Dias
Επιφανές μέλος
 
								 
								To A μέρος είναι απλή εφαρμογή των τύπων. Για το Β μέρος πάρε για βοήθεια το σχήμα:Μπορει να βοηθήσει κανεις σε αυτή την άσκηση;;;;;
Σε δυο σημεια Π1,Π2 τησ αρχικα ηρεμης επιφανειας ενος υγρου,που απεχουν Π1Π2=4m βρίσκονται δυο συγχρονες πηγες αμονικων κυματων .Οι πηγες αρχιζουν να ταλαντωνονται ταυτοχρονα τη χρονικη στιγμη t=0 δημιουργωντας αρμονικα κυματα πλατους Α=2 *10⁻²m και συχνοτητας f=5hz.Η ταχυτητα διαδοσης των κυματων ειναι u=20m/s.
A.Ε να σημειο της επιφανειας του υγρου απεχςει απο τις πηγες αποσταση r1=5m και r2=4m.
a.Να υπολογισετε το πλατος της ταλαντωσης του σημειου Μ μετα τη συμβολη των δυο κυματων.
β.Να γραψετε την εξισωση της απομακρυνσης του σημειου Μ σε συναρτηση με το χρονο μετα τη συμβολη τψν δυο κυματων.
γΝα υπολογισετε την ταχυτητα του σημειου Μ σε συναρτηση με το χρονο μετα τη συμβολη τψν δυο κυματων
Β.Μ εταβαλλουμε τη συχνοτητα των δυο πηγων ωστε να παραμενουω συγχρονες με απο τέλεσμα στη νοητη κυκλικη περιφερια διαμετρου Π1Π2 να υπάρχουν συνιλικα 8 σημεια ενισχυτικης συμβολής.Α τα δυο εξ'αυτων ειναι τα σημεια Π1 Π2
δ.να υπολογισετε τη μεταβολη τπυ μηκους των κυμάτων.
ε.να κανετε τη γραφικη παρασταση του πλατους των σημειων τπυ τμηματος Π1Π2 σε συναρτηση με την αποσταση του απο το σημειο Π1
Σημείωση: Το μήνυμα αυτό γράφτηκε 13 χρόνια πριν. Ο συντάκτης του πιθανόν να έχει αλλάξει απόψεις έκτοτε.
 
								 
								Σημείωση: Το μήνυμα αυτό γράφτηκε 13 χρόνια πριν. Ο συντάκτης του πιθανόν να έχει αλλάξει απόψεις έκτοτε.
drosos
Πολύ δραστήριο μέλος
 
								 
								α)
β)
γ)
στο β μερος με την βοηθεια του σχηματος του ΔΙΑ μετρας τις αποστασεις των σημειων ενισχυτικης συμβολης(λ'/4+λ'/4...) και καταληγεις λογικα 8λ'/4=4(αν ξερω να μετραω) αφου Π1Π2=4m

Σημείωση: Το μήνυμα αυτό γράφτηκε 13 χρόνια πριν. Ο συντάκτης του πιθανόν να έχει αλλάξει απόψεις έκτοτε.
Dias
Επιφανές μέλος
 
								 
								Αν εννοείς και ότι ο κύλινδρος έχει αμελητέο πάχος, είναι όπως στο βιβλίο (εφαρμογή) ο υπολογισμός για λεπτό δακτύλιο:Αποδειξη του τυπου της ροπης αδρανειας κοιλου κυλινδρου.Μπορει να βοηθησει κανεις;
Ι = ΜR².
Γιατί 1/4 και όχι 9/8 = (r1+r2)/2λ ?λ=4m,ω=10π r/s
α)
β)
γ)]={10}^{-1}\pi 2\sqrt{2}\eta \mu 2\pi (5t-0.25))
(Δεν...). Νομίζω ότι είναι 8λ'/4 = 2λ'.7λ'/4=4(αν ξερω να μετραω) αφου Π1Π2=4m
 
	Σημείωση: Το μήνυμα αυτό γράφτηκε 13 χρόνια πριν. Ο συντάκτης του πιθανόν να έχει αλλάξει απόψεις έκτοτε.
 
								 
								Σημείωση: Το μήνυμα αυτό γράφτηκε 13 χρόνια πριν. Ο συντάκτης του πιθανόν να έχει αλλάξει απόψεις έκτοτε.
drosos
Πολύ δραστήριο μέλος
 
								 
								Σημείωση: Το μήνυμα αυτό γράφτηκε 13 χρόνια πριν. Ο συντάκτης του πιθανόν να έχει αλλάξει απόψεις έκτοτε.
 
