nPb
Επιφανές μέλος
δεν καταλαβα
ρ = η τιμή του χ που μηδενίζει την εξίσωση που έχεις
συνεπώς στο σχήμα Horner στο πινακάκι θα βάλεις το πολυώνυμο που έχεις (διαιρετέος) με τον παράγοντα (χ-ρ) που είναι ο διαιρέτης και θα πάρεις ένα πηλίκο (πολυώνυμο μικρότερου βαθμού από τον διαιρετέο) και ένα υπόλοιπο 0 (τέλεια διαίρεση)
οπότε θα προκύψει η έκφραση Δ(χ)=δ(χ)π(χ)
Σημείωση: Το μήνυμα αυτό γράφτηκε 14 χρόνια πριν. Ο συντάκτης του πιθανόν να έχει αλλάξει απόψεις έκτοτε.
catgirlbarbara
Δραστήριο μέλος
πως βρισκουμε το ρ; αυτο δεν μπορω να καταλαβω.ρ = η τιμή του χ που μηδενίζει την εξίσωση που έχεις
συνεπώς στο σχήμα Horner στο πινακάκι θα βάλεις το πολυώνυμο που έχεις (διαιρετέος) με τον παράγοντα (χ-ρ) που είναι ο διαιρέτης και θα πάρεις ένα πηλίκο (πολυώνυμο μικρότερου βαθμού από τον διαιρετέο) και ένα υπόλοιπο 0 (τέλεια διαίρεση)
οπότε θα προκύψει η έκφραση Δ(χ)=δ(χ)π(χ)
Σημείωση: Το μήνυμα αυτό γράφτηκε 14 χρόνια πριν. Ο συντάκτης του πιθανόν να έχει αλλάξει απόψεις έκτοτε.
pop corn
Πολύ δραστήριο μέλος
Κοίτα, θέλεις να βρεις για ποιες τιμές του χ, μηδενίζεται το πολυώνυμο. Κοιτάς τον σταθερό όρο του πολυωνύμου και βρίσκεις ποιες τιμές τον διαιρούν. Και κάνεις δοκιμές με το σχήμα Horner. Στην συγκεκριμένη περίπτωση, διαιρέτες του σταθερού όρου είναι το +,- 1. Αλλά δεν μηδενίζουν την παράσταση. Με μία βιαστική ματιά δεν βγαίνει ούτε με παραγοντοποίηση κατά ομάδες. Δες μήπως χρειάζεται κάποιο κολπάκι ή μήπως δεν είναι αυτό το πολυώνυμο.πως βρισκουμε το ρ; αυτο δεν μπορω να καταλαβω.
Υπάρχει και η πιθανότητα να μην μηδενίζεται η παράσταση.
Σημείωση: Το μήνυμα αυτό γράφτηκε 14 χρόνια πριν. Ο συντάκτης του πιθανόν να έχει αλλάξει απόψεις έκτοτε.
catgirlbarbara
Δραστήριο μέλος
Σημείωση: Το μήνυμα αυτό γράφτηκε 14 χρόνια πριν. Ο συντάκτης του πιθανόν να έχει αλλάξει απόψεις έκτοτε.
pop corn
Πολύ δραστήριο μέλος
Με παραγοντοποίηση κατά ομάδες. Έχεις : 10χ(χ*2 +1) - (χ*2 +1)=0 => (χ*2 +1)(10χ -1)=0 επειδή το χ*2 +1 δεν μηδενίζεται τότε 10χ -1= 0 => χ=1/1010χ*3-χ*2+10χ-1=0 αυτο πως λυνεται?
Σημείωση: Το μήνυμα αυτό γράφτηκε 14 χρόνια πριν. Ο συντάκτης του πιθανόν να έχει αλλάξει απόψεις έκτοτε.
updown
Εκκολαπτόμενο μέλος
εστω η εξισωση μορφης χ^3+αχ^2+βχ+γ=0
αν αντικαταστησουμε χ=ψ-α/3
θα παρουμε τελικα τον τυπο χ=τριτη ριζα του(-q/2+(q^2/4+p^3/2)^1/2)+τριτη ριζα του(-q/2-(q^2/4+p^3/27)^1/2)
Σημείωση: Το μήνυμα αυτό γράφτηκε 14 χρόνια πριν. Ο συντάκτης του πιθανόν να έχει αλλάξει απόψεις έκτοτε.
catgirlbarbara
Δραστήριο μέλος
Σημείωση: Το μήνυμα αυτό γράφτηκε 14 χρόνια πριν. Ο συντάκτης του πιθανόν να έχει αλλάξει απόψεις έκτοτε.
Trolletarian
Πολύ δραστήριο μέλος
κοίτα πρώτα δοκιμάζεις διάφορες τιμές του χ (0,+/-1,+-2...)ώστε να ισχύει η εξίσωση , μόλις βρεις μια σταματάς, αυτήν είναι το ρ..σε μερικές περιπτώσεις όπως η συγκεκριμένη είναι λίγο πιο ζόρικα τα πράγματα..το ρ είναι δεκαδικός...όταν δεν μπορείς να βρεις ακέραια ρίζα , τότε αναζητάς δεκαδική..στη συγκεκριμένη περίπτωση μπορείς εύκολα να σκεφτείς ότι είναι το 0,1....
με σχήμα horner θα σου προκύψει: 10χ^3-χ^2+10χ-1=0->(χ-0,1)(10χ^2+10)=0από δω φαίνεται ότι μοναδική ρίζα είναι το 0,1 γιατί η εξίσωση (10χ^2+10)=0 δεν έχει ρίζες στο R..
Σημείωση: Το μήνυμα αυτό γράφτηκε 14 χρόνια πριν. Ο συντάκτης του πιθανόν να έχει αλλάξει απόψεις έκτοτε.
xrusa!
