NikosChatzoglou Εκκολαπτόμενο μέλος Ο NikosChatzoglou αυτή τη στιγμή δεν είναι συνδεδεμένος. Έχει γράψει 275 μηνύματα. 18 Νοεμβρίου 2022 στις 21:52 Ο NikosChatzoglou: #1 18-11-22 21:52 Θα μπορούσε κάποιος να λύσει την εκθετική ανίσωση που βρίσκεται στο συνημμένο; Συνημμένα εκθετική.docx εκθετική.docx 11,2 KB · Εμφανίσεις: 195 Magigi Εκκολαπτόμενο μέλος Η Magigi αυτή τη στιγμή δεν είναι συνδεδεμένη. Είναι Φοιτήτρια του τμήματος Χημείας Πατρών. Έχει γράψει 129 μηνύματα. 18 Νοεμβρίου 2022 στις 22:14 Η Magigi έγραψε: #2 18-11-22 22:14 Αρχική Δημοσίευση από NikosChatzoglou: Θα μπορούσε κάποιος να λύσει την εκθετική ανίσωση που βρίσκεται στο συνημμένο; Click για ανάπτυξη... Συνημμένα 20221118_221207.jpg 856,3 KB · Εμφανίσεις: 226 Guest 765889 Επισκέπτης Ο/Η @ αυτή τη στιγμή δεν είναι συνδεδεμέν@. Είναι διαγραμμένος λογαριασμός. 18 Νοεμβρίου 2022 στις 22:17 Ο Guest 765889: #3 18-11-22 22:17 Με πρόλαβες χαχαααχ NikosChatzoglou Εκκολαπτόμενο μέλος Ο NikosChatzoglou αυτή τη στιγμή δεν είναι συνδεδεμένος. Έχει γράψει 275 μηνύματα. 18 Νοεμβρίου 2022 στις 22:55 Ο NikosChatzoglou: #4 18-11-22 22:55 Χίλια Ευχαριστώ Συνδεθείτε ή εγγραφείτε για να απαντήσετε εδώ. Χρήστες Βρείτε παρόμοια Τα παρακάτω 0 μέλη και 2 επισκέπτες διαβάζουν μαζί με εσάς αυτό το θέμα: Tα παρακάτω 40 μέλη διάβασαν αυτό το θέμα: Magigi bill09876 Helen06 ismember marioushi cinnamongirl NikosChatzoglou Lia 2006 desp1naa oups Steliosgkougkou eukleidhs1821 spring day KingOfPop ggl Philologist User2350 tsiobieman Nic Papalitsas anastasia papa Unboxholics katia.m Maynard Applepie Φορτώνει... Μοιραστείτε: Facebook X Bluesky LinkedIn Reddit Pinterest Tumblr WhatsApp Email Μοιραστείτε Link ΑΠΑΝΤΗΣΗ
