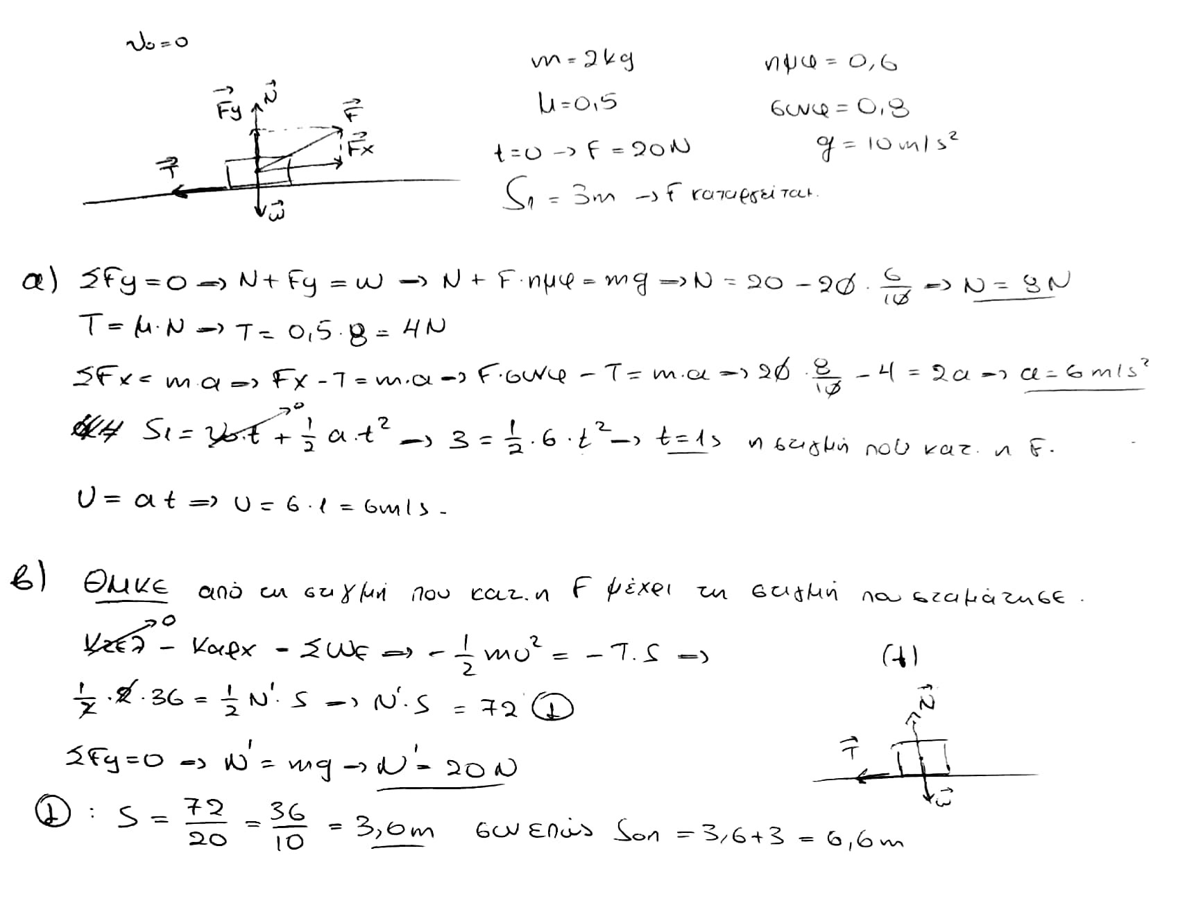
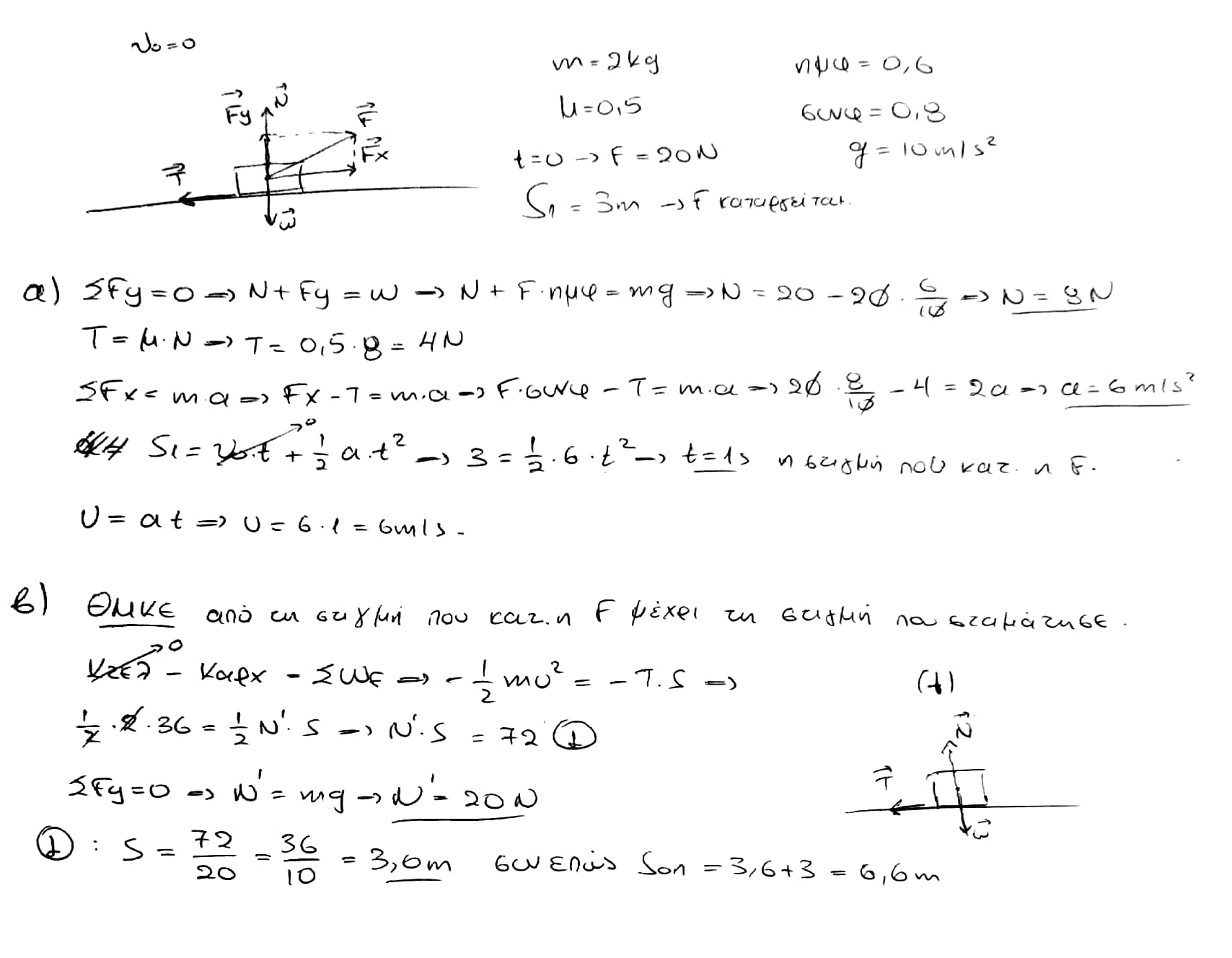
John kon Νεοφερμένο μέλος Ο John kon αυτή τη στιγμή δεν είναι συνδεδεμένος. Είναι 19 ετών και Μαθητής Α' λυκείου. Έχει γράψει 5 μηνύματα. 7 Απριλίου 2022 στις 15:22 Ο John kon έγραψε: #1 07-04-22 15:22 Θα το εκτιμούσα παρά πολύ αν θα με βοηθούσε το φόρουμ με έστω και μια από τις σημαντικές ασκήσεις που παραθέτω. Εγώ κάτι προσπάθησα, αλλά δυστυχώς ή ευτυχώς είμαι τις θεωρητικής Συνημμένα IMG_20220406_192514.jpg 159,8 KB · Εμφανίσεις: 227 IMG_20220406_192532.jpg 133,1 KB · Εμφανίσεις: 227 Cade Πολύ δραστήριο μέλος Ο Cade δεν κοινοποιεί τη δραστηριότητά του. Είναι Απόφοιτος λυκείου. Έχει γράψει 874 μηνύματα. 7 Απριλίου 2022 στις 18:27 Ο Cade έγραψε: #2 07-04-22 18:27 Αρχική Δημοσίευση από John kon: Θα το εκτιμούσα παρά πολύ αν θα με βοηθούσε το φόρουμ με έστω και μια από τις σημαντικές ασκήσεις που παραθέτω. Εγώ κάτι προσπάθησα, αλλά δυστυχώς ή ευτυχώς είμαι τις θεωρητικής Click για ανάπτυξη... Στο πρώτο είναι το β. Αφού κινείται ευθύγραμμα και ομαλά ισχύει οτι ΣF=0. Αντικαθιστώντας τις δυνάμεις που ασκούνται στο σώμα θα πάρεις το ζητούμενο Cade Πολύ δραστήριο μέλος Ο Cade δεν κοινοποιεί τη δραστηριότητά του. Είναι Απόφοιτος λυκείου. Έχει γράψει 874 μηνύματα. 7 Απριλίου 2022 στις 19:32 Ο Cade έγραψε: #3 07-04-22 19:32 John kon Νεοφερμένο μέλος Ο John kon αυτή τη στιγμή δεν είναι συνδεδεμένος. Είναι 19 ετών και Μαθητής Α' λυκείου. Έχει γράψει 5 μηνύματα. 7 Απριλίου 2022 στις 23:01 Ο John kon έγραψε: #4 07-04-22 23:01 Αρχική Δημοσίευση από Cade: Click για ανάπτυξη... Ευχαριστώ πολύ φίλε, το εκτιμώ! Dias Επιφανές μέλος Ο Dias δεν κοινοποιεί τη δραστηριότητά του. Είναι Καθηγητής κι έχει σπουδάσει στο τμήμα Φυσικής ΕΚΠΑ (Αθήνα). Έχει γράψει 10.912 μηνύματα. 