Nick890
Επιφανές μέλος
Αγγελος Κοκ
Τιμώμενο Μέλος
Πως η λύνω αυτή ρε παιδιά ,δεν το βρίσκω με τίποτα .Σκέφτηκα να κάνω Άσε αλλά δεν ξέρω το Χ (και δεν μπορώ να το βρω )
Εχεις κρουση σε οριζοντιο επιπεδο οποτε η ΘΙ δεν θα αλλαξει.Προφανως η μεγιστη συσπειρωση μετα την κρουση θα ειναι και το Α'(πλατος)
Επιλυση με την χρηση της αρμονικης ταλαντωσης
Εστω u2 η ταχυτητα του σωματος μετα την κρουση.Προφανως η υ2 θα ειναι και η υmax' του σωματος,αφου βρισκεται στην ΘΙ.
Απο ΑΔΕ για την ταλαντωση: Kmax=E<=>u2=... (1)
Αρα απο δω βρισκεις το μετρο της ταχυτητας μεσω της αρμονικης ταλαντωσης...
Επιλυση με την χρηση ΘΜΚΕ
Τωρα αν ηθελες να το πας με ενεργειες θα εφαρμοζες ΘΜΚΕ απο την ΘΙ μεχρι την θεση που σταματαει(ουσιαστικα ΑΘ)
ΔΚ=ΣW<=>Κτελ-Καρχ=Ww+WN+WFελ<=>-Καρχ=WFel
Η καθετη αντιδραση και το βαρος ειναι δυναμεις οι οποιες ειναι καθετες στην φορα κινησης,για τον λογο αυτο εχουν μηδενικο εργο
Επειδη σου δινει την θεση της μεγιστης συσπειρωσης(χ=0,4) WFel=Uelαρχ-Uelτελ=0-1/2kx^2
Αρα και παλι απο δω βρισκεις την υ2

Αν εχεις και στα επομενα ερωτηματα απορια μπορεις να ρωτησεις ελευθερα

Σημείωση: Το μήνυμα αυτό γράφτηκε 8 χρόνια πριν. Ο συντάκτης του πιθανόν να έχει αλλάξει απόψεις έκτοτε.
Nick890
Επιφανές μέλος
Τι μαζα (m) δεν βρισκω τροπο για να τη βρω !!!!Εχεις κρουση σε οριζοντιο επιπεδο οποτε η ΘΙ δεν θα αλλαξει.Προφανως η μεγιστη συσπειρωση μετα την κρουση θα ειναι και το Α'(πλατος)
Επιλυση με την χρηση της αρμονικης ταλαντωσης
Εστω u2 η ταχυτητα του σωματος μετα την κρουση.Προφανως η υ2 θα ειναι και η υmax' του σωματος,αφου βρισκεται στην ΘΙ.
Απο ΑΔΕ για την ταλαντωση: Kmax=E<=>u2=... (1)
Αρα απο δω βρισκεις το μετρο της ταχυτητας μεσω της αρμονικης ταλαντωσης...
Επιλυση με την χρηση ΘΜΚΕ
Τωρα αν ηθελες να το πας με ενεργειες θα εφαρμοζες ΘΜΚΕ απο την ΘΙ μεχρι την θεση που σταματαει(ουσιαστικα ΑΘ)
ΔΚ=ΣW<=>Κτελ-Καρχ=Ww+WN+WFελ<=>-Καρχ=WFel
Η καθετη αντιδραση και το βαρος ειναι δυναμεις οι οποιες ειναι καθετες στην φορα κινησης,για τον λογο αυτο εχουν μηδενικο εργο
Επειδη σου δινει την θεση της μεγιστης συσπειρωσης(χ=0,4) WFel=Uelαρχ-Uelτελ=0-1/2kx^2
Αρα και παλι απο δω βρισκεις την υ2
Αν εχεις και στα επομενα ερωτηματα απορια μπορεις να ρωτησεις ελευθερα![]()
Σημείωση: Το μήνυμα αυτό γράφτηκε 8 χρόνια πριν. Ο συντάκτης του πιθανόν να έχει αλλάξει απόψεις έκτοτε.