Νεοφερμένο μέλος
Εγώ πήγα να το λύσω με horner μιας κ είμαι 2α λυκείου κ τα έχω φρέσκα αλλά δεν έχει ακέραιες ρίζες οπότε μάλλον λύνετε με παραγοντοποίηση κατα ομάδες που αναφέρθηκε παραπάνω...10χ*3-χ*2+10χ-1=0 αυτο πως λυνεται?
Αυτή η εξίσωση λύνεται με παραγοντοποίηση που είπε κάποιος στο άλλο θέμα σου.πως λυνεται με σχημα χορνερ η παρακατω εξισωση 10χ*3-χ*2+10χ-1=0 ; Επισης αν μπορει κανεις να μου εξηγησει αναλυτικα πως ξερουμε ποιο ειναι το ρ στο σχημα χορνερ.Πως το βρισκουμε δηλαδη.
Στο σχήμα χόρνερ το ρ το βρίσκουμε από τον όρο της εξίσωσης που δεν έχει χ, στη συγκεκριμένη περίπτωση ο όρο αυτός είναι το -1, κοιτάμε λοιπόν ποιοι αριθμοί διαιρούν το -1, το -1 διαιρεί το 1 κ το -1. Αυτοί οι δύο αριθμοί είναι το ρ. Μετά αν δε σου κάνουν αυτοί πρέπει να δοκιμάσεις και τους δεκαδικούς. Ελπίζω να κατάλαβες γιατί τα είπα λίγο μπερδεμένα.
Σημείωση: Το μήνυμα αυτό γράφτηκε 14 χρόνια πριν. Ο συντάκτης του πιθανόν να έχει αλλάξει απόψεις έκτοτε.
catgirlbarbara
Δραστήριο μέλος

Σημείωση: Το μήνυμα αυτό γράφτηκε 14 χρόνια πριν. Ο συντάκτης του πιθανόν να έχει αλλάξει απόψεις έκτοτε.
Stroumfita
Νεοφερμένο μέλος
Αν οχι γραπτα εδω τουλαχιστον ανεβαστε μου μια φωτο της λυσης!!!
SOS!!!
κανεις????????
Σημείωση: Το μήνυμα αυτό γράφτηκε 14 χρόνια πριν. Ο συντάκτης του πιθανόν να έχει αλλάξει απόψεις έκτοτε.
Συνημμένα
Stroumfita
Νεοφερμένο μέλος
Stefania_☭
Νεοφερμένο μέλος
Σημείωση: Το μήνυμα αυτό γράφτηκε 14 χρόνια πριν. Ο συντάκτης του πιθανόν να έχει αλλάξει απόψεις έκτοτε.
vassilis498
Διακεκριμένο μέλος
Σημείωση: Το μήνυμα αυτό γράφτηκε 14 χρόνια πριν. Ο συντάκτης του πιθανόν να έχει αλλάξει απόψεις έκτοτε.
catgirlbarbara
Δραστήριο μέλος
lowbaper92
Πολύ δραστήριο μέλος
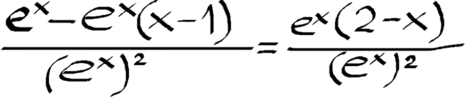
View attachment 37375
παιδια εξηγηστε μου λιγο πως το e^x - e^x ( x - 1) γινεται e^x ( 2 - x). Δεν το καταλαβα.
Απλά το βγάζεις κοινό παράγοντα το e^x και έχεις
Σημείωση: Το μήνυμα αυτό γράφτηκε 14 χρόνια πριν. Ο συντάκτης του πιθανόν να έχει αλλάξει απόψεις έκτοτε.
vassilis498
Διακεκριμένο μέλος
πρώτα βάζουμε το μείον μέσα στην παρένθεση οπότε αντιστρέφονται τα πρόσημα:
τώρα, βγάζουμε κοινό παράγοντα το
edit: α, με πρόλαβαν δεν πειράζει
Σημείωση: Το μήνυμα αυτό γράφτηκε 14 χρόνια πριν. Ο συντάκτης του πιθανόν να έχει αλλάξει απόψεις έκτοτε.
Michaelgr2009
Εκκολαπτόμενο μέλος


Σημείωση: Το μήνυμα αυτό γράφτηκε 14 χρόνια πριν. Ο συντάκτης του πιθανόν να έχει αλλάξει απόψεις έκτοτε.
Σημείωση: Το μήνυμα αυτό γράφτηκε 14 χρόνια πριν. Ο συντάκτης του πιθανόν να έχει αλλάξει απόψεις έκτοτε.
Gver
Νεοφερμένο μέλος
να βρειτε το f(2)
Σημείωση: Το μήνυμα αυτό γράφτηκε 14 χρόνια πριν. Ο συντάκτης του πιθανόν να έχει αλλάξει απόψεις έκτοτε.
Χρήστες Βρείτε παρόμοια
-
Τα παρακάτω 0 μέλη και 0 επισκέπτες διαβάζουν μαζί με εσάς αυτό το θέμα:Tα παρακάτω 34 μέλη διάβασαν αυτό το θέμα:
-
Φορτώνει...
-
Το forum μας χρησιμοποιεί cookies για να βελτιστοποιήσει την εμπειρία σας.
Συνεχίζοντας την περιήγησή σας, συναινείτε στη χρήση cookies στον περιηγητή σας.
Αρχική Forum
Ρωτήστε κάτι
Προσωπικές Συζητήσεις
Πανελλαδικές
Αγγελίες
Συνδεδεμένοι Χρήστες
Λίστα Αποκλεισμένων
Υπεύθυνοι του Forum
e-steki