8 Απριλίου 2022 στις 12:25 Ο Dias έγραψε: #5 08-04-22 12:25 Αρχική Δημοσίευση από John kon: Θα το εκτιμούσα παρά πολύ αν θα με βοηθούσε το φόρουμ με έστω και μια από τις σημαντικές ασκήσεις που παραθέτω. Εγώ κάτι προσπάθησα, αλλά δυστυχώς ή ευτυχώς είμαι της θεωρητικής Click για ανάπτυξη... Μπα!! Δεν ήξερα ότι η θεωρητική κατεύθυνση αρχίζει από την Α' λυκείου, ούτε ότι οι μαθητές της δεν πρέπει να μελετούν τα θετικά μαθήματα. Συνδεθείτε ή εγγραφείτε για να απαντήσετε εδώ. Χρήστες Βρείτε παρόμοια Τα παρακάτω 0 μέλη και 1 επισκέπτες διαβάζουν μαζί με εσάς αυτό το θέμα: Tα παρακάτω 37 μέλη διάβασαν αυτό το θέμα: Corfu kitty Startx0 shezza94 xrisamikol eukleidhs1821 John kon oups nucomer Scandal Νομάρχης ggl QWERTY23 Ameliak Marple Pharmacist01 spring day panosveki Maynard T C Φορτώνει... Μοιραστείτε: Facebook X Bluesky LinkedIn Reddit Pinterest Tumblr WhatsApp Email Μοιραστείτε Link ΑΠΑΝΤΗΣΗ
Θα το εκτιμούσα παρά πολύ αν θα με βοηθούσε το φόρουμ με έστω και μια από τις σημαντικές ασκήσεις που παραθέτω. Εγώ κάτι προσπάθησα, αλλά δυστυχώς ή ευτυχώς είμαι τις θεωρητικής
Cade Πολύ δραστήριο μέλος Ο Cade δεν κοινοποιεί τη δραστηριότητά του. Είναι Απόφοιτος λυκείου. Έχει γράψει 874 μηνύματα. 7 Απριλίου 2022 στις 18:27 Ο Cade έγραψε: #2 07-04-22 18:27 Αρχική Δημοσίευση από John kon: Θα το εκτιμούσα παρά πολύ αν θα με βοηθούσε το φόρουμ με έστω και μια από τις σημαντικές ασκήσεις που παραθέτω. Εγώ κάτι προσπάθησα, αλλά δυστυχώς ή ευτυχώς είμαι τις θεωρητικής Click για ανάπτυξη... Στο πρώτο είναι το β. Αφού κινείται ευθύγραμμα και ομαλά ισχύει οτι ΣF=0. Αντικαθιστώντας τις δυνάμεις που ασκούνται στο σώμα θα πάρεις το ζητούμενο Cade Πολύ δραστήριο μέλος Ο Cade δεν κοινοποιεί τη δραστηριότητά του. Είναι Απόφοιτος λυκείου. Έχει γράψει 874 μηνύματα. 