ο Samael αυτή τη στιγμή δεν είναι συνδεδεμένος. Είναι 26 ετών, Πτυχιούχος του τμήματος Ηλεκτρολόγων & Ηλεκτρονικών Μηχανικών ΠΑΔΑ και μας γράφει από Πειραιάς (Αττική). Έχει γράψει 12.129 μηνύματα.
21-06-22
15:17
Λοιπόν διακρίνω μια μικρή σύγχυση ως προς την έννοια παραμένει σταθερή.View attachment 104061
Λοιπόν, ερώτηση. Στο β, λέει πως σε μια ελαστική κρούση δυο σφαιρών η Εμηχ παραμένει σταθερή. Αυτό ισχύει, αν σκεφτεί κανείς πως Εμηχ=K+U όπου το U φεύγει, καθώς δεν υφίσταται στις κρούσεις. Στην ουσία όταν μιλάμε για Μηχανική ενέργεια, εννοούμε Κινητική στην περίπτωση αυτή. Η οποία όντως μένει σταθερή στις ελαστικές. Άρα θα ήταν σωστό να πω ότι ο ισχυρισμός ισχύει; Ή επειδή αναφέρει την μηχανική ως σύνολο και δεν λέει συγκεκριμένα κινητική, να το πάρω ως λάθος;
Το οτι έχουμε κρούσεις δεν διώχνει το U, δεν το καθιστά ίσο με το 0 δηλαδή απαραίτητα. Το σύστημα "δικαιούται" να έχει κανονικά κάποια δυναμική ενέργεια διάφορη του μηδενός πριν απο μια κρούση. Θεωρούμε οτι η κρούση διαρκεί πολύ λίγο χρονικό διάστημα και επομένως οι θέσεις των σωμάτων του συστήματος δεν μεταβάλλονται σημαντικά κατά την διάκρεια μιας κρούσης.
Επομένως θα ισχύει :
Uαρχ = Uτελ =>
Uτελ - Uαρχ = 0 =>
ΔU = 0
Συνεπώς για την αρχική και την τελική μηχανική ενέργεια του συστήματος θα ισχύει :
Eαρχ(μηχανική) = Καρχ + Uαρχ
Ετελ(μηχανική) = Kτελ + Uτελ
Ετελ - Εαρχ = ΔE(μηχανική) = Κτελ + Uτελ - Καρχ - Uαρχ = ΔΚ + ΔU = ΔK
Εαν η κρούση τώρα είναι και ελαστική(ειδική περίπτωση),οπότε δεν έχουμε μεταβολή της κινητικής ενέργειας του συστήματος τότε :
ΔΕ(μηχανική) = ΔΚ = 0
Επομένως ναι ο ισχυρισμός είναι σωστός, η μεταβολή της μηχανικής ενέργειας σε μια οποιαδήποτε κρούση είναι ίση με την μεταβολή της κινητικής ενέργειας του συστήματος που για ελαστικές κρούσεις είναι 0. Εφόσον λοιπόν δεν μεταβάλλεται η μηχανική ενέργεια, αυτή πρέπει να παραμένει σταθερή.
Και προσοχή όταν λέμε για κινητική ενέργεια συστήματος, εννοούμε το άθροισμα των κινητικών ενεργειών όλων των σωματιδίων που αποτελούν το σύστημα :
Σ[(1/2)miui²] = Σ(pi²/2mi) = pi²/2mi (εννοείται η άθροιση απο i = 1 εως Ν)
Όπου pi και mi η ορμή και η μάζα του σωματιδίου i,τις οποίες αθροίζουμε για i απο 1 εως Ν , όπου Ν ο συνολικός αριθμός των σωμάτων που αποτελούν το σύστημα.
Joji
Επιφανές μέλος
Η Ιωάννα αυτή τη στιγμή δεν είναι συνδεδεμένη. Είναι 22 ετών και Φοιτήτρια του τμήματος Επιστημών της Εκπαίδευσης & Κοινωνικής Εργασίας Πατρών. Έχει γράψει 8.786 μηνύματα.