Αγγελος Κοκ
Τιμώμενο Μέλος
Τι μαζα (m) δεν βρισκω τροπο για να τη βρω !!!!
Λοιπον θα σου πω ενα κολπακι.Δες το ερωτημα γ και σκεψου πονηρα
Εγω σου λεω με μια μαντεψια θα βγει 4 kg ετσι ωστε στην αρχη να εγινε ανταλλαγη ταχυτητων Έχοντας πλεον βρει την ταχυτητα υ2 δεν νομιζω οτι ειναι τοσο δυσκολο να βρεις την μαζα,γιατι;
υ2= 2m1*u1/(m1+m2)<=>u2m1+u2m2=2m1u1<=>m1=...

Για τυχον αποριες τον τυπο του σχολικου εφαρμοσα που βρισκεται στο κεφαλαιο 5 ενοτητα 5.3
Σημείωση: Το μήνυμα αυτό γράφτηκε 8 χρόνια πριν. Ο συντάκτης του πιθανόν να έχει αλλάξει απόψεις έκτοτε.
Nick890
Επιφανές μέλος
Λοιπον θα σου πω ενα κολπακι.Δες το ερωτημα γ και σκεψου πονηραΕγω σου λεω με μια μαντεψια θα βγει 4 kg ετσι ωστε στην αρχη να εγινε ανταλλαγη ταχυτητων
Έχοντας πλεον βρει την ταχυτητα υ2 δεν νομιζω οτι ειναι τοσο δυσκολο να βρεις την μαζα,γιατι;
υ2= 2m1*u1/(m1+m2)<=>u2m1+u2m2=2m1u1<=>m1=...
Για τυχον αποριες τον τυπο του σχολικου εφαρμοσα που βρισκεται στο κεφαλαιο 5 ενοτητα 5.3
Και εγώ αυτό σκέφτηκαστην αρχή ,αλλά δεν ξέρω πως το αποδεικνυω
Σημείωση: Το μήνυμα αυτό γράφτηκε 8 χρόνια πριν. Ο συντάκτης του πιθανόν να έχει αλλάξει απόψεις έκτοτε.
Αγγελος Κοκ
Τιμώμενο Μέλος
Και εγώ αυτό σκέφτηκαστην αρχή ,αλλά δεν ξέρω πως το αποδεικνυω
Στην συγκεκριμενη περιπτωση νομιζω οτι δεν θελει αποδειξη.
Γενικα ομως οποτε θελεις να το αποδειξεις θα εφαρμοζεις ΑΔΟ και ΑΔΚΕ (οπως το κανει το σχολικο)
Σημείωση: Το μήνυμα αυτό γράφτηκε 8 χρόνια πριν. Ο συντάκτης του πιθανόν να έχει αλλάξει απόψεις έκτοτε.
Griff
Εκκολαπτόμενο μέλος

Έχω κάποιες απορίες για το πρώτο κεφάλαιο της Φυσικής. Αν μπορεί κάποιος να με βοηθήσει θα του ήμουν υπόχρεος
Λοιπόν:
1) Ένας τρόπος για να βρούμε το δυναμικό σε ένα σημείο Γ είναι να προσθέσουμε τα δυναμικά VΓ,Α και VΓ,Β, με τα σημεία Α και Β να έχουν δύο φορτία. Στην πράξη που πρέπει να γίνει, κάνουμε πάντοτε πρόσθεση ή υπάρχει περίπτωση που πρέπει να γίνει αφαίρεση;
2) Ποια είναι η διαφορά του VΑ και του VΓ,Α;
3) Πότε κάνουμε πρόσθεση και πότε αφαίρεση για να υπολογίσουμε την Ένταση σε ένα σημείο (όταν γνωρίζουμε την ένταση σε δύο άλλα σημεία);
4) Πώς ξέρουμε αν το δυναμικό και η ένταση μηδενίζουν εντός ή εκτός των φορτίων;
Ευχαριστώ εκ των προτέρων όποιον ασχοληθεί

Σημείωση: Το μήνυμα αυτό γράφτηκε 7 χρόνια πριν. Ο συντάκτης του πιθανόν να έχει αλλάξει απόψεις έκτοτε.