7 Απριλίου 2022 στις 19:32 Ο Cade έγραψε: #3 07-04-22 19:32 John kon Νεοφερμένο μέλος Ο John kon αυτή τη στιγμή δεν είναι συνδεδεμένος. Είναι 19 ετών και Μαθητής Α' λυκείου. Έχει γράψει 5 μηνύματα. 7 Απριλίου 2022 στις 23:01 Ο John kon έγραψε: #4 07-04-22 23:01 Αρχική Δημοσίευση από Cade: Click για ανάπτυξη... Ευχαριστώ πολύ φίλε, το εκτιμώ! Dias Επιφανές μέλος Ο Dias δεν κοινοποιεί τη δραστηριότητά του. Είναι Καθηγητής κι έχει σπουδάσει στο τμήμα Φυσικής ΕΚΠΑ (Αθήνα). Έχει γράψει 10.912 μηνύματα. 8 Απριλίου 2022 στις 12:25 Ο Dias έγραψε: #5 08-04-22 12:25 Αρχική Δημοσίευση από John kon: Θα το εκτιμούσα παρά πολύ αν θα με βοηθούσε το φόρουμ με έστω και μια από τις σημαντικές ασκήσεις που παραθέτω. Εγώ κάτι προσπάθησα, αλλά δυστυχώς ή ευτυχώς είμαι της θεωρητικής Click για ανάπτυξη... Μπα!! Δεν ήξερα ότι η θεωρητική κατεύθυνση αρχίζει από την Α' λυκείου, ούτε ότι οι μαθητές της δεν πρέπει να μελετούν τα θετικά μαθήματα. Συνδεθείτε ή εγγραφείτε για να απαντήσετε εδώ. Χρήστες Βρείτε παρόμοια Τα παρακάτω 0 μέλη και 1 επισκέπτες διαβάζουν μαζί με εσάς αυτό το θέμα: Tα παρακάτω 37 μέλη διάβασαν αυτό το θέμα: Corfu kitty Startx0 shezza94 xrisamikol eukleidhs1821 John kon oups nucomer Scandal Νομάρχης ggl QWERTY23 Ameliak Marple Pharmacist01 spring day panosveki Maynard T C Φορτώνει... Μοιραστείτε: Facebook X Bluesky LinkedIn Reddit Pinterest Tumblr WhatsApp Email Μοιραστείτε Link ΑΠΑΝΤΗΣΗ
Αρχική Δημοσίευση από John kon: Θα το εκτιμούσα παρά πολύ αν θα με βοηθούσε το φόρουμ με έστω και μια από τις σημαντικές ασκήσεις που παραθέτω. Εγώ κάτι προσπάθησα, αλλά δυστυχώς ή ευτυχώς είμαι τις θεωρητικής Click για ανάπτυξη... Στο πρώτο είναι το β. Αφού κινείται ευθύγραμμα και ομαλά ισχύει οτι ΣF=0. Αντικαθιστώντας τις δυνάμεις που ασκούνται στο σώμα θα πάρεις το ζητούμενο