21-06-22
15:52
Ευχαριστώ πολύ, Sam, για άλλη μια φορά που με βοηθάς τόσο. Έχω άλλη μια ερωτησούλα, που θα εκτιμούσα μια διευκρίνιση. Αν έχουμε ένα σώμα το οποίο κινείται οριζόντια με ταχύτητα u και συγ κρουστεί ελαστικά με κατακόρυφο τοίχο, θα μεταβληθεί η ορμή του; Επειδή γενικά, ξέρω ότι η ταχύτητα διατηρεί το μέτρο της, αλλάζει κατεύθυνση και ο τοίχος παραμένει ακλόνητος με μέτρο 0, πως θα επηρεαστεί η ορμή; Γιατί υποθέτω πως τώρα μιλάμε για ένα σώμα και όχι σύστημα. Θα παραμείνει ίδια; Δηλαδή mu;
Samael
Τιμώμενο Μέλος
Ο Samael αυτή τη στιγμή δεν είναι συνδεδεμένος. Είναι 26 ετών, Πτυχιούχος του τμήματος Ηλεκτρολόγων & Ηλεκτρονικών Μηχανικών ΠΑΔΑ και μας γράφει από Πειραιάς (Αττική). Έχει γράψει 12.129 μηνύματα.
21-06-22
17:51
Κανένα πρόβλημαΕυχαριστώ πολύ, Sam, για άλλη μια φορά που με βοηθάς τόσο. Έχω άλλη μια ερωτησούλα, που θα εκτιμούσα μια διευκρίνιση. Αν έχουμε ένα σώμα το οποίο κινείται οριζόντια με ταχύτητα u και συγ κρουστεί ελαστικά με κατακόρυφο τοίχο, θα μεταβληθεί η ορμή του; Επειδή γενικά, ξέρω ότι η ταχύτητα διατηρεί το μέτρο της, αλλάζει κατεύθυνση και ο τοίχος παραμένει ακλόνητος με μέτρο 0, πως θα επηρεαστεί η ορμή; Γιατί υποθέτω πως τώρα μιλάμε για ένα σώμα και όχι σύστημα. Θα παραμείνει ίδια; Δηλαδή mu;
.Το μέτρο της ορμής δεν θα μεταβληθεί.
Δηλαδή εαν ήταν |pαρχ| = m1u1, τότε θα είναι |pτελ| = m1u1.
Η ορμή όμως είναι διάνυσμα και έχει την ίδια κατεύθυνση με το διάνυσμα της ταχύτητας. Τα παραπάνω εξηγούνται αναλυτικά κάτω. Εν τω μεταξύ όπου βλέπεις κόκκινα έντονα γράμματα πρόκειται για διάνυσμα, όπου βλέπεις μαύρα απλά γράματα πρόκειται για καθαρό νούμερο. Στα γκρι μεγέθη/γράμματα μην δίνεις σημασία, είναι το ίδιο με τα μαύρα, δηλαδή αριθμοί.
Αρχικά ήταν :
pαρχ = m1u1
Στην συνέχεια :
pτελ = m2u2= -m1u1
Όπου u1 και u2 η ταχύτητα που έχει το σώμα πριν και μετά την κρούση αντίστοιχα.
Mετά την κρούση το σώμα κινείται με ίδια κατά μέτρο ταχύτητα με πριν, ΑΛΛΑ προς τα αριστερά πλέον(αντίθετη κατεύθυνση). Aυτά τα δυο τα διατυπώνουμε ισοδύναμα μέσω της διανυσματικής σχέσης :
u2 = -u1
Δηλαδή u2 = -u1 , σημαίνει δύο πράγματα :
Πρώτον :
Ότι η ταχύτητα μετά την κρούση κατά μέτρο, δηλαδή η ποσότητα : |u2| είναι ίση με την ταχύτητα του σώματος πριν την κρούση κατά μέτρο, δηλαδή ίση με την ποσότητα |u1|.
Δεύτερον :
Το πρόσημο πλην δείχνει επιπλέον πως το διάνυσμα u2 έχει αντίθετη κατεύθυνση απο αυτό της u1.
Οπότε η ορμή μεταβλήθηκε κατά :
ΔP = Pτελ - Pαρχ = m1u2 - m1u1 = -m1u1 - m1u1 = -2m1u1 = -2P1 ( Διάνυσμα, έχει πληροφορία και για το μέτρο αλλά και την κατεύθυνση του μεγέθους)
Το μέτρο της μεταβολής της ορμής είναι όμως :
|ΔP| =
=|Pτελ - Pαρχ|
= |-2m1u1|
= 2m1u1 = 2P1 ( θετικός Αριθμός, μόνο μέτρο, όχι κατεύθυνση ).
