Heimerdinger Νεοφερμένο μέλος Η Heimerdinger αυτή τη στιγμή δεν είναι συνδεδεμένη. Είναι 21 ετών. Έχει γράψει 12 μηνύματα. 21 Μαρτίου 2021 στις 13:00 Η Heimerdinger: #1 21-03-21 13:00 Σημείωση: Το μήνυμα αυτό γράφτηκε 5 χρόνια πριν. Ο συντάκτης του πιθανόν να έχει αλλάξει απόψεις έκτοτε. ιωαννηs Επιφανές μέλος Ο ιωαννηs δεν κοινοποιεί τη δραστηριότητά του. Είναι 25 ετών, Φοιτητής του τμήματος Πρόγραμμα Ιερατικών Σπουδών και μας γράφει από Πειραιάς (Αττική). Έχει γράψει 15.638 μηνύματα. 21 Μαρτίου 2021 στις 15:01 Ο ιωαννηs έγραψε: #2 21-03-21 15:01 Stefani καλημερα, αυτες τις ασκησεις τις αντιμετωπιζετε καθαρα ως γεωμετρια ή βαζετε και λιγο τριγωνομετρια μεσα? Σημείωση: Το μήνυμα αυτό γράφτηκε 5 χρόνια πριν. Ο συντάκτης του πιθανόν να έχει αλλάξει απόψεις έκτοτε. Heimerdinger Νεοφερμένο μέλος Η Heimerdinger αυτή τη στιγμή δεν είναι συνδεδεμένη. Είναι 21 ετών. Έχει γράψει 12 μηνύματα. 21 Μαρτίου 2021 στις 15:02 Η Heimerdinger: #3 21-03-21 15:02 Αρχική Δημοσίευση από Στέφανι 884: Click για ανάπτυξη... Αρχική Δημοσίευση από γιαννης_00: Stefani καλημερα, αυτες τις ασκησεις τις αντιμετωπιζετε καθαρα ως γεωμετρια ή βαζετε και λιγο τριγωνομετρια μεσα? Click για ανάπτυξη... Καλημέρα ,χρησιμοποιούμε και τριγωνομετρια Σημείωση: Το μήνυμα αυτό γράφτηκε 5 χρόνια πριν. Ο συντάκτης του πιθανόν να έχει αλλάξει απόψεις έκτοτε. ιωαννηs Επιφανές μέλος Ο ιωαννηs δεν κοινοποιεί τη δραστηριότητά του. Είναι 25 ετών, Φοιτητής του τμήματος Πρόγραμμα Ιερατικών Σπουδών και μας γράφει από Πειραιάς (Αττική). Έχει γράψει 15.638 μηνύματα. 21 Μαρτίου 2021 στις 17:20 Ο ιωαννηs έγραψε: #4 21-03-21 17:20 Εδω ειναι η δευτερη ασκηση Σημείωση: Το μήνυμα αυτό γράφτηκε 5 χρόνια πριν. Ο συντάκτης του πιθανόν να έχει αλλάξει απόψεις έκτοτε. Συνημμένα 1616339671234.png 27,1 KB · Εμφανίσεις: 248 ιωαννηs Επιφανές μέλος Ο ιωαννηs δεν κοινοποιεί τη δραστηριότητά του. Είναι 25 ετών, Φοιτητής του τμήματος Πρόγραμμα Ιερατικών Σπουδών και μας γράφει από Πειραιάς (Αττική). Έχει γράψει 15.638 μηνύματα. 21 Μαρτίου 2021 στις 19:15 Ο ιωαννηs έγραψε: #5 21-03-21 19:15 Εδω και η πρώτη άσκηση αλλά ελλιπής Σημείωση: Το μήνυμα αυτό γράφτηκε 5 χρόνια πριν. Ο συντάκτης του πιθανόν να έχει αλλάξει απόψεις έκτοτε. Heimerdinger Νεοφερμένο μέλος Η Heimerdinger αυτή τη στιγμή δεν είναι συνδεδεμένη. Είναι 21 ετών. Έχει γράψει 12 μηνύματα. 21 Μαρτίου 2021 στις 20:54 Η Heimerdinger: #6 21-03-21 20:54 Αρχική Δημοσίευση από γιαννης_00: Εδω και η πρώτη άσκηση αλλά ελλιπής Click για ανάπτυξη... Ευχαριστώ το εκτιμώ πολύ Αυτόματη ένωση συνεχόμενων μηνυμάτων: 21 Μαρτίου 2021 Αρχική Δημοσίευση από γιαννης_00: Εδω ειναι η δευτερη ασκηση Click για ανάπτυξη... Ευχαριστώ πάρα πολυ Σημείωση: Το μήνυμα αυτό γράφτηκε 5 χρόνια πριν. Ο συντάκτης του πιθανόν να έχει αλλάξει απόψεις έκτοτε. Dias Επιφανές μέλος Ο Dias δεν κοινοποιεί τη δραστηριότητά του. Είναι Καθηγητής κι έχει σπουδάσει στο τμήμα Φυσικής ΕΚΠΑ (Αθήνα). Έχει γράψει 10.984 μηνύματα. 21 Μαρτίου 2021 στις 20:58 Ο Dias έγραψε: #7 21-03-21 20:58 Ερώτημα γ Για το τρίγωνο ΓΔΕ είναι ΓΔ = 15, ΔΕ = 14, ΕΓ = 13, το εμβαδόν είναι Ε = 84 Η ημιπερίμετρος είναι τ = (ΓΔ + ΔΕ + ΕΓ):2 = (15 + 14 + 13):2 = 21 Ισχύουν οι σχέσεις (σχολ. βιβλ. άλλοι τύποι για το εμβαδόν τριγώνου): Ε = τ.