Μαθηματικοί Γρίφοι

BaSO4

Δραστήριο μέλος

Η Δρ. Βουλίδης αυτή τη στιγμή δεν είναι συνδεδεμένη. Είναι Φοιτήτρια του τμήματος Μηχανολόγων Μηχανικών ΑΠΘ. Έχει γράψει 754 μηνύματα.
ωραιο θεματακι.οντως 1/3 βγαινει.παμε μια συντομη αποδειξη.
το γραμμοσκιασμενο τριγωνο με το ακριβως απο πανω ειναι ομοια διοτι εχουν 2 γωνιες ισες ως κατακορυφην και εντος εναλλαξ αντιστοιχα. επομενως ας ονομασουμε το γραμμοσκιασμο Ε1 και το απο πανω Ε2. Ε1/Ε2= 4 ισουται με το τετραγωνο του λογου ομοιοτητας. επομενως Ε2=Ε1/4
παμε τωρα Ε1=Ε(το ολικο)-το ενα ορθογωνιο τριγωνο-το αλλο τριγωνο που μενει=Ε-Ε/2-(Το ορθογωνιο τριγωνιο-Ε2)=Ε/2-Ε/4+Ε1/4
Ε1/Ε=1/2-1/4+1/4 Ε1/Ε λυνοντας με αγνωστο το Ε1/Ε βγαινει 1/3
Ή πιο απλά κάπως έτσι; (Που ουσιαστικά είναι παρόμοια η λογική)
99238FDD-40D7-47DE-8C0A-E7332D42F7D2.jpeg
 

eukleidhs1821

Διάσημο μέλος

Ο eukleidhs1821 αυτή τη στιγμή δεν είναι συνδεδεμένος. Είναι Πτυχιούχος του τμήματος Ιατρικής Ιωαννίνων (Ιωάννινα) και μας γράφει από Καινούργιο (Ηράκλειο). Έχει γράψει 3.965 μηνύματα.

BaSO4

Δραστήριο μέλος

Η Δρ. Βουλίδης αυτή τη στιγμή δεν είναι συνδεδεμένη. Είναι Φοιτήτρια του τμήματος Μηχανολόγων Μηχανικών ΑΠΘ. Έχει γράψει 754 μηνύματα.
Τελευταία επεξεργασία:

eukleidhs1821

Διάσημο μέλος

Ο eukleidhs1821 αυτή τη στιγμή δεν είναι συνδεδεμένος. Είναι Πτυχιούχος του τμήματος Ιατρικής Ιωαννίνων (Ιωάννινα) και μας γράφει από Καινούργιο (Ηράκλειο). Έχει γράψει 3.965 μηνύματα.
Εφόσον τα δυο τρίγωνα είναι όμοια δε θα έχουν και όμοια ύψη; Μπορεί όντως να είναι λάθος, απλώς ρωταω μήπως γίνεται και έτσι
ναι εχεις δικιο.....ειναι πορισμα αυτο οτι ισουται με το λογο ομοιοτητας των ομολογων υψων αλλα και αν παρεις τα επιμερους ορθογωνια τριγωνα οντως ειναι ετσι
Αυτόματη ένωση συνεχόμενων μηνυμάτων:

Ή πιο απλά κάπως έτσι; (Που ουσιαστικά είναι παρόμοια η λογική)
View attachment 105475
πρακτικα κανουμε την ιδια λυση απλα εγω δεν ασχολουμαι να υπολογισω το εμβαδον και χτυπαω κατευθειαν στο ψαχνο αξιοποιωντας λογους εμβαδων εσυ το πας με πιο γυμνασιακο τροπο να βρεις ποσο ειναι το υψος και οδηγεισαι μεσω αυτου στο αποτελεσμα.επειδη λιγοι θα θυμουνται λογους εμβαδων οτι ειναι το τετραγωνο του λογου ομοιοτητας καλυτερα να το κανει καποιος ετσι οπως εσυ
 
Τελευταία επεξεργασία:

Guest 586541

Επισκέπτης

αυτή τη στιγμή δεν είναι συνδεδεμέν. Δεν έχει γράψει κανένα μήνυμα.
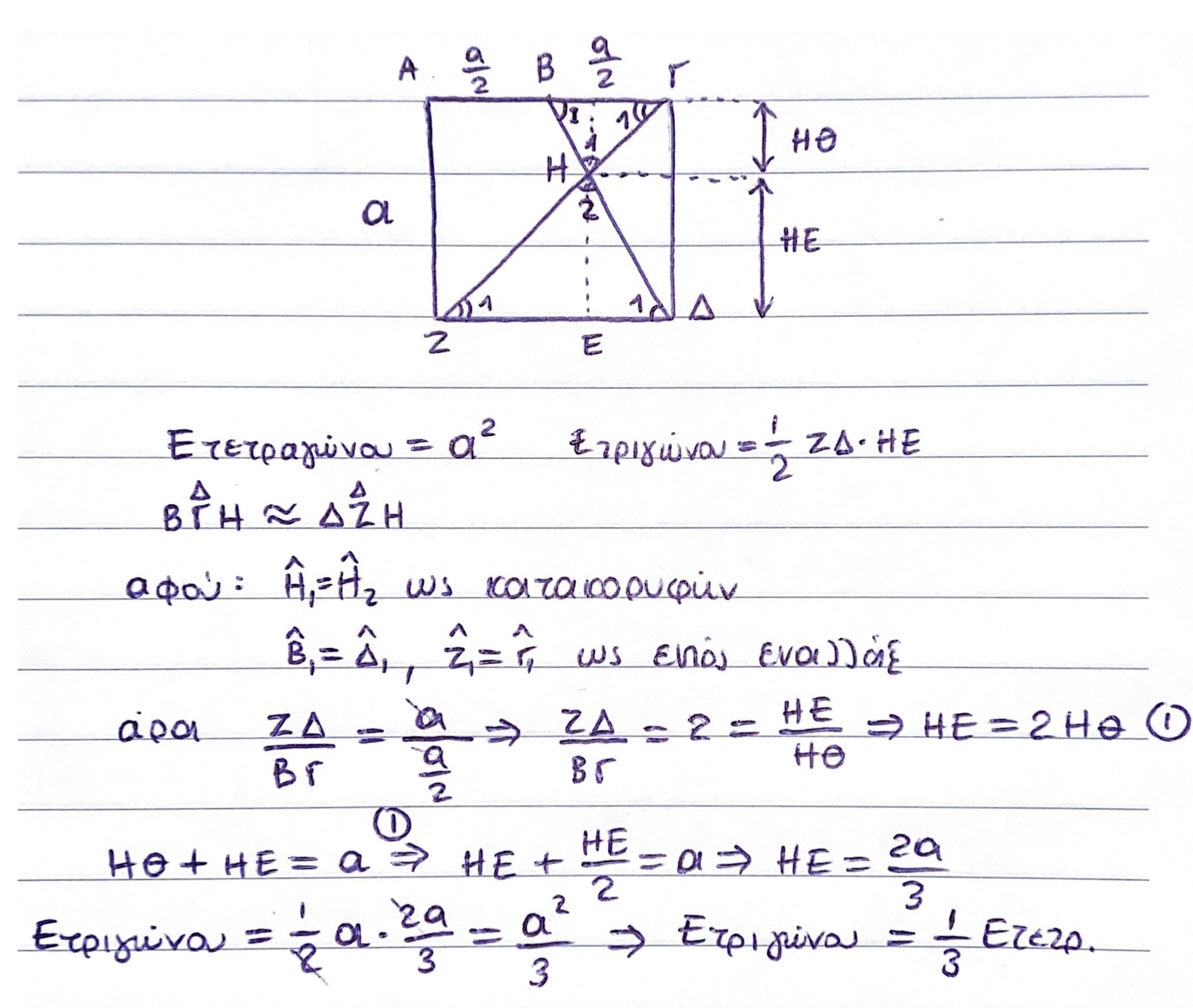
Υπάρχουν πολλοί τρόποι για το συγκεκριμένο πρόβλημα, αυτός που παρουσίασε ο Ευκλείδης φαντάζει ο συντομότερος. Προσπαθώντας να βρω και άλλους λίγο πριν κατέληξα σε αυτόν λίγο-πολύ με το μάτι, πράξεις δεν έχω κάνει, ωστόσο πρέπει να βγαίνει:

Υπολογίζεις το εμβαδόν του τριγώνου που περικλείεται από την διαγώνιο (ολόκληρο, όχι μόνο το γραμμοσκιασμένο).

Έπειτα κάνεις το εξής:

Φέρνεις κάθετη στις οριζόντιες πλευρές που άγεται από τα μέσα τους.