Ενώ η μεταβολή του μέτρου της ορμής είναι :
Δ|P|=|Pτελ| - |Pαρχ|
= |m1u2| - |m1u1|
= |-m1u1| - |m1u1|
= |-m1u1| - |m1u1|
= |m1u1|-|m1u1|
= 0 ( θετικός Αριθμός, μόνο μέτρο, όχι κατεύθυνση)
Άρα πρόσεξε καλά τι λέει η κάθε εκφώνηση γιατί κάτι τέτοια τα εξετάζουν.
Άλλο η μεταβολή ενός διανυσματικού μεγέθους, άλλο το μέτρο της μεταβολής ενός διανυσματικού μεγέθους και άλλο η μεταβολή του μέτρου ενός διανυσματικού μεγέθους.
Η μεταβολή ενός διανυσματικού μεγέθους είναι διάνυσμα. Υπάρχει πληροφορία και προς το ποια κατεύθυνση μεταβλήθηκε το φυσικό μέγεθος και κατά πόσο μεταβλήθηκε το μέτρο του(αριθμητικά δηλαδή).
Το μέτρο της μεταβολής ενός διανυσματικού μεγέθους είναι καθαρός θετικός αριθμός, σου δίνει δηλαδή μόνο το αριθμητικό μέγεθος της μεταβολής του φυσικού μεγέθους, αγνοώντας την κατεύθυνση που αυτό συνέβη.
Η μεταβολή του μέτρου ενός διανυσματικού μεγέθους είναι επίσης καθαρός θετικός αριθμός. Σου δίνει δηλαδή πληροφορία μόνο για την μεταβολή της αριθμητικής τιμής του φυσικού μεγέθους.
Φρόντισε να καταλάβεις τις διαφορές μεταξύ των τριών αυτών πραγμάτων πάρα πολύ καλά.
Joji
Επιφανές μέλος
Η Ιωάννα αυτή τη στιγμή δεν είναι συνδεδεμένη. Είναι 22 ετών και Φοιτήτρια του τμήματος Επιστημών της Εκπαίδευσης & Κοινωνικής Εργασίας Πατρών. Έχει γράψει 8.786 μηνύματα.
21-06-22
21:56
Χριστέ μου… Δεν υπάρχεις. Σε ευχαριστώ σε ευχαριστώ σε ευχαριστώΚανένα πρόβλημα.
Το μέτρο της ορμής δεν θα μεταβληθεί.
Δηλαδή εαν ήταν |pαρχ| = m1u1, τότε θα είναι |pτελ| = m1u1.
Η ορμή όμως είναι διάνυσμα και έχει την ίδια κατεύθυνση με το διάνυσμα της ταχύτητας. Τα παραπάνω εξηγούνται αναλυτικά κάτω. Εν τω μεταξύ όπου βλέπεις κόκκινα έντονα γράμματα πρόκειται για διάνυσμα, όπου βλέπεις μαύρα απλά γράματα πρόκειται για καθαρό νούμερο. Στα γκρι μεγέθη/γράμματα μην δίνεις σημασία, είναι το ίδιο με τα μαύρα, δηλαδή αριθμοί.
Αρχικά ήταν :
pαρχ = m1u1
Στην συνέχεια :
pτελ = m2u2= -m1u1
Όπου u1 και u2 η ταχύτητα που έχει το σώμα πριν και μετά την κρούση αντίστοιχα.
Mετά την κρούση το σώμα κινείται με ίδια κατά μέτρο ταχύτητα με πριν, ΑΛΛΑ προς τα αριστερά πλέον(αντίθετη κατεύθυνση). Aυτά τα δυο τα διατυπώνουμε ισοδύναμα μέσω της διανυσματικής σχέσης :
u2 = -u1
Δηλαδή u2 = -u1 , σημαίνει δύο πράγματα :
Πρώτον :
Ότι η ταχύτητα μετά την κρούση κατά μέτρο, δηλαδή η ποσότητα : |u2| είναι ίση με την ταχύτητα του σώματος πριν την κρούση κατά μέτρο, δηλαδή ίση με την ποσότητα |u1|.
Δεύτερον :
Το πρόσημο πλην δείχνει επιπλέον πως το διάνυσμα u2 έχει αντίθετη κατεύθυνση απο αυτό της u1.