ρ => ρ = Ε/τ => ρ = 84/21 => ρ = 4 Ε = (γινόμενο πλευρών)/4R => R = ΓΔ.ΔΕ.ΕΓ/4Ε => R = ((15.14.13)/(4.84) => R = 8,125 Σημείωση: Το μήνυμα αυτό γράφτηκε 5 χρόνια πριν. Ο συντάκτης του πιθανόν να έχει αλλάξει απόψεις έκτοτε. Heimerdinger Νεοφερμένο μέλος Η Heimerdinger αυτή τη στιγμή δεν είναι συνδεδεμένη. Είναι 21 ετών. Έχει γράψει 12 μηνύματα. 21 Μαρτίου 2021 στις 21:00 Η Heimerdinger: #8 21-03-21 21:00 Αρχική Δημοσίευση από Dias: Ερώτημα γ Για το τρίγωνο ΓΔΕ είναι ΓΔ = 15, ΔΕ = 14, ΕΓ = 13, το εμβαδόν είναι Ε = 84 Η ημιπερίμετρος είναι τ = ΓΔ + ΔΕ + ΕΓ = 15 + 14 + 13 = 21 Ισχύουν οι σχέσεις (σχολ. βιβλ. άλλοι τύποι για το εμβαδόν τριγώνου): Ε = τ.ρ => ρ = Ε/τ => ρ = 84/21 => ρ = 4 Ε = (γινόμενο πλευρών)/4R => R = ΓΔ.ΔΕ.ΕΓ/4Ε => R = ((15.14.13)/(4.84) => R = 8,125 Click για ανάπτυξη... Ευχαριστώ πολύ Σημείωση: Το μήνυμα αυτό γράφτηκε 5 χρόνια πριν. Ο συντάκτης του πιθανόν να έχει αλλάξει απόψεις έκτοτε. Dias Επιφανές μέλος Ο Dias δεν κοινοποιεί τη δραστηριότητά του. Είναι Καθηγητής κι έχει σπουδάσει στο τμήμα Φυσικής ΕΚΠΑ (Αθήνα). Έχει γράψει 10.984 μηνύματα. 21 Μαρτίου 2021 στις 21:06 Ο Dias έγραψε: #9 21-03-21 21:06 Αρχική Δημοσίευση από Στέφανι 884: Ευχαριστώ πολύ Click για ανάπτυξη... ΠΡΌΣΕΞΕ έχει γίνει διόρθωση στην ημιπερίμετρο! Σημείωση: Το μήνυμα αυτό γράφτηκε 5 χρόνια πριν. Ο συντάκτης του πιθανόν να έχει αλλάξει απόψεις έκτοτε. ιωαννηs Επιφανές μέλος Ο ιωαννηs δεν κοινοποιεί τη δραστηριότητά του. Είναι 25 ετών, Φοιτητής του τμήματος Πρόγραμμα Ιερατικών Σπουδών και μας γράφει από Πειραιάς (Αττική). Έχει γράψει 15.638 μηνύματα. 21 Μαρτίου 2021 στις 21:17 Ο ιωαννηs έγραψε: #10 21-03-21 21:17 Γεια σου ΔΙΑ με προλαβες , ειπα να φαω κρεας με τηγανίτες πατατες Ερωτημα γ) Σημείωση: Το μήνυμα αυτό γράφτηκε 5 χρόνια πριν. Ο συντάκτης του πιθανόν να έχει αλλάξει απόψεις έκτοτε. Heimerdinger Νεοφερμένο μέλος Η Heimerdinger αυτή τη στιγμή δεν είναι συνδεδεμένη. Είναι 21 ετών. Έχει γράψει 12 μηνύματα. 22 Μαρτίου 2021 στις 11:12 Η Heimerdinger: #11 22-03-21 11:12 Θα ήθελα βοήθεια σε αυτή την άσκηση Γεωμετρίας Σημείωση: Το μήνυμα αυτό γράφτηκε 5 χρόνια πριν. Ο συντάκτης του πιθανόν να έχει αλλάξει απόψεις έκτοτε. Επεξεργάστηκε από συντονιστή: 22 Μαρτίου 2021 ιωαννηs Επιφανές μέλος Ο ιωαννηs δεν κοινοποιεί τη δραστηριότητά του. Είναι 25 ετών, Φοιτητής του τμήματος Πρόγραμμα Ιερατικών Σπουδών και μας γράφει από Πειραιάς (Αττική). Έχει γράψει 15.638 μηνύματα. 22 Μαρτίου 2021 στις 14:33 Ο ιωαννηs έγραψε: #12 22-03-21 14:33 Σημείωση: Το μήνυμα αυτό γράφτηκε 5 χρόνια πριν. Ο συντάκτης του πιθανόν να έχει αλλάξει απόψεις έκτοτε. Heimerdinger Νεοφερμένο μέλος Η Heimerdinger αυτή τη στιγμή δεν είναι συνδεδεμένη. Είναι 21 ετών. Έχει γράψει 12 μηνύματα. 22 Μαρτίου 2021 στις 16:54 Η Heimerdinger: #13 22-03-21 16:54 Αρχική Δημοσίευση από γιαννης_00: Click για ανάπτυξη... Ευχαριστώ παρααα πολύ κατάφερα να τα καταλάβω Σημείωση: Το μήνυμα αυτό γράφτηκε 5 χρόνια πριν. Ο συντάκτης του πιθανόν να έχει αλλάξει απόψεις έκτοτε. ιωαννηs Επιφανές μέλος Ο ιωαννηs δεν κοινοποιεί τη δραστηριότητά του. Είναι 25 ετών, Φοιτητής του τμήματος Πρόγραμμα Ιερατικών Σπουδών και μας γράφει από Πειραιάς (Αττική). Έχει γράψει 15.638 μηνύματα. 