								 
								Φαντάζομαι θα θέλεις να κυλάει, άρα θέλεις την ροπή ως προς τον άξονα συμμετρίας του και επίσης φαντάζομαι θέλεις να είναι και ομογενής (πυκνότητας ρ).Οχι με αμελητεο παχος. Κανονικος κυλος κυλινδρος
R1/R2 εσωτερική/εξωτερική ακτίνα, L μήκος κυλίνδρου. dm στοιχειώδης μάζα του
Στις κυλινδρικές
ΥΓ: Αυτά δεν είναι για μάθημα λυκείου έτσι;
Σημείωση: Το μήνυμα αυτό γράφτηκε 13 χρόνια πριν. Ο συντάκτης του πιθανόν να έχει αλλάξει απόψεις έκτοτε.
 
								 
								Δεν εχω πολυπιασει αυτα με τις διαστασεις και γι αυτο ειπα να απευθυνθω στο forum.Σ ευχαριστω.
Σημείωση: Το μήνυμα αυτό γράφτηκε 13 χρόνια πριν. Ο συντάκτης του πιθανόν να έχει αλλάξει απόψεις έκτοτε.
Dias
Επιφανές μέλος
 
								 
								Nομίζω ότι μπορεί να βγει και με γνώσεις λυκείου (αν θεωρήσουμε γνωστό ότι για τον γεμάτο κύλινδρο Ι = ½ΜR²):ΥΓ: Αυτά δεν είναι για μάθημα λυκείου έτσι;
Σημείωση: Το μήνυμα αυτό γράφτηκε 13 χρόνια πριν. Ο συντάκτης του πιθανόν να έχει αλλάξει απόψεις έκτοτε.
νατ
Εκκολαπτόμενο μέλος
 
								 
								To A μέρος είναι απλή εφαρμογή των τύπων. Για το Β μέρος πάρε για βοήθεια το σχήμα:

Εκανα και γω ενα σχημα και βρηκα 7λ/4 στο δικο σου ομως οντως ειναι 8..
Οπότε η μεταβολή του μήκους κύματος θα είναι λ'-λ=0,5-4=-3,5 ;;
Σημείωση: Το μήνυμα αυτό γράφτηκε 13 χρόνια πριν. Ο συντάκτης του πιθανόν να έχει αλλάξει απόψεις έκτοτε.
νατ
Εκκολαπτόμενο μέλος
 
								 
								Βασικά στ αερωτηματα γ και Β

Το στιγμιοτυπο του κυματος παριστανει την απομακρυνση των σημειων ενος ομογενους γραμμικου ελαστικου μεσου σε συναρτηση με τη θεση τους τη χρονικη στιγμη t=t1
Aν t1=3,5s kai to stigmiotypo αναφερετε σε εγκαρσιο απμονικο κυμα το οποιο διαδιδεται στο ελαστικο μεσο προς τα δεξια ετσι ωστε το σημειο που βρισκεται στην θεση χ=0 να αρχιζει να ταλαντωνεται κινουμενο προς τη θετικη κατευθυνση τη χρινικη στιγμη t=0 ξεκινωντας απο τη θεση ισοροπιας
Α.α.να γραψετε την εηισωση του κυματος
β.να κανετε την γ.π. της φασης της ταλάντωσης του σημειου κ(Χκ=4m_ μετα την εναρξη της ταλαντωσης του.
γ. να υπολογισετε την απομακρυνση οποιουδηποτε σημειου του ελαστικου μεσου 0,25s μετα την εναρξη της ταλαντωσης του.
Β.Αν τt1=1,25s το στιγμιοτυπο αναφερετε σε στασιμο κυμα το οποιο εχει δημιουργηθει στ ελαστικο μέσο ετσι ώστε το σημειο που βρισκεται στη θεση χ=0 να ειναι κοιλια που τη χρονικη στιγμη t=0 ειναι στη θεση ισοροπιας κινουμενη κατα τη θετικη κατευυνση
δ.να γραψετε την εψισψση του στασιμου κυματος
ε.να υπολογισετε τη μεγιστη και την ελαχιστη αποσταση μεταξυ ενος δεσμου και της γειτονικης του κοιλιας.
(στο σχημα δεν φαινεται καλα Α=0,5m ,x=7m)
Σημείωση: Το μήνυμα αυτό γράφτηκε 13 χρόνια πριν. Ο συντάκτης του πιθανόν να έχει αλλάξει απόψεις έκτοτε.
qwerty111
Πολύ δραστήριο μέλος
 
