Αλεξακις Νεοφερμένο μέλος Ο Αλεξακις αυτή τη στιγμή δεν είναι συνδεδεμένος. Είναι Μεταπτυχιούχος. Έχει γράψει 53 μηνύματα. 6 Μαρτίου 2024 στις 09:54 Ο Αλεξακις έγραψε: #1 06-03-24 09:54 Καλημέρα σας , Βάζω 2 ασκήσεις για ένα παιδί που θέλει βοήθεια μέχρι αύριο το πρωί . Αν γνωρίζει κάποιος να τις λύνει θα είμαι πολύ ευγνώμων . Οι ασκήσεις είναι η 2 και η 3 . Συνημμένα 379610644_593257659477365_6115179581741809279_n.jpg 111,2 KB · Εμφανίσεις: 200 nickd6776 Νεοφερμένο μέλος Ο nickd6776 αυτή τη στιγμή δεν είναι συνδεδεμένος. Είναι 26 ετών και Πτυχιούχος. Έχει γράψει 28 μηνύματα. 6 Μαρτίου 2024 στις 16:58 Ο nickd6776: #2 06-03-24 16:58 μαθετε να βγαζετε μια σωστη φωτογρ πρωτα ιωαννηs Επιφανές μέλος Ο ιωαννηs δεν κοινοποιεί τη δραστηριότητά του. Είναι 25 ετών, Φοιτητής του τμήματος Πρόγραμμα Ιερατικών Σπουδών και μας γράφει από Πειραιάς (Αττική). Έχει γράψει 15.655 μηνύματα. 6 Μαρτίου 2024 στις 22:53 Ο ιωαννηs έγραψε: #3 06-03-24 22:53 Spoiler: Απαντηση Spoiler: Απαντηση Συνημμένα 1709757958983.png 17,3 KB · Εμφανίσεις: 172 1709758225275.png 29,6 KB · Εμφανίσεις: 171 Τελευταία επεξεργασία: 6 Μαρτίου 2024 Αλεξακις Νεοφερμένο μέλος Ο Αλεξακις αυτή τη στιγμή δεν είναι συνδεδεμένος. Είναι Μεταπτυχιούχος. Έχει γράψει 53 μηνύματα. 7 Μαρτίου 2024 στις 02:09 Ο Αλεξακις έγραψε: #4 07-03-24 02:09 Αρχική Δημοσίευση από γιαννης_00: Spoiler: Απαντηση Spoiler: Απαντηση Click για ανάπτυξη... ΣΕ ΕΥΧΑΡΙΣΤΩ ΠΟΛΥ ΦΙΛΕ ΜΟΥ . Συνδεθείτε ή εγγραφείτε για να απαντήσετε εδώ. Χρήστες Βρείτε παρόμοια Τα παρακάτω 0 μέλη και 1 επισκέπτες διαβάζουν μαζί με εσάς αυτό το θέμα: Tα παρακάτω 38 μέλη διάβασαν αυτό το θέμα: aneiko GNick06 Bonaparte panosT436 Entropy24 Qwerty 0 Corfu kitty ismember bibliofagos Marios2020 Maynard nickd6776 bill09876 phoni χημεια4λαιφ love_to_learn Leo komm Wonderkid Kate1914 Αλεξακις Unboxholics Helen06 tsiobieman Angelikaaa suaimhneas Φινεύς Startx0 Scandal Φορτώνει... Μοιραστείτε: Facebook X Bluesky LinkedIn Reddit Pinterest Tumblr WhatsApp Email Μοιραστείτε Link ΑΠΑΝΤΗΣΗ
Καλημέρα σας , Βάζω 2 ασκήσεις για ένα παιδί που θέλει βοήθεια μέχρι αύριο το πρωί . Αν γνωρίζει κάποιος να τις λύνει θα είμαι πολύ ευγνώμων . Οι ασκήσεις είναι η 2 και η 3 .