22 Μαρτίου 2021 στις 16:55 Ο ιωαννηs έγραψε: #14 22-03-21 16:55 Αρχική Δημοσίευση από Heimerdinger: Ευχαριστώ παρααα πολύ κατάφερα να τα καταλάβω Click για ανάπτυξη... Ωραια τωρα θα φτιαξουμε και την αλλη. Σημείωση: Το μήνυμα αυτό γράφτηκε 5 χρόνια πριν. Ο συντάκτης του πιθανόν να έχει αλλάξει απόψεις έκτοτε. ιωαννηs Επιφανές μέλος Ο ιωαννηs δεν κοινοποιεί τη δραστηριότητά του. Είναι 25 ετών, Φοιτητής του τμήματος Πρόγραμμα Ιερατικών Σπουδών και μας γράφει από Πειραιάς (Αττική). Έχει γράψει 15.638 μηνύματα. 22 Μαρτίου 2021 στις 18:53 Ο ιωαννηs έγραψε: #15 22-03-21 18:53 Σημείωση: Το μήνυμα αυτό γράφτηκε 5 χρόνια πριν. Ο συντάκτης του πιθανόν να έχει αλλάξει απόψεις έκτοτε. Heimerdinger Νεοφερμένο μέλος Η Heimerdinger αυτή τη στιγμή δεν είναι συνδεδεμένη. Είναι 21 ετών. Έχει γράψει 12 μηνύματα. 22 Μαρτίου 2021 στις 19:01 Η Heimerdinger: #16 22-03-21 19:01 Αρχική Δημοσίευση από γιαννης_00: Click για ανάπτυξη... Ευχαριστώ παρα πολυ Σημείωση: Το μήνυμα αυτό γράφτηκε 5 χρόνια πριν. Ο συντάκτης του πιθανόν να έχει αλλάξει απόψεις έκτοτε. ιωαννηs Επιφανές μέλος Ο ιωαννηs δεν κοινοποιεί τη δραστηριότητά του. Είναι 25 ετών, Φοιτητής του τμήματος Πρόγραμμα Ιερατικών Σπουδών και μας γράφει από Πειραιάς (Αττική). Έχει γράψει 15.638 μηνύματα. 22 Μαρτίου 2021 στις 19:30 Ο ιωαννηs έγραψε: #17 22-03-21 19:30 Heimerdinger το ερώτημα Γ στην δεύτερη άσκηση εχει λαθος εμμονης και κουρασης μην το λαβεις υπ οψιν σου εδω ειναι το σωστο και ειναι απλουστερο. Σημείωση: Το μήνυμα αυτό γράφτηκε 5 χρόνια πριν. Ο συντάκτης του πιθανόν να έχει αλλάξει απόψεις έκτοτε. Συνημμένα 1616433898724.png 14,6 KB · Εμφανίσεις: 275 Τελευταία επεξεργασία: 22 Μαρτίου 2021 Συνδεθείτε ή εγγραφείτε για να απαντήσετε εδώ. Χρήστες Βρείτε παρόμοια Τα παρακάτω 0 μέλη και 0 επισκέπτες διαβάζουν μαζί με εσάς αυτό το θέμα: Tα παρακάτω 39 μέλη διάβασαν αυτό το θέμα: Startx0 globglogabgalab _Aggelos123 Heimerdinger Dr House Σωτηρία Georgekk papa2g the purge Konstantinos4 Scandal Cortes eukleidhs1821 giannist_ SlimShady το κοριτσι του μαη Alexandros36k 1205 nucomer Δήμος Βλάχος Xristinaqui pink_panther Φορτώνει... Μοιραστείτε: Facebook X Bluesky LinkedIn Reddit Pinterest Tumblr WhatsApp Email Μοιραστείτε Link ΑΠΑΝΤΗΣΗ Το forum μας χρησιμοποιεί cookies για να βελτιστοποιήσει την εμπειρία σας. Συνεχίζοντας την περιήγησή σας, συναινείτε στη χρήση cookies στον περιηγητή σας. Συμφωνώ Περισσότερα... Back Top
Σημείωση: Το μήνυμα αυτό γράφτηκε 5 χρόνια πριν. Ο συντάκτης του πιθανόν να έχει αλλάξει απόψεις έκτοτε.
ιωαννηs Επιφανές μέλος Ο ιωαννηs δεν κοινοποιεί τη δραστηριότητά του. Είναι 25 ετών, Φοιτητής του τμήματος Πρόγραμμα Ιερατικών Σπουδών και μας γράφει από Πειραιάς (Αττική). Έχει γράψει 15.638 μηνύματα. 21 Μαρτίου 2021 στις 15:01 Ο ιωαννηs έγραψε: #2 21-03-21 15:01 Stefani καλημερα, αυτες τις ασκησεις τις αντιμετωπιζετε καθαρα ως γεωμετρια ή βαζετε και λιγο τριγωνομετρια μεσα? Σημείωση: Το μήνυμα αυτό γράφτηκε 5 χρόνια πριν. Ο συντάκτης του πιθανόν να έχει αλλάξει απόψεις έκτοτε. Heimerdinger Νεοφερμένο μέλος Η Heimerdinger αυτή τη στιγμή δεν είναι συνδεδεμένη. Είναι 21 ετών. Έχει γράψει 12 μηνύματα. 