Magigi Εκκολαπτόμενο μέλος Η Magigi αυτή τη στιγμή δεν είναι συνδεδεμένη. Είναι Φοιτήτρια του τμήματος Χημείας Πατρών. Έχει γράψει 129 μηνύματα. 18 Νοεμβρίου 2022 στις 22:14 Η Magigi έγραψε: #2 18-11-22 22:14 Αρχική Δημοσίευση από NikosChatzoglou: Θα μπορούσε κάποιος να λύσει την εκθετική ανίσωση που βρίσκεται στο συνημμένο; Click για ανάπτυξη... Συνημμένα 20221118_221207.jpg 856,3 KB · Εμφανίσεις: 226 Guest 765889 Επισκέπτης Ο/Η @ αυτή τη στιγμή δεν είναι συνδεδεμέν@. Είναι διαγραμμένος λογαριασμός. 18 Νοεμβρίου 2022 στις 22:17 Ο Guest 765889: #3 18-11-22 22:17 Με πρόλαβες χαχαααχ NikosChatzoglou Εκκολαπτόμενο μέλος Ο NikosChatzoglou αυτή τη στιγμή δεν είναι συνδεδεμένος. Έχει γράψει 275 μηνύματα. 18 Νοεμβρίου 2022 στις 22:55 Ο NikosChatzoglou: #4 18-11-22 22:55 Χίλια Ευχαριστώ Συνδεθείτε ή εγγραφείτε για να απαντήσετε εδώ. Χρήστες Βρείτε παρόμοια Τα παρακάτω 0 μέλη και 2 επισκέπτες διαβάζουν μαζί με εσάς αυτό το θέμα: Tα παρακάτω 40 μέλη διάβασαν αυτό το θέμα: Magigi bill09876 Helen06 ismember marioushi cinnamongirl NikosChatzoglou Lia 2006 desp1naa oups Steliosgkougkou eukleidhs1821 spring day KingOfPop ggl Philologist User2350 tsiobieman Nic Papalitsas anastasia papa Unboxholics katia.m Maynard Applepie Φορτώνει... Μοιραστείτε: Facebook X Bluesky LinkedIn Reddit Pinterest Tumblr WhatsApp Email Μοιραστείτε Link ΑΠΑΝΤΗΣΗ
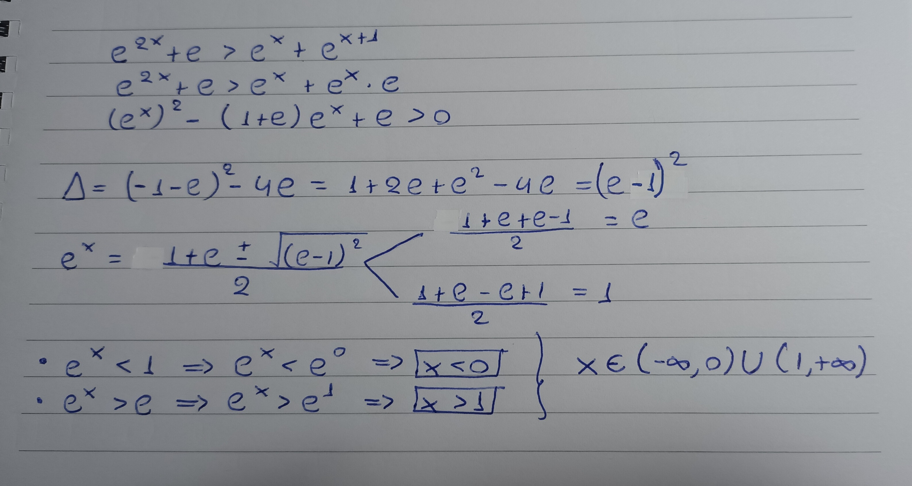
Αρχική Δημοσίευση από NikosChatzoglou: Θα μπορούσε κάποιος να λύσει την εκθετική ανίσωση που βρίσκεται στο συνημμένο; Click για ανάπτυξη...
Guest 765889 Επισκέπτης Ο/Η @ αυτή τη στιγμή δεν είναι συνδεδεμέν@. Είναι διαγραμμένος λογαριασμός. 18 Νοεμβρίου 2022 στις 22:17 Ο Guest 765889: #3 18-11-22 22:17 Με πρόλαβες χαχαααχ NikosChatzoglou Εκκολαπτόμενο μέλος Ο NikosChatzoglou αυτή τη στιγμή δεν είναι συνδεδεμένος. Έχει γράψει 275 μηνύματα. 18 Νοεμβρίου 2022 στις 22:55 Ο NikosChatzoglou: #4 18-11-22 22:55 Χίλια Ευχαριστώ Συνδεθείτε ή εγγραφείτε για να απαντήσετε εδώ.
NikosChatzoglou Εκκολαπτόμενο μέλος Ο NikosChatzoglou αυτή τη στιγμή δεν είναι συνδεδεμένος. Έχει γράψει 275 μηνύματα. 18 Νοεμβρίου 2022 στις 22:55 Ο NikosChatzoglou: #4 18-11-22 22:55 Χίλια Ευχαριστώ