Eleni12
Νεοφερμένο μέλος
Η Eleni12 αυτή τη στιγμή δεν είναι συνδεδεμένη. Είναι 20 ετών και Μαθήτρια Β' λυκείου. Έχει γράψει 12 μηνύματα.
20-05-21
15:42
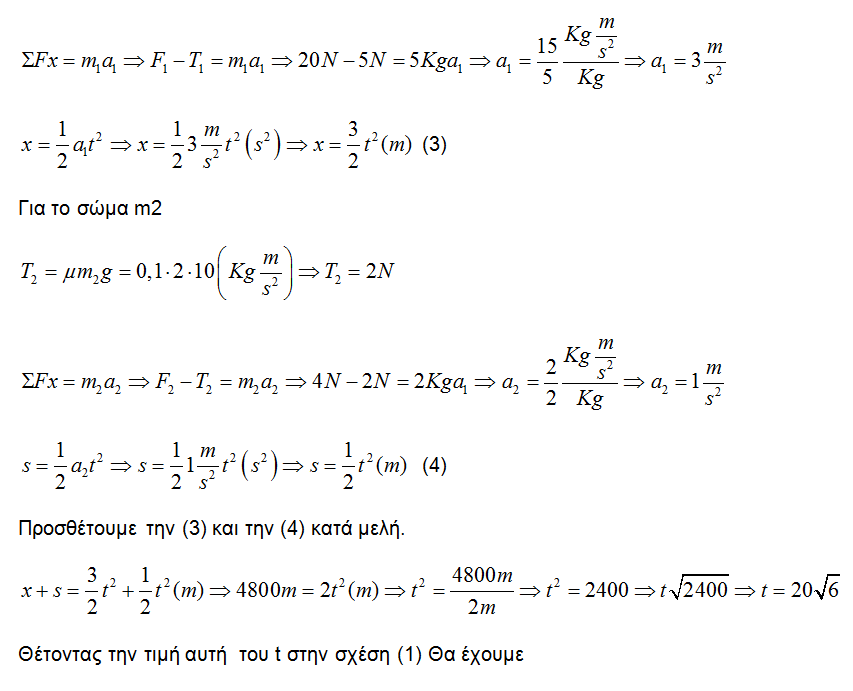
Διάγραμμα απόστασης-χρόνουEleni εκει στην 1η ασκηση στο (β) ερωτημα που λεει διαγραμμα s-t, ξερεις τι εννοει?
Samael
Τιμώμενο Μέλος
Ο Samael αυτή τη στιγμή δεν είναι συνδεδεμένος. Είναι 26 ετών, Πτυχιούχος του τμήματος Ηλεκτρολόγων & Ηλεκτρονικών Μηχανικών ΠΑΔΑ και μας γράφει από Πειραιάς (Αττική). Έχει γράψει 12.124 μηνύματα.
20-05-21
15:42
Ναι αλλα οταν εχεις δυο σώματα ποιο ειναι το σημειο αναφορας σου για να φτιάξεις το χ-t;
μηπως θετεις ως μηδεν και τα δυο σημεια εναρξης;
Οι διάφορες ποσότητες διατηρούν την φυσική τους σημασία ανεξάρτητα της εκλογής αξόνων και του συστήματος αναφοράς γενικότερα. Επομένως εννοείται οτι πάντα επιλέγεις ένα σύστημα αναφοράς έτσι ώστε να μπορεί να λάβει μέρος η μαθηματική επεξεργασία του προβλήματος. Και εφόσον όλα τα συστήματα είναι ισοδύναμα μεταξύ τους, επιλέγεις αυτό που σου κάνει την ζωή πιο εύκολη, εκτός εαν σου λένε διαφορετικά(που συνήθως δεν σου λένε ποτέ).
Eustace
Εκκολαπτόμενο μέλος
Η Eustace αυτή τη στιγμή δεν είναι συνδεδεμένη. Έχει γράψει 172 μηνύματα.
20-05-21
15:44
Να ρωτησω κατι αλλο; Στις πανελληνιες πρεπει να τα γραφουμε τοσο αναλυτικα οσο ο T C; Δηλαδη πρεπει να λεμε "Θετω ως αρχικο σημειο το Α και ως τελικο το Γ" ή "εδω εχουμε ορθογωνιο τριγωνο" και τετοια;
ή φτανει το σχημα και οι αντιστοιχοι τυποι με τους σωστους συμβολισμους;
ή φτανει το σχημα και οι αντιστοιχοι τυποι με τους σωστους συμβολισμους;
T C
Εκκολαπτόμενο μέλος
Ο T C αυτή τη στιγμή δεν είναι συνδεδεμένος. Είναι Φοιτητής. Έχει γράψει 226 μηνύματα.