Οπότε η ορμή μεταβλήθηκε κατά :
ΔP = Pτελ - Pαρχ = m1u2 - m1u1 = -m1u1 - m1u1 = -2m1u1 = -2P1 ( Διάνυσμα, έχει πληροφορία και για το μέτρο αλλά και την κατεύθυνση του μεγέθους)
Το μέτρο της μεταβολής της ορμής είναι όμως :
|ΔP| =
=|Pτελ - Pαρχ|
= |-2m1u1|
= 2m1u1 = 2P1 ( θετικός Αριθμός, μόνο μέτρο, όχι κατεύθυνση ).
Ενώ η μεταβολή του μέτρου της ορμής είναι :
Δ|P|=|Pτελ| - |Pαρχ|
= |m1u2| - |m1u1|
= |-m1u1| - |m1u1|
= |-m1u1| - |m1u1|
= |m1u1|-|m1u1|
= 0 ( θετικός Αριθμός, μόνο μέτρο, όχι κατεύθυνση)
Άρα πρόσεξε καλά τι λέει η κάθε εκφώνηση γιατί κάτι τέτοια τα εξετάζουν.
Άλλο η μεταβολή ενός διανυσματικού μεγέθους, άλλο το μέτρο της μεταβολής ενός διανυσματικού μεγέθους και άλλο η μεταβολή του μέτρου ενός διανυσματικού μεγέθους.
Η μεταβολή ενός διανυσματικού μεγέθους είναι διάνυσμα. Υπάρχει πληροφορία και προς το ποια κατεύθυνση μεταβλήθηκε το φυσικό μέγεθος και κατά πόσο μεταβλήθηκε το μέτρο του(αριθμητικά δηλαδή).
Το μέτρο της μεταβολής ενός διανυσματικού μεγέθους είναι καθαρός θετικός αριθμός, σου δίνει δηλαδή μόνο το αριθμητικό μέγεθος της μεταβολής του φυσικού μεγέθους, αγνοώντας την κατεύθυνση που αυτό συνέβη.
Η μεταβολή του μέτρου ενός διανυσματικού μεγέθους είναι επίσης καθαρός θετικός αριθμός. Σου δίνει δηλαδή πληροφορία μόνο για την μεταβολή της αριθμητικής τιμής του φυσικού μεγέθους.
Φρόντισε να καταλάβεις τις διαφορές μεταξύ των τριών αυτών πραγμάτων πάρα πολύ καλά.
Την χρειαζόμουν αυτή την ανάλυση, το πως μπορούν να σε ρωτήσουν είναι tricky.
BaSO4
Δραστήριο μέλος
Η Δρ. Βουλίδης αυτή τη στιγμή δεν είναι συνδεδεμένη. Είναι Φοιτήτρια του τμήματος Μηχανολόγων Μηχανικών ΑΠΘ. Έχει γράψει 754 μηνύματα.
21-06-22
23:15
Εν τω μεταξύ, αυτό έπεσε φέτος σε Σ-Λ…Το μέτρο της μεταβολής της ορμής είναι όμως :
|ΔP| =
=|Pτελ - Pαρχ|
= |-2m1u1|
= 2m1u1 = 2P1 ( θετικός Αριθμός, μόνο μέτρο, όχι κατεύθυνση ).
Ενώ η μεταβολή του μέτρου της ορμής είναι :
Δ|P|=|Pτελ| - |Pαρχ|
= |m1u2| - |m1u1|
= |-m1u1| - |m1u1|
= |-m1u1| - |m1u1|
= |m1u1|-|m1u1|
= 0 ( θετικός Αριθμός, μόνο μέτρο, όχι κατεύθυνση)
Άρα πρόσεξε καλά τι λέει η κάθε εκφώνηση γιατί κάτι τέτοια τα εξετάζουν.
Άλλο η μεταβολή ενός διανυσματικού μεγέθους, άλλο το μέτρο της μεταβολής ενός διανυσματικού μεγέθους και άλλο η μεταβολή του μέτρου ενός διανυσματικού μεγέθους.
Samael
Τιμώμενο Μέλος
Ο Samael αυτή τη στιγμή δεν είναι συνδεδεμένος. Είναι 26 ετών, Πτυχιούχος του τμήματος Ηλεκτρολόγων & Ηλεκτρονικών Μηχανικών ΠΑΔΑ και μας γράφει από Πειραιάς (Αττική). Έχει γράψει 12.129 μηνύματα.
