Άσκηση ασύμπτωτες - L' Hospital

Guest 831328

Επισκέπτης

Ο/Η @ αυτή τη στιγμή δεν είναι συνδεδεμέν@. Είναι διαγραμμένος λογαριασμός.
Καλημέρα σας μπορείτε να με βοηθήσετε στο τελευταίο ερώτημα αυτής της άσκησης πραγματικά κολλησα
 

Συνημμένα

  • IMG_20220211_133725.jpg
    IMG_20220211_133725.jpg
    88,9 KB · Εμφανίσεις: 267
γενικα οπου βλεπεις σε οριο να εχεις τριγωνομετρικα που απειριζονται κατα 99.999% το οριο πρεπει να βγει απο σποντα.. τι εννοω:
ειναι γνωστο -1=<ημχ=<1 αρα ισοδυναμα 2ημχ+3 ειναι αναμεσα στο 1 και το 5
επομενως το 1/(2ημχ+3) ειναι αναμεσα στο 1/5 και το 1 αρα:
1/2ημχ+3>=1/5
και πολλαπλασιαζεις και τα δυο μελη με τον αριθμητη του οριου, ετσι ωστε να εμφανιστει αριστερα το ζητουμενο οριο
ομως δεξια εχεις e^+1 / 5(x^2 + 1),το οποιο με 2 ντελοπιταλ καταληγει οτι τεινει στο απειρο
επομενος αφου η ζητουμενη παρασταση ειναι μεγαλυτερη ή ιση της δευτερης και η δευτερη απειριζεται, τοτε και η πρωτη απειριζεται (το λημμα αυτο θεωρειται γνωστο και δε χρειαζεται αποδειξη)
 
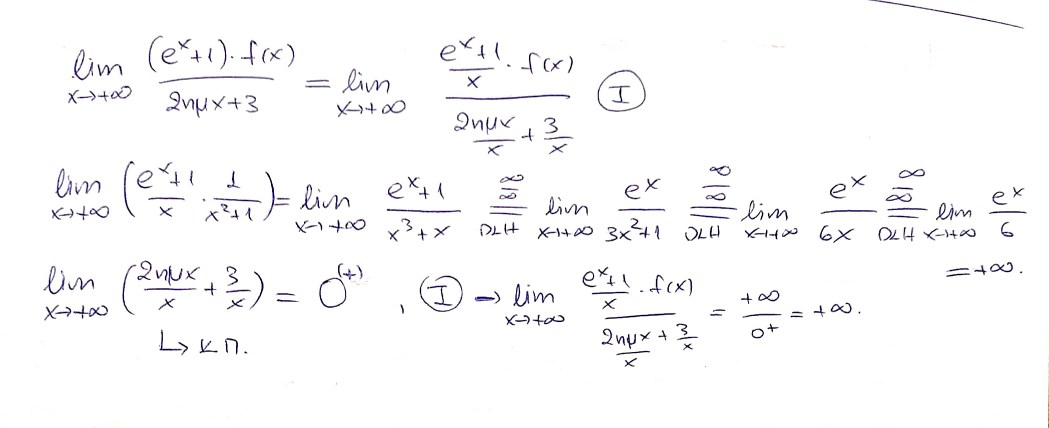
Σου επισυνάπτω και έναν άλλο τρόπο λύσης λίγο πιο "πρόχειρο". Του Αλέξανδρου είναι σαφώς σωστότερη.
 

Συνημμένα

  • 02-12-2022.jpg
    02-12-2022.jpg
    68,2 KB · Εμφανίσεις: 221

Χρήστες Βρείτε παρόμοια

Back
Top