								 
								Σημείωση: Το μήνυμα αυτό γράφτηκε 13 χρόνια πριν. Ο συντάκτης του πιθανόν να έχει αλλάξει απόψεις έκτοτε.
νατ
Εκκολαπτόμενο μέλος
 
								 
								Σημείωση: Το μήνυμα αυτό γράφτηκε 13 χρόνια πριν. Ο συντάκτης του πιθανόν να έχει αλλάξει απόψεις έκτοτε.
qwerty111
Πολύ δραστήριο μέλος
 
								 
								Σημείωση: Το μήνυμα αυτό γράφτηκε 13 χρόνια πριν. Ο συντάκτης του πιθανόν να έχει αλλάξει απόψεις έκτοτε.
Χαρουλιτα
Διάσημο μέλος
 
								 
								Α.γ.
Για t = 0,25 παρατηρουμε οτι ειναι Τ/4! Αρα παμε στην αρχικη και βαζουμε οπου Τ το Τ/4 και το βρισκουμε...
Β. Δεν βγαζω νοημα, ισως επειδη ειμαι κουρασμενη....
Σημείωση: Το μήνυμα αυτό γράφτηκε 13 χρόνια πριν. Ο συντάκτης του πιθανόν να έχει αλλάξει απόψεις έκτοτε.
Dias
Επιφανές μέλος
 
								 
								8λ'/4 = 4m => λ' = 2mΟπότε η μεταβολή του μήκους κύματος θα είναι λ'-λ=0,5-4=-3,5 ;;
Δεν ξέρω αν εννοείς κάτι άλλο, αλλά η απόσταση μεταξύ ενός δεσμού και της γειτονικής του κοιλίας είναι πάντα λ/4.να υπολογισετε τη μεγιστη και την ελαχιστη αποσταση μεταξυ ενος δεσμου και της γειτονικης του κοιλιας
Ισχύει.Άρα, αν άξονας και δύναμη βρίσκονται στο ίδιο επίπεδο, η ροπή είναι πάντα μηδέν, έτσι;
Τ = 2s => t = 0,25s = T/8Για t = 0,25 παρατηρουμε οτι ειναι Τ/4!
 
	Σημείωση: Το μήνυμα αυτό γράφτηκε 13 χρόνια πριν. Ο συντάκτης του πιθανόν να έχει αλλάξει απόψεις έκτοτε.
νατ
Εκκολαπτόμενο μέλος
 
								 
								8λ'/4 = 4m => λ' = 2m
Δεν ξέρω αν εννοείς κάτι άλλο, αλλά η απόσταση μεταξύ ενός δεσμού και της γειτονικής του κοιλίας είναι πάντα λ/4.

Εκανα ενα μικρο λάθος και εδωσα την αποσταση Π1Π1=4m ενω κανινικα ειναι Π1Π1=1m
Το γνωριζω αυτο αλλα μπερδεύτικα με την εκφωνηση .Ειναι ακριβως οπως την εγραψα η ασκηση αλλα δεν καταλάβαινα τι ζητάει.
Σημείωση: Το μήνυμα αυτό γράφτηκε 13 χρόνια πριν. Ο συντάκτης του πιθανόν να έχει αλλάξει απόψεις έκτοτε.
 