21 Μαρτίου 2021 στις 15:02 Η Heimerdinger: #3 21-03-21 15:02 Αρχική Δημοσίευση από Στέφανι 884: Click για ανάπτυξη... Αρχική Δημοσίευση από γιαννης_00: Stefani καλημερα, αυτες τις ασκησεις τις αντιμετωπιζετε καθαρα ως γεωμετρια ή βαζετε και λιγο τριγωνομετρια μεσα? Click για ανάπτυξη... Καλημέρα ,χρησιμοποιούμε και τριγωνομετρια Σημείωση: Το μήνυμα αυτό γράφτηκε 5 χρόνια πριν. Ο συντάκτης του πιθανόν να έχει αλλάξει απόψεις έκτοτε. ιωαννηs Επιφανές μέλος Ο ιωαννηs δεν κοινοποιεί τη δραστηριότητά του. Είναι 25 ετών, Φοιτητής του τμήματος Πρόγραμμα Ιερατικών Σπουδών και μας γράφει από Πειραιάς (Αττική). Έχει γράψει 15.638 μηνύματα. 21 Μαρτίου 2021 στις 17:20 Ο ιωαννηs έγραψε: #4 21-03-21 17:20 Εδω ειναι η δευτερη ασκηση Σημείωση: Το μήνυμα αυτό γράφτηκε 5 χρόνια πριν. Ο συντάκτης του πιθανόν να έχει αλλάξει απόψεις έκτοτε. Συνημμένα 1616339671234.png 27,1 KB · Εμφανίσεις: 248 ιωαννηs Επιφανές μέλος Ο ιωαννηs δεν κοινοποιεί τη δραστηριότητά του. Είναι 25 ετών, Φοιτητής του τμήματος Πρόγραμμα Ιερατικών Σπουδών και μας γράφει από Πειραιάς (Αττική). Έχει γράψει 15.638 μηνύματα. 21 Μαρτίου 2021 στις 19:15 Ο ιωαννηs έγραψε: #5 21-03-21 19:15 Εδω και η πρώτη άσκηση αλλά ελλιπής Σημείωση: Το μήνυμα αυτό γράφτηκε 5 χρόνια πριν. Ο συντάκτης του πιθανόν να έχει αλλάξει απόψεις έκτοτε. Heimerdinger Νεοφερμένο μέλος Η Heimerdinger αυτή τη στιγμή δεν είναι συνδεδεμένη. Είναι 21 ετών. Έχει γράψει 12 μηνύματα. 21 Μαρτίου 2021 στις 20:54 Η Heimerdinger: #6 21-03-21 20:54 Αρχική Δημοσίευση από γιαννης_00: Εδω και η πρώτη άσκηση αλλά ελλιπής Click για ανάπτυξη... Ευχαριστώ το εκτιμώ πολύ Αυτόματη ένωση συνεχόμενων μηνυμάτων: 21 Μαρτίου 2021 Αρχική Δημοσίευση από γιαννης_00: Εδω ειναι η δευτερη ασκηση Click για ανάπτυξη... Ευχαριστώ πάρα πολυ Σημείωση: Το μήνυμα αυτό γράφτηκε 5 χρόνια πριν. Ο συντάκτης του πιθανόν να έχει αλλάξει απόψεις έκτοτε. Dias Επιφανές μέλος Ο Dias δεν κοινοποιεί τη δραστηριότητά του. Είναι Καθηγητής κι έχει σπουδάσει στο τμήμα Φυσικής ΕΚΠΑ (Αθήνα). Έχει γράψει 10.984 μηνύματα. 21 Μαρτίου 2021 στις 20:58 Ο Dias έγραψε: #7 21-03-21 20:58 Ερώτημα γ Για το τρίγωνο ΓΔΕ είναι ΓΔ = 15, ΔΕ = 14, ΕΓ = 13, το εμβαδόν είναι Ε = 84 Η ημιπερίμετρος είναι τ = (ΓΔ + ΔΕ + ΕΓ):2 = (15 + 14 + 13):2 = 21 Ισχύουν οι σχέσεις (σχολ. βιβλ. άλλοι τύποι για το εμβαδόν τριγώνου): Ε = τ.ρ => ρ = Ε/τ => ρ = 84/21 => ρ = 4 Ε = (γινόμενο πλευρών)/4R => R = ΓΔ.ΔΕ.ΕΓ/4Ε => R = ((15.14.13)/(4.84) => R = 8,125 Σημείωση: Το μήνυμα αυτό γράφτηκε 5 χρόνια πριν. Ο συντάκτης του πιθανόν να έχει αλλάξει απόψεις έκτοτε. Heimerdinger Νεοφερμένο μέλος Η Heimerdinger αυτή τη στιγμή δεν είναι συνδεδεμένη. Είναι 21 ετών. Έχει γράψει 12 μηνύματα. 21 Μαρτίου 2021 στις 21:00 Η Heimerdinger: #8 21-03-21 21:00 Αρχική Δημοσίευση από Dias: Ερώτημα γ Για το τρίγωνο ΓΔΕ είναι ΓΔ = 15, ΔΕ = 14, ΕΓ = 13, το εμβαδόν είναι Ε = 84 Η ημιπερίμετρος είναι τ = ΓΔ + ΔΕ + ΕΓ = 15 + 14 + 13 = 21 Ισχύουν οι σχέσεις (σχολ. βιβλ. άλλοι τύποι για το εμβαδόν τριγώνου): Ε = τ.ρ => ρ = Ε/τ => ρ = 84/21 => ρ = 4 Ε = (γινόμενο πλευρών)/4R => R = ΓΔ.