21-06-22
23:27
Ναι κάτι είδα,και ορισμένοι φυσικοί το βρήκαν κάπως ανούσιο ερώτημα.Εν τω μεταξύ αυτό έπεσε φέτος σε Σ-Λ…
Εγώ δεν θα πω οτι είναι ανούσιο γενικά, αλλά ενδεχομένως κάπως άστοχο για την εξέταση, δεδομένου οτι, έτσι εικάζω δηλαδή, τα τρία διαφορετικά αυτά πράγματα σπάνια τονίζεται οτι υπάρχουν και οτι είναι διαφορετικά μεταξύ τους.
Και δεν φταίνε οι καθηγητές τόσο για αυτό. Όταν αντιμετωπίζεις κυρίως σαν μονόμετρα, μεγέθη τα οποία εκ φύσεως είναι διανυσματικά, εν τέλει γίνονται παρερμηνείες εκ μέρους των μαθητών.
Joji
Επιφανές μέλος
Η Ιωάννα αυτή τη στιγμή δεν είναι συνδεδεμένη. Είναι 22 ετών και Φοιτήτρια του τμήματος Επιστημών της Εκπαίδευσης & Κοινωνικής Εργασίας Πατρών. Έχει γράψει 8.786 μηνύματα.
23-06-22
17:59
5.43
Εδώ θα αφήσω τα κόκκαλά μου να ξέρετε. Πήρα ΑΔΟ αλλά μέχρι εκεί. Και έλυσα ως προς u του βλήματος. Δεν ξέρω πως μπορώ να την συνεχίσω. Ψάχνω το V μετά του συσσωμ…συσσω…συ… συσσωματώματος! Ξέρω πως να βρω την Εμηχ που χάθηκε απλώς… πως να αξιοποιήσω τα δεδομένα που μου δίνονται δεν ξέρω.
Εδώ θα αφήσω τα κόκκαλά μου να ξέρετε. Πήρα ΑΔΟ αλλά μέχρι εκεί. Και έλυσα ως προς u του βλήματος. Δεν ξέρω πως μπορώ να την συνεχίσω. Ψάχνω το V μετά του συσσωμ…συσσω…συ… συσσωματώματος! Ξέρω πως να βρω την Εμηχ που χάθηκε απλώς… πως να αξιοποιήσω τα δεδομένα που μου δίνονται δεν ξέρω.
Cade
Πολύ δραστήριο μέλος
Ο Cade αυτή τη στιγμή δεν είναι συνδεδεμένος. Είναι Απόφοιτος λυκείου. Έχει γράψει 872 μηνύματα.
23-06-22
18:19
Τα νούμερα βγαίνουν πολύ άσχημα...
Samael
Τιμώμενο Μέλος
Ο Samael αυτή τη στιγμή δεν είναι συνδεδεμένος. Είναι 26 ετών, Πτυχιούχος του τμήματος Ηλεκτρολόγων & Ηλεκτρονικών Μηχανικών ΠΑΔΑ και μας γράφει από Πειραιάς (Αττική). Έχει γράψει 12.129 μηνύματα.
23-06-22
18:30
Για να αξιοποιήσεις σωστά τα δεδομένα πρέπει να δεις τι σου δίνουν πρώτα και να κάνεις τις λογικές συνδέσεις μέσω των κατάλληλων αρχών και νόμων. Εδώ σου λένε οτι μετά την κρούση, το νήμα που συγκρατεί το συσσωμάτωμα δημιουργεί γωνία 60° με την κατακόρυφο.5.43View attachment 104166
Εδώ θα αφήσω τα κόκκαλά μου να ξέρετε. Πήρα ΑΔΟ αλλά μέχρι εκεί. Και έλυσα ως προς u του βλήματος. Δεν ξέρω πως μπορώ να την συνεχίσω. Ψάχνω το V μετά του συσσωμ…συσσω…συ… συσσωματώματος! Ξέρω πως να βρω την Εμηχ που χάθηκε απλώς… πως να αξιοποιήσω τα δεδομένα που μου δίνονται δεν ξέρω.