20-05-21
15:48
Αυτό με το Α,Γ Πρέπει να το αναφέρεις για να το καταλάβει αυτός που το διορθώνει μιας και τα σημεία δεν δίνονται απο την εκφώνηση. Το άλλο με το κεκλιμένο επιπεδο που είναι ορθογώνιο τρίγωνο το έγραψα για να το καταλάβει η Ελένη, πιστεύω οτι δεν είναι απαραίτητο να αναφερθείΝα ρωτησω κατι αλλο; Στις πανελληνιες πρεπει να τα γραφουμε τοσο αναλυτικα οσο ο T C; Δηλαδη πρεπει να λεμε "Θετω ως αρχικο σημειο το Α και ως τελικο το Γ" ή "εδω εχουμε ορθογωνιο τριγωνο" και τετοια;
ή φτανει το σχημα και οι αντιστοιχοι τυποι με τους σωστους συμβολισμους;
Samael
Τιμώμενο Μέλος
Ο Samael αυτή τη στιγμή δεν είναι συνδεδεμένος. Είναι 26 ετών, Πτυχιούχος του τμήματος Ηλεκτρολόγων & Ηλεκτρονικών Μηχανικών ΠΑΔΑ και μας γράφει από Πειραιάς (Αττική). Έχει γράψει 12.124 μηνύματα.
20-05-21
15:49
Να ρωτησω κατι αλλο; Στις πανελληνιες πρεπει να τα γραφουμε τοσο αναλυτικα οσο ο T C; Δηλαδη πρεπει να λεμε "Θετω ως αρχικο σημειο το Α και ως τελικο το Γ" ή "εδω εχουμε ορθογωνιο τριγωνο" και τετοια;
ή φτανει το σχημα και οι αντιστοιχοι τυποι με τους σωστους συμβολισμους;
Το να πλατειάζεις δεν είναι καλή ιδέα για ευνόητους λόγους. Χάνεις κρίσιμο χρόνο απο τα θέματα.
Απο την άλλη πρέπει να έχεις επαρκή αιτιολόγηση στο κάθε τι. Αυτό προδιαθέτει θετικά τον διορθωτή οτι δεν είσαι άσχετος και οτι δεν παπαγαλίζεις μεθοδολογίες, και φυσικά διευκολύνει και εσένα. Καθώς στην περίπτωση που χρειαστεί να γυρίσεις για να διορθώσεις κάτι, μπορείς εύκολα να διαβάσεις τις σκέψεις σου. Οπότε πρέπει να είσαι κάπου στην μέση. Ούτε διαβάζεις το πρόβλημα και ξεκινάς να γράφεις εξισώσεις,χωρίς ούτε μια πρόταση, αλλά ούτε γράφεις πάνω απο 2 γραμμές αιτιολόγηση στο κάθε τι σαν να δίνεις έκθεση και να προσπαθείς να δομήσεις παραγράφους. Είσαι σωστή εφόσον έχεις στην λύση σου : 1)Σαφήνεια , 2) Ακρίβεια , 3)Ορθότητα . Το παραπάνω μπλα μπλα δεν νομίζω να βαθμολογηθεί αρνητικά, αλλά σίγουρα μπορεί να επηρεάσει την βαθμολογία σου αφού σου αφήνει μικρά χρονικά περιθώρια να δουλέψεις την λύση που έχεις ήδη στο μυαλό σου και σαφώς θεωρείται πιο σημαντική.
Eleni12
Νεοφερμένο μέλος
Η Eleni12 αυτή τη στιγμή δεν είναι συνδεδεμένη. Είναι 20 ετών και Μαθήτρια Β' λυκείου. Έχει γράψει 12 μηνύματα.
20-05-21
15:50
Μπορείς να την ξανανεβασεις γιατί δεν φαίνεται καθαρά? Επίσης, είναι η 1η ή η 2η?Αυτόματη ένωση συνεχόμενων μηνυμάτων:
Μετα από κάποιες δυσκολίες καταφέρνω να την ανεβάσω
SlimShady
Πολύ δραστήριο μέλος
Ο Κωνσταντίνος αυτή τη στιγμή δεν είναι συνδεδεμένος. Είναι 21 ετών, Φοιτητής του τμήματος Νομικής ΕΚΠΑ και μας γράφει από Μελίσσια (Αττική). Έχει γράψει 963 μηνύματα.
20-05-21
15:52
Εάν είσαι συνδεδεμένη απο υπολογιστή, υπάρχει η δυνατότητα μεγέθυνσηςΜπορείς να την ξανανεβασεις γιατί δεν φαίνεται καθαρά? Επίσης, είναι η 1η ή η 2η?