nickd6776 Νεοφερμένο μέλος Ο nickd6776 αυτή τη στιγμή δεν είναι συνδεδεμένος. Είναι 26 ετών και Πτυχιούχος. Έχει γράψει 28 μηνύματα. 6 Μαρτίου 2024 στις 16:58 Ο nickd6776: #2 06-03-24 16:58 μαθετε να βγαζετε μια σωστη φωτογρ πρωτα ιωαννηs Επιφανές μέλος Ο ιωαννηs δεν κοινοποιεί τη δραστηριότητά του. Είναι 25 ετών, Φοιτητής του τμήματος Πρόγραμμα Ιερατικών Σπουδών και μας γράφει από Πειραιάς (Αττική). Έχει γράψει 15.655 μηνύματα. 6 Μαρτίου 2024 στις 22:53 Ο ιωαννηs έγραψε: #3 06-03-24 22:53 Spoiler: Απαντηση Spoiler: Απαντηση Συνημμένα 1709757958983.png 17,3 KB · Εμφανίσεις: 172 1709758225275.png 29,6 KB · Εμφανίσεις: 171 Τελευταία επεξεργασία: 6 Μαρτίου 2024 Αλεξακις Νεοφερμένο μέλος Ο Αλεξακις αυτή τη στιγμή δεν είναι συνδεδεμένος. Είναι Μεταπτυχιούχος. Έχει γράψει 53 μηνύματα. 7 Μαρτίου 2024 στις 02:09 Ο Αλεξακις έγραψε: #4 07-03-24 02:09 Αρχική Δημοσίευση από γιαννης_00: Spoiler: Απαντηση Spoiler: Απαντηση Click για ανάπτυξη... ΣΕ ΕΥΧΑΡΙΣΤΩ ΠΟΛΥ ΦΙΛΕ ΜΟΥ . Συνδεθείτε ή εγγραφείτε για να απαντήσετε εδώ. Χρήστες Βρείτε παρόμοια Τα παρακάτω 0 μέλη και 1 επισκέπτες διαβάζουν μαζί με εσάς αυτό το θέμα: Tα παρακάτω 38 μέλη διάβασαν αυτό το θέμα: aneiko GNick06 Bonaparte panosT436 Entropy24 Qwerty 0 Corfu kitty ismember bibliofagos Marios2020 Maynard nickd6776 bill09876 phoni χημεια4λαιφ love_to_learn Leo komm Wonderkid Kate1914 Αλεξακις Unboxholics Helen06 tsiobieman Angelikaaa suaimhneas Φινεύς Startx0 Scandal Φορτώνει... Μοιραστείτε: Facebook X Bluesky LinkedIn Reddit Pinterest Tumblr WhatsApp Email Μοιραστείτε Link ΑΠΑΝΤΗΣΗ
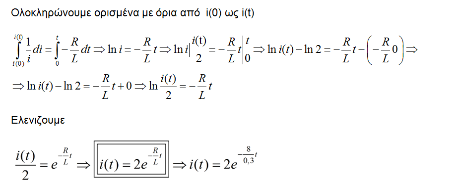
ιωαννηs Επιφανές μέλος Ο ιωαννηs δεν κοινοποιεί τη δραστηριότητά του. Είναι 25 ετών, Φοιτητής του τμήματος Πρόγραμμα Ιερατικών Σπουδών και μας γράφει από Πειραιάς (Αττική). Έχει γράψει 15.655 μηνύματα. 6 Μαρτίου 2024 στις 22:53 Ο ιωαννηs έγραψε: #3 06-03-24 22:53 Spoiler: Απαντηση Spoiler: Απαντηση Συνημμένα 1709757958983.png 17,3 KB · Εμφανίσεις: 172 1709758225275.png 29,6 KB · Εμφανίσεις: 171 Τελευταία επεξεργασία: 6 Μαρτίου 2024 Αλεξακις Νεοφερμένο μέλος Ο Αλεξακις αυτή τη στιγμή δεν είναι συνδεδεμένος. Είναι Μεταπτυχιούχος. Έχει γράψει 53 μηνύματα. 7 Μαρτίου 2024 στις 02:09 Ο Αλεξακις έγραψε: #4 07-03-24 02:09 Αρχική Δημοσίευση από γιαννης_00: Spoiler: Απαντηση Spoiler: Απαντηση Click για ανάπτυξη... ΣΕ ΕΥΧΑΡΙΣΤΩ ΠΟΛΥ ΦΙΛΕ ΜΟΥ . Συνδεθείτε ή εγγραφείτε για να απαντήσετε εδώ.
Αλεξακις Νεοφερμένο μέλος Ο Αλεξακις αυτή τη στιγμή δεν είναι συνδεδεμένος. Είναι Μεταπτυχιούχος. Έχει γράψει 53 μηνύματα. 7 Μαρτίου 2024 στις 02:09 Ο Αλεξακις έγραψε: #4 07-03-24 02:09 Αρχική Δημοσίευση από γιαννης_00: Spoiler: Απαντηση Spoiler: Απαντηση Click για ανάπτυξη... ΣΕ ΕΥΧΑΡΙΣΤΩ ΠΟΛΥ ΦΙΛΕ ΜΟΥ .
Αρχική Δημοσίευση από γιαννης_00: Spoiler: Απαντηση Spoiler: Απαντηση Click για ανάπτυξη... ΣΕ ΕΥΧΑΡΙΣΤΩ ΠΟΛΥ ΦΙΛΕ ΜΟΥ .