								 
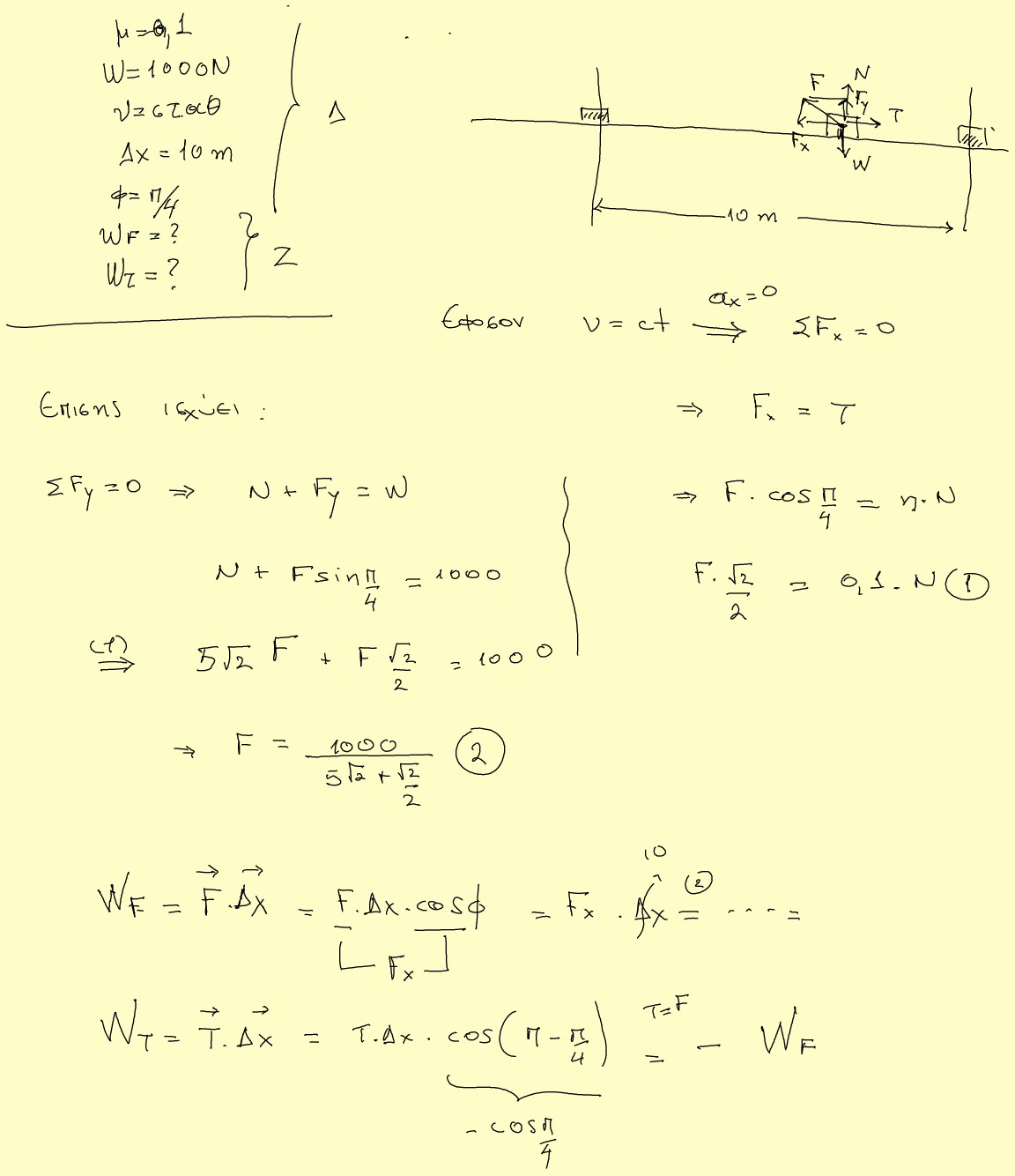
								η απαντηση ειναι 272,7j kai -272,7 j αντιστοιχα.
Δεν βγαζω αυτα τα αποτελεσματα και θα ηθελα καποιος αν γινεται να την λυσει και να μου πει τι βγαζει.
Ευχαριστω.
Σημείωση: Το μήνυμα αυτό γράφτηκε 13 χρόνια πριν. Ο συντάκτης του πιθανόν να έχει αλλάξει απόψεις έκτοτε.
 