Cade Πολύ δραστήριο μέλος Ο Cade δεν κοινοποιεί τη δραστηριότητά του. Είναι Απόφοιτος λυκείου. Έχει γράψει 874 μηνύματα. 7 Απριλίου 2022 στις 19:32 Ο Cade έγραψε: #3 07-04-22 19:32 John kon Νεοφερμένο μέλος Ο John kon αυτή τη στιγμή δεν είναι συνδεδεμένος. Είναι 19 ετών και Μαθητής Α' λυκείου. Έχει γράψει 5 μηνύματα. 7 Απριλίου 2022 στις 23:01 Ο John kon έγραψε: #4 07-04-22 23:01 Αρχική Δημοσίευση από Cade: Click για ανάπτυξη... Ευχαριστώ πολύ φίλε, το εκτιμώ! Dias Επιφανές μέλος Ο Dias δεν κοινοποιεί τη δραστηριότητά του. Είναι Καθηγητής κι έχει σπουδάσει στο τμήμα Φυσικής ΕΚΠΑ (Αθήνα). Έχει γράψει 10.912 μηνύματα. 8 Απριλίου 2022 στις 12:25 Ο Dias έγραψε: #5 08-04-22 12:25 Αρχική Δημοσίευση από John kon: Θα το εκτιμούσα παρά πολύ αν θα με βοηθούσε το φόρουμ με έστω και μια από τις σημαντικές ασκήσεις που παραθέτω. Εγώ κάτι προσπάθησα, αλλά δυστυχώς ή ευτυχώς είμαι της θεωρητικής Click για ανάπτυξη... Μπα!! Δεν ήξερα ότι η θεωρητική κατεύθυνση αρχίζει από την Α' λυκείου, ούτε ότι οι μαθητές της δεν πρέπει να μελετούν τα θετικά μαθήματα. Συνδεθείτε ή εγγραφείτε για να απαντήσετε εδώ. Χρήστες Βρείτε παρόμοια Τα παρακάτω 0 μέλη και 1 επισκέπτες διαβάζουν μαζί με εσάς αυτό το θέμα: Tα παρακάτω 37 μέλη διάβασαν αυτό το θέμα: Corfu kitty Startx0 shezza94 xrisamikol eukleidhs1821 John kon oups nucomer Scandal Νομάρχης ggl QWERTY23 Ameliak Marple Pharmacist01 spring day panosveki Maynard T C Φορτώνει... Μοιραστείτε: Facebook X Bluesky LinkedIn Reddit Pinterest Tumblr WhatsApp Email Μοιραστείτε Link ΑΠΑΝΤΗΣΗ