Υπολογίζεις το εμβαδόν του τριγώνου που πρέπει να αφαιρεθεί μέσω της ομοιότητας που έχει με το άλλο τρίγωνο που έχει κατακορυφήν γωνία με αυτό (και δημιουργήθηκε λόγω της χάραξης βοηθητικής). Με κυνήγι γωνιών έχουν ίσες γωνίες. Για τις μεγάλες πλευρές ισχύει ότι η μία είναι διπλάσια της άλλης. Εύκολα έτσι υπολογίζεις το ύψος του και ακόλουθα το εμβαδόν του. Με απλή αφαίρεση και παίρνοντας τον λόγο προκύπτει έπειτα το ζητούμενο.
 

eukleidhs1821

Διάσημο μέλος

Ο eukleidhs1821 αυτή τη στιγμή δεν είναι συνδεδεμένος. Είναι Πτυχιούχος του τμήματος Ιατρικής Ιωαννίνων (Ιωάννινα) και μας γράφει από Καινούργιο (Ηράκλειο). Έχει γράψει 3.965 μηνύματα.
Υπάρχουν πολλοί τρόποι για το συγκεκριμένο πρόβλημα, αυτός που παρουσίασε ο Ευκλείδης φαντάζει ο συντομότερος. Προσπαθώντας να βρω και άλλους λίγο πριν κατέληξα σε αυτόν λίγο-πολύ με το μάτι, πράξεις δεν έχω κάνει, ωστόσο πρέπει να βγαίνει:
Υπολογίζεις το εμβαδόν του τριγώνου που περικλείεται από την διαγώνιο (ολόκληρο, όχι μόνο το γραμμοσκιασμένο).

Έπειτα κάνεις το εξής:

Φέρνεις κάθετη στις οριζόντιες πλευρές που άγεται από τα μέσα τους.

Υπολογίζεις το εμβαδόν του τριγώνου που πρέπει να αφαιρεθεί μέσω της ομοιότητας που έχει με το άλλο τρίγωνο που έχει κατακορυφήν γωνία με αυτό (και δημιουργήθηκε λόγω της χάραξης βοηθητικής). Με κυνήγι γωνιών έχουν ίσες γωνίες. Για τις μεγάλες πλευρές ισχύει ότι η μία είναι διπλάσια της άλλης. Εύκολα έτσι υπολογίζεις το ύψος του και ακόλουθα το εμβαδόν του. Με απλή αφαίρεση και παίρνοντας τον λόγο προκύπτει έπειτα το ζητούμενο.
γραψτο λιγο αναλυτικα γτ ετσι δεν καταλαβαινει καποιος πολλα
 

Guest 586541

Επισκέπτης

αυτή τη στιγμή δεν είναι συνδεδεμέν. Δεν έχει γράψει κανένα μήνυμα.
γραψτο λιγο αναλυτικα γτ ετσι δεν καταλαβαινει καποιος πολλα
Βήμα 1

Υπολογίζεις το εμβαδό όλου του τριγώνου που ορίζεται από την διαγώνιο που βλέπει βορειοανατολικά (αυτήν που είναι έτοιμη).

Βήμα 2

Χαράζεις ευθεία η οποία είναι κάθετη στις δύο "οριζόντιες" ευθείες και περνά από τα κέντρα τους (σχηματίζοντας το νέο τρίγωνο που μας ενδιαφέρει).

Βήμα 3

Για να υπολογίσεις το εμβαδόν του γραμμοσκιασμένου πρέπει να αφαιρέσεις το εμβαδόν του τριγώνου του βήματος 1 με αυτό του μη γραμμοσκιασμένου τριγώνου που είναι μέρος του.

Για να το υπολογίσεις παρατηρείς ότι είναι όμοιο με αυτό που ανέφερα στο βήμα 2 (λόγω ισότητας γωνιών,έχουν και μία κατακορυφήν, που εύκολα αποδεικνύεται).

Υπόλοιπα Βήματα

Από εκεί και πέρα τα πράγματα είναι απλά, υπολογίζεις το ύψος του τριγώνου αυτού συναρτήσει της πλευράς του τετραγώνου, υπολογίζεις το γραμμοσκιασμένο και παίρνεις τον λόγο γραμμοσκιασμένου-τετραγώνου.
 
Επεξεργάστηκε από συντονιστή:

Χρήστες Βρείτε παρόμοια

Top