Αυτό σημαίνει οτι το συσσωμάτωμα μετά την κρούση ανέρχεται μέχρι ένα ύψος h στο οποίο τελικά σταματάει στιγμιαία, και το νήμα δημιουργεί γωνία 60°εκείνη την στιγμή. Για να ανέβηκε όμως μέχρι εκείνο το ύψος κάπου την τσίμπησε αυτή την ενέργεια διότι πλέον το σύστημα των δύο σωμάτων έχει δυναμική ενέργεια. Ενώ ακρίβως μετά την κρούση είχε μόνο κινητική και καθόλου δυναμική(εαν ορίσουμε εκείνο το οριζόντιο επίπεδο ως το επίπεδο μηδενικής δυναμικής ενέργειας).
Αμέσως μετά την κρούση το σύστημα θεωρούμε οτι έχει μηδενική δυναμική ενέργεια λοιπόν, αλλά έχει κινητική ενέργεια επειδή έχει αποκτήσει λόγω της κρούσης ταχύτητα V. Οπότε η κινητική ενέργεια του συστήματος είναι :
Καρχ = 0.5(M+m)V²
Το συσσωμάτωμα ανέρχεται σε ύψος h αποκτώντας δυναμική ενέργεια :
Uτελ = (M+m)gh
Η κινητική ενέργεια μετά την κρούση μετατράπηκε πλήρως σε δυναμική(εφόσον η μηχανική ενέργεια του συστήματος διατηρείται λόγω της συντηρητικής φύσης της δύναμης του βάρους, και δεδομένου οτι δεν έχουμε κινητική ενέργεια πλέον στο ύψος h) οπότε θα πρέπει να ισχύει :
Uτελ = Kαρχ =>
0.5(M+m)V² = (M+m)gh =>
V = sqrt(2gh)
Αρκεί να βρεις λοιπόν το ύψος που ανέβηκε το συσσωμάτωμα για να βρεις την αρχική του ταχύτητα αμέσως μετά την κρούση πριν ακινητοποιηθεί στιγμιαία στο ύψος h. Σου δίνουν την γωνία που σχηματίζει το νήμα με την κατακόρυφο εκείνη την στιγμή, και το μήκος του νήματος. Κάνοντας λίγη τριγωνομετρία λοιπόν μπορείς να βρεις το ύψος h ως εξής :
Οπότε h = 1m - 1m*συν60° = 1/2
Τελικά :
V = sqrt(2*10*(1/2)) =>
V = sqrt(10) m/s
Cade
Πολύ δραστήριο μέλος
Ο Cade αυτή τη στιγμή δεν είναι συνδεδεμένος. Είναι Απόφοιτος λυκείου. Έχει γράψει 872 μηνύματα.
23-06-22
18:42
Joji
Επιφανές μέλος
Η Ιωάννα αυτή τη στιγμή δεν είναι συνδεδεμένη. Είναι 22 ετών και Φοιτήτρια του τμήματος Επιστημών της Εκπαίδευσης & Κοινωνικής Εργασίας Πατρών. Έχει γράψει 8.786 μηνύματα.
24-06-22
09:26
Σας ευχαριστώ πάρα πάρα πολύ και τους δυο
@Samael πήρα ΘΜΚΕ αλλά έκανες καλά που μου έδειξες πως μπορώ να το λύσω και με ΑΔΜΕ. Η τριγωνομετρία με ζάλισε λίγο στην αρχή, πριν δω τα μηνύματά σας γιατί δεν την έχω συνηθίσει ακόμα 
@Samael πήρα ΘΜΚΕ αλλά έκανες καλά που μου έδειξες πως μπορώ να το λύσω και με ΑΔΜΕ. Η τριγωνομετρία με ζάλισε λίγο στην αρχή, πριν δω τα μηνύματά σας γιατί δεν την έχω συνηθίσει ακόμα 
Samael
Τιμώμενο Μέλος
Ο Samael αυτή τη στιγμή δεν είναι συνδεδεμένος. Είναι 26 ετών, Πτυχιούχος του τμήματος Ηλεκτρολόγων & Ηλεκτρονικών Μηχανικών ΠΑΔΑ και μας γράφει από Πειραιάς (Αττική). Έχει γράψει 12.129 μηνύματα.