Meow
Νεοφερμένο μέλος
Αφαίρεση μπορεί να σου βγεί αν το ένα φορτίο Q < 0 από τα δυο( πάει ανάλογα με το πρόσημο και μπορεί να βγεί είτε θετικο είτε αρνητικό ανάλογαμε το πλήθος που έχεις).
2)Δεν το πολυκατάλαβα αυτό ?????? Ίσως το VΑ είναι το δυναμικό στο σημείο Α και το VΓ,Α είναι το δυναμικό του φορτίο Α στο σημείο Γ μάλλον ή είναι το συνολικό δυναμικό (άθροισμα) δύο διαφορετικών σημείων Va και Vγ. Επίσης αν δεν είχε κόμμα θα ήταν η διαφορά δυναμικού VΑΓ=VA-VΓ
3) Η ένταση είναι διανυσματικό μέγεθος. Όταν κάνεις το σχήμα πρέπει να πάρεις θετική φορά προς τα δεξία ή αριστερά. Έπειτα σχεδίασε τις εντάσεις στο σημείο που ζητά και ανάλογα με την φορά τους είτε τις προσθέτεις είτε τις αφαιρείς (η κατεύθυνση της έντασης εξαρτάται από την πηγή αν είναι +/-)
4)Το δυναμικό είναι μηδέν όταν τείνει στο άπειρο(δεν μου έρχεται άλλη περίπτωση), ενώ για να βρεις την Ε=0 πρέπει να το δεις στο σχήμα να είναι αντίρροπες και να έχουν ίσα μέτρα |Ε1|=|Ε2|. Αν σου ζητάει να βρεις σε πιο σημείο είναι η ένταση μηδέν (δηλαδή την απόσταση από το κάθε φορτίο (έστω ότι έχουμε δύο)) τότε ή ανάμεσά τους ή δεξία ή αριστερά του ενός ή άλλου φορτίου θα ειναι αντίρροπες και τότε θα πεις έστω στο σημείο τάδε η Ε=0 <=>Ε1-Ε2=0 <=>Ε1=Ε2 και μετά βάζεις τους τύπους και θα βρεις δυο λύσεις όπου η μία απορρίπτεται λογικά
Αν έχω κάνει κάποιο λάθος ή μου ξέφυγε κάτι ας με διορθώσετε!!
Σημείωση: Το μήνυμα αυτό γράφτηκε 7 χρόνια πριν. Ο συντάκτης του πιθανόν να έχει αλλάξει απόψεις έκτοτε.
Samael
Τιμώμενο Μέλος
Καλημέρα συμφορουμίτες!
Έχω κάποιες απορίες για το πρώτο κεφάλαιο της Φυσικής. Αν μπορεί κάποιος να με βοηθήσει θα του ήμουν υπόχρεος![]()
Λοιπόν:
1) Ένας τρόπος για να βρούμε το δυναμικό σε ένα σημείο Γ είναι να προσθέσουμε τα δυναμικά VΓ,Α και VΓ,Β, με τα σημεία Α και Β να έχουν δύο φορτία. Στην πράξη που πρέπει να γίνει, κάνουμε πάντοτε πρόσθεση ή υπάρχει περίπτωση που πρέπει να γίνει αφαίρεση;
2) Ποια είναι η διαφορά του VΑ και του VΓ,Α;
3) Πότε κάνουμε πρόσθεση και πότε αφαίρεση για να υπολογίσουμε την Ένταση σε ένα σημείο (όταν γνωρίζουμε την ένταση σε δύο άλλα σημεία);
4) Πώς ξέρουμε αν το δυναμικό και η ένταση μηδενίζουν εντός ή εκτός των φορτίων;
Ευχαριστώ εκ των προτέρων όποιον ασχοληθεί![]()
Οσον αφορα στο 2 ,καταρχας καταλαβε το εξης :
Οταν λεμε ταση η δυναμικο η διαφορα δυναμικου συνηθως αναφερομαστε στην διαφορα δυναμικου μεταξυ δυο σημειων εστω Α και Γ .