ΔΕ.ΕΓ/4Ε => R = ((15.14.13)/(4.84) => R = 8,125 Click για ανάπτυξη... Ευχαριστώ πολύ Σημείωση: Το μήνυμα αυτό γράφτηκε 5 χρόνια πριν. Ο συντάκτης του πιθανόν να έχει αλλάξει απόψεις έκτοτε. Dias Επιφανές μέλος Ο Dias δεν κοινοποιεί τη δραστηριότητά του. Είναι Καθηγητής κι έχει σπουδάσει στο τμήμα Φυσικής ΕΚΠΑ (Αθήνα). Έχει γράψει 10.984 μηνύματα. 21 Μαρτίου 2021 στις 21:06 Ο Dias έγραψε: #9 21-03-21 21:06 Αρχική Δημοσίευση από Στέφανι 884: Ευχαριστώ πολύ Click για ανάπτυξη... ΠΡΌΣΕΞΕ έχει γίνει διόρθωση στην ημιπερίμετρο! Σημείωση: Το μήνυμα αυτό γράφτηκε 5 χρόνια πριν. Ο συντάκτης του πιθανόν να έχει αλλάξει απόψεις έκτοτε. ιωαννηs Επιφανές μέλος Ο ιωαννηs δεν κοινοποιεί τη δραστηριότητά του. Είναι 25 ετών, Φοιτητής του τμήματος Πρόγραμμα Ιερατικών Σπουδών και μας γράφει από Πειραιάς (Αττική). Έχει γράψει 15.638 μηνύματα. 21 Μαρτίου 2021 στις 21:17 Ο ιωαννηs έγραψε: #10 21-03-21 21:17 Γεια σου ΔΙΑ με προλαβες , ειπα να φαω κρεας με τηγανίτες πατατες Ερωτημα γ) Σημείωση: Το μήνυμα αυτό γράφτηκε 5 χρόνια πριν. Ο συντάκτης του πιθανόν να έχει αλλάξει απόψεις έκτοτε. Heimerdinger Νεοφερμένο μέλος Η Heimerdinger αυτή τη στιγμή δεν είναι συνδεδεμένη. Είναι 21 ετών. Έχει γράψει 12 μηνύματα. 22 Μαρτίου 2021 στις 11:12 Η Heimerdinger: #11 22-03-21 11:12 Θα ήθελα βοήθεια σε αυτή την άσκηση Γεωμετρίας Σημείωση: Το μήνυμα αυτό γράφτηκε 5 χρόνια πριν. Ο συντάκτης του πιθανόν να έχει αλλάξει απόψεις έκτοτε. Επεξεργάστηκε από συντονιστή: 22 Μαρτίου 2021 ιωαννηs Επιφανές μέλος Ο ιωαννηs δεν κοινοποιεί τη δραστηριότητά του. Είναι 25 ετών, Φοιτητής του τμήματος Πρόγραμμα Ιερατικών Σπουδών και μας γράφει από Πειραιάς (Αττική). Έχει γράψει 15.638 μηνύματα. 22 Μαρτίου 2021 στις 14:33 Ο ιωαννηs έγραψε: #12 22-03-21 14:33 Σημείωση: Το μήνυμα αυτό γράφτηκε 5 χρόνια πριν. Ο συντάκτης του πιθανόν να έχει αλλάξει απόψεις έκτοτε. Heimerdinger Νεοφερμένο μέλος Η Heimerdinger αυτή τη στιγμή δεν είναι συνδεδεμένη. Είναι 21 ετών. Έχει γράψει 12 μηνύματα. 22 Μαρτίου 2021 στις 16:54 Η Heimerdinger: #13 22-03-21 16:54 Αρχική Δημοσίευση από γιαννης_00: Click για ανάπτυξη... Ευχαριστώ παρααα πολύ κατάφερα να τα καταλάβω Σημείωση: Το μήνυμα αυτό γράφτηκε 5 χρόνια πριν. Ο συντάκτης του πιθανόν να έχει αλλάξει απόψεις έκτοτε. ιωαννηs Επιφανές μέλος Ο ιωαννηs δεν κοινοποιεί τη δραστηριότητά του. Είναι 25 ετών, Φοιτητής του τμήματος Πρόγραμμα Ιερατικών Σπουδών και μας γράφει από Πειραιάς (Αττική). Έχει γράψει 15.638 μηνύματα. 22 Μαρτίου 2021 στις 16:55 Ο ιωαννηs έγραψε: #14 22-03-21 16:55 Αρχική Δημοσίευση από Heimerdinger: Ευχαριστώ παρααα πολύ κατάφερα να τα καταλάβω Click για ανάπτυξη... Ωραια τωρα θα φτιαξουμε και την αλλη. Σημείωση: Το μήνυμα αυτό γράφτηκε 5 χρόνια πριν. Ο συντάκτης του πιθανόν να έχει αλλάξει απόψεις έκτοτε. ιωαννηs Επιφανές μέλος Ο ιωαννηs δεν κοινοποιεί τη δραστηριότητά του. Είναι 25 ετών, Φοιτητής του τμήματος Πρόγραμμα Ιερατικών Σπουδών και μας γράφει από Πειραιάς (Αττική). Έχει γράψει 15.638 μηνύματα. 22 Μαρτίου 2021 στις 18:53 Ο ιωαννηs έγραψε: #15 22-03-21 18:53 Σημείωση: Το μήνυμα αυτό γράφτηκε 5 χρόνια πριν. Ο συντάκτης του πιθανόν να έχει αλλάξει απόψεις έκτοτε. Heimerdinger Νεοφερμένο μέλος Η Heimerdinger αυτή τη στιγμή δεν είναι συνδεδεμένη. Είναι 21 ετών. Έχει γράψει 12 μηνύματα. 