T C
Εκκολαπτόμενο μέλος
Ο T C αυτή τη στιγμή δεν είναι συνδεδεμένος. Είναι Φοιτητής. Έχει γράψει 226 μηνύματα.
Eleni12
Νεοφερμένο μέλος
Η Eleni12 αυτή τη στιγμή δεν είναι συνδεδεμένη. Είναι 20 ετών και Μαθήτρια Β' λυκείου. Έχει γράψει 12 μηνύματα.
20-05-21
15:55
Ευχαριστώ πολύ. Εάν έχεις/έχετε κάνει και την 1η θα ήθελα να μου την στείλετε.
Eustace
Εκκολαπτόμενο μέλος
Η Eustace αυτή τη στιγμή δεν είναι συνδεδεμένη. Έχει γράψει 172 μηνύματα.
20-05-21
15:56
Το mgσυνφ εχει παρει λιγο τον λοξο τον δρομο ή ειναι η ιδεα μου;Άσκηση 2. Ξανά:

ιωαννηs
Επιφανές μέλος
Ο ιωαννηs αυτή τη στιγμή δεν είναι συνδεδεμένος. Είναι 25 ετών, Φοιτητής του τμήματος Πρόγραμμα Ιερατικών Σπουδών και μας γράφει από Πειραιάς (Αττική). Έχει γράψει 15.424 μηνύματα.
20-05-21
15:56
samael 1η λυκειου μαλλον ειναι ,οποτε δεν νομιζω οτι παιζουν δευτερες σκεψεις.
T C
Εκκολαπτόμενο μέλος
Ο T C αυτή τη στιγμή δεν είναι συνδεδεμένος. Είναι Φοιτητής. Έχει γράψει 226 μηνύματα.
20-05-21
15:58
Καθετο δεν το λες αλλα έχω πιει και 3 καφέδες απο το πρωι, οποτε δυσκολο να βγει ευθεια γραμμήΤο mgσυνφ εχει παρει λιγο τον λοξο τον δρομο ή ειναι η ιδεα μου;![]()


ιωαννηs
Επιφανές μέλος
Ο ιωαννηs αυτή τη στιγμή δεν είναι συνδεδεμένος. Είναι 25 ετών, Φοιτητής του τμήματος Πρόγραμμα Ιερατικών Σπουδών και μας γράφει από Πειραιάς (Αττική). Έχει γράψει 15.424 μηνύματα.
20-05-21
15:58
θα στην στειλω ελενη και την πρωτη τα διαγραμματα φτιαχνω ,αλλα γιατι δεν μας απαντας τι ειναι το χ-t και s-t?Ευχαριστώ πολύ. Εάν έχεις/έχετε κάνει και την 1η θα ήθελα να μου την στείλετε.
Eustace
Εκκολαπτόμενο μέλος
Η Eustace αυτή τη στιγμή δεν είναι συνδεδεμένη. Έχει γράψει 172 μηνύματα.
20-05-21
15:59
Σε καταλαβαινωΚαθετο δεν το λες αλλα έχω πιει και 3 καφέδες απο το πρωι, οποτε δυσκολο να βγει ευθεια γραμμή![]()
Χρήστες Βρείτε παρόμοια
-
Τα παρακάτω 0 μέλη και 1 επισκέπτες διαβάζουν μαζί με εσάς αυτό το θέμα:Tα παρακάτω 62 μέλη διάβασαν αυτό το θέμα:
- Joji
- menual
- rempelos42
- eukleidhs1821
- spring day
- Nikoleta_Giann
- T C
- papa2g
- vetas
- Fil1987
- Eleni12
- Papachrist
- tsiobieman
- charmander
- Johnman97
- Lathy
- jims
- No name
- kiyoshi
- Scandal
- giannhs2001
- Pharmacist01
- SlimShady
- Unboxholics
- Maria1743
- το κοριτσι του μαη
- Georgekk
- ggl
- Σωτηρία
- Lia 2006
- Monster Hunter
- calliope
- BioChemical
- Alexecon1991
- igeorgeoikonomo
- TonyMontanaEse
-
Φορτώνει...
-
Το forum μας χρησιμοποιεί cookies για να βελτιστοποιήσει την εμπειρία σας.
Συνεχίζοντας την περιήγησή σας, συναινείτε στη χρήση cookies στον περιηγητή σας.
Αρχική Forum
Ρωτήστε κάτι
Προσωπικές Συζητήσεις
Πανελλαδικές
Αγγελίες
Συνδεδεμένοι Χρήστες
Λίστα Αποκλεισμένων
Υπεύθυνοι του Forum
e-steki