Αρα VΓΑ = VΓ-VA .Εαν αυτο βγει με αρνητικο προσημο σημαινει απλα οτι το VΑ>VΓ . Αρα η φορα του ρευματος ειναι απο το VA προς το VΓ.Εαν βγει με θετικο προσημο αυτο σημαινει οτι VΓ>VA αρα η φορα του ρευματος ειναι απο το VΓ προς το VA.
Απο αποψη φυσικης οριζεται και το δυναμικο σε σημειο που οριζεται ως το εργο της μεταφορας-μετακινησης ενος φορτιου στο απειρο προς το φορτιο αυτο. Η μεταφορα του φορτιου στο απειρο ειναι συμβολικη,και ουσιαστικα υποδηλωνει την μεταφορα του φορτιου εκτος του ηλεκτρικου πεδιου οπου πλεον δεν θα δεχεται δυναμη απο το πεδιο η απλα Ε=0 σε αυτο το σημειο.
Εαν θες διαβασε αυτο μπας και καταλαβεις λιγο καλυτερα τι μας λεει το δυναμικο απο φυσικη αποψη :
Ως ενταση του βαρυτικου πεδιου οριζουμε το λεγομενο g που οπως εχεις μαθει δεν ειναι σε ολα τα υψομετρα ιδιο ασχετα που λεμε g=~ 9.81 m/s² .Στην πραγματικοτητα το g εξαρταται απο την μαζα που εχει η γη και ειναι αντιστροφως αναλογη με το τετραγωνο της αποστασης που εχει το μπαλακι απο την επιφανεια της θαλασσας(οριζουμε ως επιπεδο μηδενικης δυναμικης ενεργειας).
Εαν εκανες το διαγραμμα δυναμης/χρονου θα εβγαζες μια καμπυλη γνησιως φθινουσα η δυναμη θα μειωνοταν(διοτι εξασθενει οσο μεγαλωνει η αποσταση μεταξυ της της και της μπαλας) και μαλιστα θα μειωνοταν με ολοενα αυξανομενο ρυθμο(δηλαδη αποτομα). Το εμβαδον αυτης της καμπυλης(θα μαθεις πως το υπολογιζεις αργοτερα) θα σου εδινε το εργο που εκανες για ολη αυτην την μεταφορα.Διαιερεις το εργο αυτο με την μαζα της μπαλας και εχεις το δυναμικο σε εκεινο το σημειο
.Εδω μην κανεις το λαθος να πεις οτι εαν η μαζα ηταν μεγαλυτερη το δυναμικο θα ηταν μικροτερο.Οχι διοτι εαν η μαζα ηταν διαφορετικη,θα ηταν διαφορετικη και η δυναμη του βαρυτικου πεδιου καθε στιγμη αρα και το ολοκληρωμα δηλαδη το εργο.Οποτε οταν διαιρουσες παλι θα επαιρνες ιδιο δυναμικο στο σημειο αυτο.
Ειναι σαν την ενταση του ηλεκτρικου πεδιου που λες |E| = |F/q|=|F|/|q| ο τυπος φαινεται οτι εξαρταται απο το φορτιο αλλα κατι τετοιο δεν ισχυει καθως εξαρταται αποκλειστικα απο την πηγη φορτιο,επειδη F = kο|Q||q|/r² αρα E = ko*|Q|/r² .