22 Μαρτίου 2021 στις 19:01 Η Heimerdinger: #16 22-03-21 19:01 Αρχική Δημοσίευση από γιαννης_00: Click για ανάπτυξη... Ευχαριστώ παρα πολυ Σημείωση: Το μήνυμα αυτό γράφτηκε 5 χρόνια πριν. Ο συντάκτης του πιθανόν να έχει αλλάξει απόψεις έκτοτε. ιωαννηs Επιφανές μέλος Ο ιωαννηs δεν κοινοποιεί τη δραστηριότητά του. Είναι 25 ετών, Φοιτητής του τμήματος Πρόγραμμα Ιερατικών Σπουδών και μας γράφει από Πειραιάς (Αττική). Έχει γράψει 15.638 μηνύματα. 22 Μαρτίου 2021 στις 19:30 Ο ιωαννηs έγραψε: #17 22-03-21 19:30 Heimerdinger το ερώτημα Γ στην δεύτερη άσκηση εχει λαθος εμμονης και κουρασης μην το λαβεις υπ οψιν σου εδω ειναι το σωστο και ειναι απλουστερο. Σημείωση: Το μήνυμα αυτό γράφτηκε 5 χρόνια πριν. Ο συντάκτης του πιθανόν να έχει αλλάξει απόψεις έκτοτε. Συνημμένα 1616433898724.png 14,6 KB · Εμφανίσεις: 275 Τελευταία επεξεργασία: 22 Μαρτίου 2021 Συνδεθείτε ή εγγραφείτε για να απαντήσετε εδώ. Χρήστες Βρείτε παρόμοια Τα παρακάτω 0 μέλη και 0 επισκέπτες διαβάζουν μαζί με εσάς αυτό το θέμα: Tα παρακάτω 39 μέλη διάβασαν αυτό το θέμα: Startx0 globglogabgalab _Aggelos123 Heimerdinger Dr House Σωτηρία Georgekk papa2g the purge Konstantinos4 Scandal Cortes eukleidhs1821 giannist_ SlimShady το κοριτσι του μαη Alexandros36k 1205 nucomer Δήμος Βλάχος Xristinaqui pink_panther Φορτώνει... Μοιραστείτε: Facebook X Bluesky LinkedIn Reddit Pinterest Tumblr WhatsApp Email Μοιραστείτε Link ΑΠΑΝΤΗΣΗ Το forum μας χρησιμοποιεί cookies για να βελτιστοποιήσει την εμπειρία σας. Συνεχίζοντας την περιήγησή σας, συναινείτε στη χρήση cookies στον περιηγητή σας. Συμφωνώ Περισσότερα... Back Top
Stefani καλημερα, αυτες τις ασκησεις τις αντιμετωπιζετε καθαρα ως γεωμετρια ή βαζετε και λιγο τριγωνομετρια μεσα? Σημείωση: Το μήνυμα αυτό γράφτηκε 5 χρόνια πριν. Ο συντάκτης του πιθανόν να έχει αλλάξει απόψεις έκτοτε.
Heimerdinger Νεοφερμένο μέλος Η Heimerdinger αυτή τη στιγμή δεν είναι συνδεδεμένη. Είναι 21 ετών. Έχει γράψει 12 μηνύματα. 21 Μαρτίου 2021 στις 15:02 Η Heimerdinger: #3 21-03-21 15:02 Αρχική Δημοσίευση από Στέφανι 884: Click για ανάπτυξη... Αρχική Δημοσίευση από γιαννης_00: Stefani καλημερα, αυτες τις ασκησεις τις αντιμετωπιζετε καθαρα ως γεωμετρια ή βαζετε και λιγο τριγωνομετρια μεσα? Click για ανάπτυξη... Καλημέρα ,χρησιμοποιούμε και τριγωνομετρια Σημείωση: Το μήνυμα αυτό γράφτηκε 5 χρόνια πριν. Ο συντάκτης του πιθανόν να έχει αλλάξει απόψεις έκτοτε. ιωαννηs Επιφανές μέλος Ο ιωαννηs δεν κοινοποιεί τη δραστηριότητά του. Είναι 25 ετών, Φοιτητής του τμήματος Πρόγραμμα Ιερατικών Σπουδών και μας γράφει από Πειραιάς (Αττική). Έχει γράψει 15.638 μηνύματα. 21 Μαρτίου 2021 στις 17:20 Ο ιωαννηs έγραψε: #4 21-03-21 17:20 Εδω ειναι η δευτερη ασκηση Σημείωση: Το μήνυμα αυτό γράφτηκε 5 χρόνια πριν. Ο συντάκτης του πιθανόν να έχει αλλάξει απόψεις έκτοτε. Συνημμένα 1616339671234.png 27,1 KB · Εμφανίσεις: 248 ιωαννηs Επιφανές μέλος Ο ιωαννηs δεν κοινοποιεί τη δραστηριότητά του. Είναι 25 ετών, Φοιτητής του τμήματος Πρόγραμμα Ιερατικών Σπουδών και μας γράφει από Πειραιάς (Αττική). Έχει γράψει 15.638 μηνύματα. 