24-06-22
12:20
Σας ευχαριστώ πάρα πάρα πολύ και τους δυο@Samael πήρα ΘΜΚΕ αλλά έκανες καλά που μου έδειξες πως μπορώ να το λύσω και με ΑΔΜΕ. Η τριγωνομετρία με ζάλισε λίγο στην αρχή, πριν δω τα μηνύματά σας γιατί δεν την έχω συνηθίσει ακόμα
![]()
Συνήθως η κύρια περίπτωση που θα χρειαστείς ΘΜΚΕ είναι όταν έχεις μη συντηρητικές δυνάμεις ή/και μεταβαλλόμενες δυνάμεις(που στο λύκειο με εξαίρεση το στερεό και ακόμα και εκεί φουλ περιορισμένα, δεν παίζουν). Είναι πιο γενικό απο την ΑΔΜΕ, διότι προκύπτει άμεσα τον 2ο νόμο του Νεύτωνα χωρίς υποθέσεις περί συντηρητικής δύναμης.
Η τριγωνομετρία, όπως οτιδήποτε που περιλαμβάνει γεωμετρία μπορεί να ζαλίσει
. Αλλά θα την συνηθίσεις, αρκεί να έχεις λίγη υπομονή και να μην βαριέσαι να φτιάχνεις και να δουλεύεις τα σχήματα.Guest 831328
Επισκέπτης
αυτή τη στιγμή δεν είναι συνδεδεμέν. Δεν έχει γράψει κανένα μήνυμα.
24-06-22
12:36
να ρωτήσω λιγο εσεις που ειστε τωρα φοιτητες σε σχολη του 2ου πεδιου κυριως σε αυτές που σχετίζονται με την πληροφορική(Ημμυ, ceid, csd etc). Είναι απολύτως απαραιτητο εμεις που δώσαμε φέτως με υλη χωρίς τα κύματα να τα διαβασουμε για να μπορέσουμε να παμε στην σχολή μας χωρίς να είμαστε χαμένοι. Εχω διαβάσει μέχρι το στάσιμο και μπορώ να ανταποκριθώ σε ασκήσεις επαναλληπτικών πανελλαδικων πανω σε αυτά τα κεφάλαια. σκοπεύω να συνεχισω και στα ηλεκτρομαγνητικά δεδομένου ότι εχω διδαχθεί ηλεκτρομαγνητισμό ήταν ποτέ στην υλη τα ηλεκτρομαγνητικά κύματα; Ποιες χρονιες επεσαν για να ξέρω που να αναζητήσω για να λύσω
Samael
Τιμώμενο Μέλος
Ο Samael αυτή τη στιγμή δεν είναι συνδεδεμένος. Είναι 26 ετών, Πτυχιούχος του τμήματος Ηλεκτρολόγων & Ηλεκτρονικών Μηχανικών ΠΑΔΑ και μας γράφει από Πειραιάς (Αττική). Έχει γράψει 12.129 μηνύματα.
24-06-22
12:53
Για Ceid και Csd δεν χρειάζεσαι καθόλου φυσική στην ουσία, έχουν το πολύ ένα μάθημα καθαρής φυσικής και σε αυτό τα κύματα απο ότι βλέπω είναι μόνο μια πολύ μικρή υποενότητα η οποία γίνεται στο τέλος. Hardly σου τσακίζει βαθμό,πόσο μάλλον κατανόηση.να ρωτήσω λιγο εσεις που ειστε τωρα φοιτητες σε σχολη του 2ου πεδιου κυριως σε αυτές που σχετίζονται με την πληροφορική(Ημμυ, ceid, csd etc). Είναι απολύτως απαραιτητο εμεις που δώσαμε φέτως με υλη χωρίς τα κύματα να τα διαβασουμε για να μπορέσουμε να παμε στην σχολή μας χωρίς να είμαστε χαμένοι. Εχω διαβάσει μέχρι το στάσιμο και μπορώ να ανταποκριθώ σε ασκήσεις επαναλληπτικών πανελλαδικων πνω σε αυτά τα κεφάλαια. σκοπεύω να συνεχισω και στα ηλεκτρομαγνητικά δεδομένου ότι εχω διδαχθεί ηλεκτρομαγνητισμό ήταν ποτέ στην υλη τα ηλεκτρομαγνητικά κύματα; Ποιες χρονιες επεσαν για να ξέρω που να αναζητήσω για να λύσω
Εαν πας ημμυ πάλι δεν χρειάζεται να τρελαθείς να τα βγάλεις απο τώρα γιατί θα τα κάνετε πιθανότατα σε κάποιο ξεχωριστό μάθημα : είτε στην φυσική 1(Μηχανική & Κυματική), είτε στο μάθημα ηλεκτρομαγνητισμός ΙΙ. Ή μπορεί και σε κάποιο μάθημα στυλ συστήματα ηλεκτρικής ενέργειας. Ακόμα και στο ημμυ δηλαδή μέχρι την ειδίκευση δεν τα πολυχρειάζεσαι καθώς η κυκλωματική θεωρία αφορά συστήματα μικρών διαστάσεων(ως προς το μήκος κύματος του ρεύματος) και χαμηλών συχνοτήτων οπότε αρκεί ο νόμος του Ohm και του Faraday. Τώρα σε κάτι μαθήματα όπως κεραίες,ναι εκεί you're up for some serious shit. Ωστόσο και πάλι μην ανησυχείς θα έχεις κυριολεκτικά πάρα πολλά μαθήματα μέχρι εκείνη την στιγμή για να εμβαθύνεις.