								 
								Σημείωση: Το μήνυμα αυτό γράφτηκε 13 χρόνια πριν. Ο συντάκτης του πιθανόν να έχει αλλάξει απόψεις έκτοτε.
diaryofdreams
Νεοφερμένο μέλος
Χρήστες Βρείτε παρόμοια
- 
				Τα παρακάτω 0 μέλη και 0 επισκέπτες διαβάζουν μαζί με εσάς αυτό το θέμα:Tα παρακάτω 310 μέλη διάβασαν αυτό το θέμα:- Georgiaaa_
- friesnchocolate
- eftria
- Magigi
- Chrisphys
- BillyTheKid
- ck_chrysiis
- trifasikodiavasma
- GV221
- myrtle09
- Unboxholics
- Μήτσος10
- jellojina
- Hased Babis
- Joji
- Corfu kitty
- Maynard
- BatGuin
- KonstantinosP
- jYanniss
- exotic xo
- Qwerty 0
- userguest
- ioanna2007
- suaimhneas
- Debugging_Demon
- panosT436
- bibliofagos
- Scandal
- bboys
- georgetherrr
- Ness
- sophiaa
- mir
- Than003
- Vasilis125
- synthnightingale
- sakplat
- iiTzArismaltor_
- thepigod762
- Nala
- Γατέχων
- vasilis2000
- peter347
- Sofos Gerontas
- chester20080
- woasibe
- angela_k
- BiteTheDust
- Startx0
- MR WHITE
- Panatha mono
- bill09876
- Wonderkid
- Marel
- Chris180
- Claire05
- TheNorth
- estrela
- Marianna.diamanti
- love_to_learn
- carnage
- sotirislk
- ένας τυχαίος
- Lifelong Learner
- Jimpower
- Kate1914
- phleidhs
- Chemwizard
- Mara2004
- GeorgeKarag
- phoni
- Mary06
- Lia 2006
- Νομάρχης
- Γιώτα Γιαννακού
- PanosApo
- Ilovemycats27
- Jesse_
- Leo komm
- Anonymous1
- giannis256
- spring day
- Mewmaw
- Mariamar
- Pharmacist01
- Kitana
- Vicky13
- mitskification
- ΜΑΡΙΠΟΖΑ
- denjerwtithelwhelp
- Abiogenesis
- arko
- arapakos
- Marcos.Kis
- Nick_nt
- Alexecon1991
- Physicsstudent
- anna05
- katia.m
- Deneimaikala
- shezza94
- Fanimaid123
- το κοριτσι του μαη
- user-2
- tsiobieman
- Alex53
- Helen06
- T C
- eukleidhs1821
- VFD59
- xrisamikol
- lepipini
- ioanna06
- PanosBat
- rempelos42
- koukdespoina2004
- Antzie
- george777
- User2350
- qwertyuiop
- marioushi
- Nic Papalitsas
- menual
- oups
- Applepie
- eirinipap
- Jojo K
- ggl
- margik
- desp1naa
- walterrwhite
- JoannaVas
- ismember
- P.Dam.
- Χάρις
- penelopenick
- rosemary
- Steliosgkougkou
- the purge
- AnnaRd
- Signor Positivo
- onion
- cinnamongirl
- mister
- thenutritionist
- angies
- sophia<3
- Peter Pan13
- angeloskar
- Georgek7
- tapeinoxamomilaki
- Ιωάννης1234
- Praxis
- Mariahj
- Τρελας123
- Sherlockina
- Παναρας
- DimitrisGk
- Ελεν
- giannhs2001
- Idontknoww
- anakiriak@yahoo
- mpapa
- BlackBetty97
- ager
- kost28
- Eirinakiii8
- Cat lady
- Marple
- χημεια4λαιφ
- Apocalypse
- Valeris
- Vask
- Ioanna98
- ougka pougka
- GeorgePap2003
- Johanna Mark
- bruh_234
- augustine
- alpha.kappa
- Hermione granger
- constansn
- emilyfan85
- 2005
- George.S
- Dion G.
- SlimShady
- Corn90
- Meow
- Phys39
- Nick0007
- Nikoletaant
- Ameliak
- beckyy
- Rina
- Lathy
- Eleni:
- Specon
- elenaaa
- Αντικειμενικός
- Mariaathens
- panosveki
- Superhuman
- GStef
- Gewrgia!
- papa2g
- Σωτηρία
- antonis97
- Georgekk
- Dora140303
- vetas
- _Aggelos123
- Κώστας 7708
- Alexandros973
- Cortes
- Katerinaki13
- Jimmy20
- igeorgeoikonomo
- KaterinaL
- thecrazycretan
- alexandra_
- StavMed
 
- 
				 Φορτώνει...
- 
		
		Το forum μας χρησιμοποιεί cookies για να βελτιστοποιήσει την εμπειρία σας.
 Συνεχίζοντας την περιήγησή σας, συναινείτε στη χρήση cookies στον περιηγητή σας.
 Αρχική Forum
 Αρχική Forum
					 Ρωτήστε κάτι
 Ρωτήστε κάτι
					 Προσωπικές Συζητήσεις
 Προσωπικές Συζητήσεις
					 Πανελλαδικές
 Πανελλαδικές
						 Αγγελίες
 Αγγελίες
						 Συνδεδεμένοι Χρήστες
 Συνδεδεμένοι Χρήστες
					 Λίστα Αποκλεισμένων
 Λίστα Αποκλεισμένων
					 Υπεύθυνοι του Forum
 Υπεύθυνοι του Forum
					 e-steki
e-steki 
	
	 
 
		 
 
		 
 
		 
 
		 
 
		 
 
		 
			