21 Μαρτίου 2021 στις 19:15 Ο ιωαννηs έγραψε: #5 21-03-21 19:15 Εδω και η πρώτη άσκηση αλλά ελλιπής Σημείωση: Το μήνυμα αυτό γράφτηκε 5 χρόνια πριν. Ο συντάκτης του πιθανόν να έχει αλλάξει απόψεις έκτοτε. Heimerdinger Νεοφερμένο μέλος Η Heimerdinger αυτή τη στιγμή δεν είναι συνδεδεμένη. Είναι 21 ετών. Έχει γράψει 12 μηνύματα. 21 Μαρτίου 2021 στις 20:54 Η Heimerdinger: #6 21-03-21 20:54 Αρχική Δημοσίευση από γιαννης_00: Εδω και η πρώτη άσκηση αλλά ελλιπής Click για ανάπτυξη... Ευχαριστώ το εκτιμώ πολύ Αυτόματη ένωση συνεχόμενων μηνυμάτων: 21 Μαρτίου 2021 Αρχική Δημοσίευση από γιαννης_00: Εδω ειναι η δευτερη ασκηση Click για ανάπτυξη... Ευχαριστώ πάρα πολυ Σημείωση: Το μήνυμα αυτό γράφτηκε 5 χρόνια πριν. Ο συντάκτης του πιθανόν να έχει αλλάξει απόψεις έκτοτε. Dias Επιφανές μέλος Ο Dias δεν κοινοποιεί τη δραστηριότητά του. Είναι Καθηγητής κι έχει σπουδάσει στο τμήμα Φυσικής ΕΚΠΑ (Αθήνα). Έχει γράψει 10.984 μηνύματα. 21 Μαρτίου 2021 στις 20:58 Ο Dias έγραψε: #7 21-03-21 20:58 Ερώτημα γ Για το τρίγωνο ΓΔΕ είναι ΓΔ = 15, ΔΕ = 14, ΕΓ = 13, το εμβαδόν είναι Ε = 84 Η ημιπερίμετρος είναι τ = (ΓΔ + ΔΕ + ΕΓ):2 = (15 + 14 + 13):2 = 21 Ισχύουν οι σχέσεις (σχολ. βιβλ. άλλοι τύποι για το εμβαδόν τριγώνου): Ε = τ.ρ => ρ = Ε/τ => ρ = 84/21 => ρ = 4 Ε = (γινόμενο πλευρών)/4R => R = ΓΔ.ΔΕ.ΕΓ/4Ε => R = ((15.14.13)/(4.84) => R = 8,125 Σημείωση: Το μήνυμα αυτό γράφτηκε 5 χρόνια πριν. Ο συντάκτης του πιθανόν να έχει αλλάξει απόψεις έκτοτε. Heimerdinger Νεοφερμένο μέλος Η Heimerdinger αυτή τη στιγμή δεν είναι συνδεδεμένη. Είναι 21 ετών. Έχει γράψει 12 μηνύματα. 21 Μαρτίου 2021 στις 21:00 Η Heimerdinger: #8 21-03-21 21:00 Αρχική Δημοσίευση από Dias: Ερώτημα γ Για το τρίγωνο ΓΔΕ είναι ΓΔ = 15, ΔΕ = 14, ΕΓ = 13, το εμβαδόν είναι Ε = 84 Η ημιπερίμετρος είναι τ = ΓΔ + ΔΕ + ΕΓ = 15 + 14 + 13 = 21 Ισχύουν οι σχέσεις (σχολ. βιβλ. άλλοι τύποι για το εμβαδόν τριγώνου): Ε = τ.ρ => ρ = Ε/τ => ρ = 84/21 => ρ = 4 Ε = (γινόμενο πλευρών)/4R => R = ΓΔ.ΔΕ.ΕΓ/4Ε => R = ((15.14.13)/(4.84) => R = 8,125 Click για ανάπτυξη... Ευχαριστώ πολύ Σημείωση: Το μήνυμα αυτό γράφτηκε 5 χρόνια πριν. Ο συντάκτης του πιθανόν να έχει αλλάξει απόψεις έκτοτε. Dias Επιφανές μέλος Ο Dias δεν κοινοποιεί τη δραστηριότητά του. Είναι Καθηγητής κι έχει σπουδάσει στο τμήμα Φυσικής ΕΚΠΑ (Αθήνα). Έχει γράψει 10.984 μηνύματα. 21 Μαρτίου 2021 στις 21:06 Ο Dias έγραψε: #9 21-03-21 21:06 Αρχική Δημοσίευση από Στέφανι 884: Ευχαριστώ πολύ Click για ανάπτυξη... ΠΡΌΣΕΞΕ έχει γίνει διόρθωση στην ημιπερίμετρο! Σημείωση: Το μήνυμα αυτό γράφτηκε 5 χρόνια πριν. Ο συντάκτης του πιθανόν να έχει αλλάξει απόψεις έκτοτε. ιωαννηs Επιφανές μέλος Ο ιωαννηs δεν κοινοποιεί τη δραστηριότητά του. Είναι 25 ετών, Φοιτητής του τμήματος Πρόγραμμα Ιερατικών Σπουδών και μας γράφει από Πειραιάς (Αττική). Έχει γράψει 15.638 μηνύματα. 21 Μαρτίου 2021 στις 21:17 Ο ιωαννηs έγραψε: #10 21-03-21 21:17 Γεια σου ΔΙΑ με προλαβες , ειπα να φαω κρεας με τηγανίτες πατατες Ερωτημα γ) Σημείωση: Το μήνυμα αυτό γράφτηκε 5 χρόνια πριν. Ο συντάκτης του πιθανόν να έχει αλλάξει απόψεις έκτοτε. Heimerdinger Νεοφερμένο μέλος Η Heimerdinger αυτή τη στιγμή δεν είναι συνδεδεμένη. Είναι 21 ετών. Έχει γράψει 12 μηνύματα. 