Ειναι απλα μια εναλλακτικη μορφη μεθοδος να βρεις την ενταση.Αντι να σου δινω το φορτιο και την αποσταση απο αυτο ωστε να μου πεις την ενταση σου δινω αντιθετα την δυναμη και το φορτιο.Ωστοσο αυτα ειναι αιτιατα που επαληθευουν αυτο που θες να βρεις και οχι αιτιες του αποτελεσματος
ΥΓ.Μιλαγα συγκεκριμενα για την γη εαν και τα παραπανω ισχυουν γενικα για ολα τα βαρυτικα πεδια
Εαν μπηκες στον κοπο να διαβασεις,θα αντιληφθηκες γιατι η διαφορα δυναμικου ή η ταση μας ειναι πιο χρησιμη.
Οπως σε ενα προβλημα δεν σε ενδιαφερει η πραγματικη αρχικη και τελικη δυναμικη ενεργεια ενος συστηματος παρα η διαφορα τους,ετσι και εδω στον ηλεκτρισμο,δεν μας ενδιαφερει το δυναμικο αλλα η διαφορα δυναμικου.Απλα ειναι αυτονοητο οτι για να μιλησουμε για διαφορα δυναμικου πρεπει οπωσδηποτε να ορισουμε σε πρωτη φαση τι ειναι το δυναμικο . Επομενως δεν ειναι και τοσο "αχρηστη εννοια" ασχετα που δεν χρησιμοποιειται

Σημείωση: Το μήνυμα αυτό γράφτηκε 7 χρόνια πριν. Ο συντάκτης του πιθανόν να έχει αλλάξει απόψεις έκτοτε.
Griff
Εκκολαπτόμενο μέλος

Σημείωση: Το μήνυμα αυτό γράφτηκε 7 χρόνια πριν. Ο συντάκτης του πιθανόν να έχει αλλάξει απόψεις έκτοτε.
El_
Νεοφερμένο μέλος
α) το μέτρο της ταχύτητας των δύο αυτοκινήτων τη χρονική στιγμή t = 0,
β) το διάστημα που διένυσε κάθε αυτοκίνητο από τη χρονική στιγμή t=0 μέχρι τη χρονι κή στιγμή της σύγκρουσής τους
Πραγματικά έχω προσπαθήσει πολύ να τη λύσω αλλά έχει κολλήσει το μυαλό μου. Το πρόβλημα μου είναι στο α ερώτημα το β μετά αν βρω το α μπορώ να το λύσω. Μήπως μπορεί κάποιος να με βοηθήσει; Δεν ζητάω οπωσδήποτε αποτέλεσμα απλώς μια καθοδήγηση για το πώς μπορώ να τη λύσω.
Ευχαριστώ προκαταβολικά
Σημείωση: Το μήνυμα αυτό γράφτηκε 5 χρόνια πριν. Ο συντάκτης του πιθανόν να έχει αλλάξει απόψεις έκτοτε.
Dias
Επιφανές μέλος
Σημείωση: Το μήνυμα αυτό γράφτηκε 5 χρόνια πριν. Ο συντάκτης του πιθανόν να έχει αλλάξει απόψεις έκτοτε.
El_
Νεοφερμένο μέλος
Σε ευχαριστώ πάρα πολύ!!! Μια μικρή λεπτομέρεια που δεν πρόσεξα και προσπαθούσα να λύσω εξίσωση με δύο αγνώστους...
Τώρα είναι προφανές. Και πάλι ευχαριστώ.Σημείωση: Το μήνυμα αυτό γράφτηκε 5 χρόνια πριν. Ο συντάκτης του πιθανόν να έχει αλλάξει απόψεις έκτοτε.