John kon Νεοφερμένο μέλος Ο John kon αυτή τη στιγμή δεν είναι συνδεδεμένος. Είναι 19 ετών και Μαθητής Α' λυκείου. Έχει γράψει 5 μηνύματα. 7 Απριλίου 2022 στις 23:01 Ο John kon έγραψε: #4 07-04-22 23:01 Αρχική Δημοσίευση από Cade: Click για ανάπτυξη... Ευχαριστώ πολύ φίλε, το εκτιμώ! Dias Επιφανές μέλος Ο Dias δεν κοινοποιεί τη δραστηριότητά του. Είναι Καθηγητής κι έχει σπουδάσει στο τμήμα Φυσικής ΕΚΠΑ (Αθήνα). Έχει γράψει 10.912 μηνύματα. 8 Απριλίου 2022 στις 12:25 Ο Dias έγραψε: #5 08-04-22 12:25 Αρχική Δημοσίευση από John kon: Θα το εκτιμούσα παρά πολύ αν θα με βοηθούσε το φόρουμ με έστω και μια από τις σημαντικές ασκήσεις που παραθέτω. Εγώ κάτι προσπάθησα, αλλά δυστυχώς ή ευτυχώς είμαι της θεωρητικής Click για ανάπτυξη... Μπα!! Δεν ήξερα ότι η θεωρητική κατεύθυνση αρχίζει από την Α' λυκείου, ούτε ότι οι μαθητές της δεν πρέπει να μελετούν τα θετικά μαθήματα. Συνδεθείτε ή εγγραφείτε για να απαντήσετε εδώ.
Dias Επιφανές μέλος Ο Dias δεν κοινοποιεί τη δραστηριότητά του. Είναι Καθηγητής κι έχει σπουδάσει στο τμήμα Φυσικής ΕΚΠΑ (Αθήνα). Έχει γράψει 10.912 μηνύματα. 8 Απριλίου 2022 στις 12:25 Ο Dias έγραψε: #5 08-04-22 12:25 Αρχική Δημοσίευση από John kon: Θα το εκτιμούσα παρά πολύ αν θα με βοηθούσε το φόρουμ με έστω και μια από τις σημαντικές ασκήσεις που παραθέτω. Εγώ κάτι προσπάθησα, αλλά δυστυχώς ή ευτυχώς είμαι της θεωρητικής Click για ανάπτυξη... Μπα!! Δεν ήξερα ότι η θεωρητική κατεύθυνση αρχίζει από την Α' λυκείου, ούτε ότι οι μαθητές της δεν πρέπει να μελετούν τα θετικά μαθήματα.
Αρχική Δημοσίευση από John kon: Θα το εκτιμούσα παρά πολύ αν θα με βοηθούσε το φόρουμ με έστω και μια από τις σημαντικές ασκήσεις που παραθέτω. Εγώ κάτι προσπάθησα, αλλά δυστυχώς ή ευτυχώς είμαι της θεωρητικής Click για ανάπτυξη... Μπα!! Δεν ήξερα ότι η θεωρητική κατεύθυνση αρχίζει από την Α' λυκείου, ούτε ότι οι μαθητές της δεν πρέπει να μελετούν τα θετικά μαθήματα.