Anyways εαν θες να τα μελετήσεις, θα σου πρότεινα να ενισχύσεις τις γνώσεις σου πάνω στα μηχανικά κύματα για αρχή. Είναι πολύ πιο εύπεπτα απο τα ηλεκτρομαγνητικά στην φάση που είσαι. Τα οποία ούτως η άλλως δεν μπορείς να μελετήσεις ακόμα γιατί δεν έχετε μιλήσει στο λύκειο για ρεύμα μετατόπισης. Οπότε ναι, εαν θες την γνώμη μου, εστίασε εκεί προς το παρών και αυτό απο ενδιαφέρον, όχι οτι θα έχεις θέμα στην σχολή και να μην τα διαβάσεις τώρα. Και αυτό εαν πας ημμυ, εαν πας ceid ή csd σου είναι εντελώς άχρηστα.
Χρήστες Βρείτε παρόμοια
-
Τα παρακάτω 0 μέλη και 1 επισκέπτες διαβάζουν μαζί με εσάς αυτό το θέμα:Tα παρακάτω 128 μέλη διάβασαν αυτό το θέμα:
- Orfano
- Debugging_Demon
- Only physics
- MR WHITE
- globglogabgalab
- Basiliki.kiki
- kkxxrd
- xrisamikol
- Kate1914
- suaimhneas
- Hased Babis
- Than003
- Joji
- iiTzArismaltor_
- Maynard
- phleidhs
- Steliosgkougkou
- infection54
- asterios26
- Alexandraaaaa
- Kris.gr
- Zelina
- Rania0
- Philologist
- Sherlockina
- oups
- the purge
- ggl
- angeloskar
- το κοριτσι του μαη
- Maraki2
- alpha.kappa
- PanosBat
- spring day
- Ameliak
- Unboxholics
- Agonistis
- Scandal
- eukleidhs1821
- SlimShady
- tsiobieman
- Ελεγκολόγος
- KaterinaL
- Fara
- Khsskhvhks
- Eirinakiii8
- V@Per
- Kostakis45
- Ελεν
- Pharmacist01
- Johanna Mark
- alexd99
- Dr. Gl. Luminous
- Poirot
- Ryuzaki
- T C
- augustine
- Ana_1
- TehWinnerGR
- Alexandra Chatzin
- Markiz
- Anonym0ssss
- Panagiotis849
- nucomer
- Lia 2006
- Mammy Nun
- Nikoletaant
- johnstamatis34
- Kitana
- sopen2022
- alexgiann
- Billys 13
- panosveki
- Yvonnikou
- Venom17
- Apocalypse
- Superhuman
- Dora140303
- alexandrahere
- Appolon
- Meow
- Mariahj
- Giii
- menual
- nimbus
- 4AGE
- giannhs2001
- Georgekk
-
Φορτώνει...
-
Το forum μας χρησιμοποιεί cookies για να βελτιστοποιήσει την εμπειρία σας.
Συνεχίζοντας την περιήγησή σας, συναινείτε στη χρήση cookies στον περιηγητή σας.
Αρχική Forum
Ρωτήστε κάτι
Προσωπικές Συζητήσεις
Πανελλαδικές
Αγγελίες
Συνδεδεμένοι Χρήστες
Λίστα Αποκλεισμένων
Υπεύθυνοι του Forum
e-steki