ιωαννηs
Επιφανές μέλος
Σε ευχαριστώ πάρα πολύ!!! Μια μικρή λεπτομέρεια που δεν πρόσεξα και προσπαθούσα να λύσω εξίσωση με δύο αγνώστους...Τώρα είναι προφανές. Και πάλι ευχαριστώ.
Βασικα η εκφνωνηση ειναι λιγο ελειπης , εκτος το εχετε πει στην ταξη.
Θα επρεπε να λεει κατα την αποψη μου
''ενώ το αυτοκίνητο (1) ευθύγραμμη ομαλά επιταχυνόμενη κίνηση με επιτάχυνση μέτρου α = 2 m/s2 χωρις αρχικη
ταχυτητα''
Οποτε με την παραδοχη αυτη μπορουμε να κανουμε το παρακατω βοηθητικο σχημα.
Επισης απο την εκφωνηση καταλαβαινουμε οτι καθε οχημα για να συγκρουστει θα πρεπει να κινηθει για 10s.
Ισχυει απο το σχημα
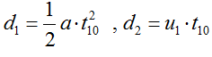
και απο την θεωρεία ξερουμε
κανοντας ατικατασταση και πραξεις και θετοντας t(10)=10s εχουμε
και
εχοντας τωρα τις ταχυτητες και τον χρονο t=10 s μπορουμε να υπολογισουμε τα διαστηματα, Ερωτημα β
Ερωτημα α , Οι ταχυτητες στον χρονο t=0
Συμφωνα μετα δεδομενα της ασκησης ειναι οι μονες δυνατες τιμες καi δεν μας επιτρεπουν αλλες παραδοχες.
Σημείωση: Το μήνυμα αυτό γράφτηκε 5 χρόνια πριν. Ο συντάκτης του πιθανόν να έχει αλλάξει απόψεις έκτοτε.
Συνημμένα
ιωαννηs
Επιφανές μέλος
Εστω u0 η αρχικη ταχυτητα του επιταχυνομενου κινητου 1 και και u2 η ταχυτητα του ομαλως κινημενου κινητου 2.
Το ολικο διαστημα 180m θα ειναι
Οποτε το ερωτημα α ειναι
και
το ερωτημα β
Σημείωση: Το μήνυμα αυτό γράφτηκε 5 χρόνια πριν. Ο συντάκτης του πιθανόν να έχει αλλάξει απόψεις έκτοτε.
Γεια σας, μήπως κάποιος μπορεί να με βοηθήσει να λύσω το θέμα αυτό; με την φυσική γενικής δεν τα πάω πολύ καλά
ιωαννηs
Επιφανές μέλος
σημερα θα ηταν το ιδανικό αλλα δεν υπάρχει θέμαοκ να το δουμε, ποτε το θελεις?
ιωαννηs
Επιφανές μέλος
ενταξει, τωρα παω για σουβλακια , οταν γυρισω θα το πιασω , δεν ειναι ζορικο.σημερα θα ηταν το ιδανικό αλλα δεν υπάρχει θέμα
ευχαριστώ πολύενταξει, τωρα παω για σουβλακια , οταν γυρισω θα το πιασω , δεν ειναι ζορικο.
Χρήστες Βρείτε παρόμοια
-
Τα παρακάτω 0 μέλη και 1 επισκέπτες διαβάζουν μαζί με εσάς αυτό το θέμα:Tα παρακάτω 31 μέλη διάβασαν αυτό το θέμα:
-
Φορτώνει...
-
Το forum μας χρησιμοποιεί cookies για να βελτιστοποιήσει την εμπειρία σας.
Συνεχίζοντας την περιήγησή σας, συναινείτε στη χρήση cookies στον περιηγητή σας.
Αρχική Forum
Ρωτήστε κάτι
Προσωπικές Συζητήσεις
Πανελλαδικές
Αγγελίες
Συνδεδεμένοι Χρήστες
Λίστα Αποκλεισμένων
Υπεύθυνοι του Forum
e-steki