22 Μαρτίου 2021 στις 11:12 Η Heimerdinger: #11 22-03-21 11:12 Θα ήθελα βοήθεια σε αυτή την άσκηση Γεωμετρίας Σημείωση: Το μήνυμα αυτό γράφτηκε 5 χρόνια πριν. Ο συντάκτης του πιθανόν να έχει αλλάξει απόψεις έκτοτε. Επεξεργάστηκε από συντονιστή: 22 Μαρτίου 2021 ιωαννηs Επιφανές μέλος Ο ιωαννηs δεν κοινοποιεί τη δραστηριότητά του. Είναι 25 ετών, Φοιτητής του τμήματος Πρόγραμμα Ιερατικών Σπουδών και μας γράφει από Πειραιάς (Αττική). Έχει γράψει 15.638 μηνύματα. 22 Μαρτίου 2021 στις 14:33 Ο ιωαννηs έγραψε: #12 22-03-21 14:33 Σημείωση: Το μήνυμα αυτό γράφτηκε 5 χρόνια πριν. Ο συντάκτης του πιθανόν να έχει αλλάξει απόψεις έκτοτε. Heimerdinger Νεοφερμένο μέλος Η Heimerdinger αυτή τη στιγμή δεν είναι συνδεδεμένη. Είναι 21 ετών. Έχει γράψει 12 μηνύματα. 22 Μαρτίου 2021 στις 16:54 Η Heimerdinger: #13 22-03-21 16:54 Αρχική Δημοσίευση από γιαννης_00: Click για ανάπτυξη... Ευχαριστώ παρααα πολύ κατάφερα να τα καταλάβω Σημείωση: Το μήνυμα αυτό γράφτηκε 5 χρόνια πριν. Ο συντάκτης του πιθανόν να έχει αλλάξει απόψεις έκτοτε. ιωαννηs Επιφανές μέλος Ο ιωαννηs δεν κοινοποιεί τη δραστηριότητά του. Είναι 25 ετών, Φοιτητής του τμήματος Πρόγραμμα Ιερατικών Σπουδών και μας γράφει από Πειραιάς (Αττική). Έχει γράψει 15.638 μηνύματα. 22 Μαρτίου 2021 στις 16:55 Ο ιωαννηs έγραψε: #14 22-03-21 16:55 Αρχική Δημοσίευση από Heimerdinger: Ευχαριστώ παρααα πολύ κατάφερα να τα καταλάβω Click για ανάπτυξη... Ωραια τωρα θα φτιαξουμε και την αλλη. Σημείωση: Το μήνυμα αυτό γράφτηκε 5 χρόνια πριν. Ο συντάκτης του πιθανόν να έχει αλλάξει απόψεις έκτοτε. ιωαννηs Επιφανές μέλος Ο ιωαννηs δεν κοινοποιεί τη δραστηριότητά του. Είναι 25 ετών, Φοιτητής του τμήματος Πρόγραμμα Ιερατικών Σπουδών και μας γράφει από Πειραιάς (Αττική). Έχει γράψει 15.638 μηνύματα. 22 Μαρτίου 2021 στις 18:53 Ο ιωαννηs έγραψε: #15 22-03-21 18:53 Σημείωση: Το μήνυμα αυτό γράφτηκε 5 χρόνια πριν. Ο συντάκτης του πιθανόν να έχει αλλάξει απόψεις έκτοτε. Heimerdinger Νεοφερμένο μέλος Η Heimerdinger αυτή τη στιγμή δεν είναι συνδεδεμένη. Είναι 21 ετών. Έχει γράψει 12 μηνύματα. 22 Μαρτίου 2021 στις 19:01 Η Heimerdinger: #16 22-03-21 19:01 Αρχική Δημοσίευση από γιαννης_00: Click για ανάπτυξη... Ευχαριστώ παρα πολυ Σημείωση: Το μήνυμα αυτό γράφτηκε 5 χρόνια πριν. Ο συντάκτης του πιθανόν να έχει αλλάξει απόψεις έκτοτε. ιωαννηs Επιφανές μέλος Ο ιωαννηs δεν κοινοποιεί τη δραστηριότητά του. Είναι 25 ετών, Φοιτητής του τμήματος Πρόγραμμα Ιερατικών Σπουδών και μας γράφει από Πειραιάς (Αττική). Έχει γράψει 15.638 μηνύματα. 22 Μαρτίου 2021 στις 19:30 Ο ιωαννηs έγραψε: #17 22-03-21 19:30 Heimerdinger το ερώτημα Γ στην δεύτερη άσκηση εχει λαθος εμμονης και κουρασης μην το λαβεις υπ οψιν σου εδω ειναι το σωστο και ειναι απλουστερο. Σημείωση: Το μήνυμα αυτό γράφτηκε 5 χρόνια πριν. Ο συντάκτης του πιθανόν να έχει αλλάξει απόψεις έκτοτε. Συνημμένα 1616433898724.png 14,6 KB · Εμφανίσεις: 275 Τελευταία επεξεργασία: 22 Μαρτίου 2021 Συνδεθείτε ή εγγραφείτε για να απαντήσετε εδώ. Χρήστες Βρείτε παρόμοια Τα παρακάτω 0 μέλη και 0 επισκέπτες διαβάζουν μαζί με εσάς αυτό το θέμα: Tα παρακάτω 39 μέλη διάβασαν αυτό το θέμα: Startx0 globglogabgalab _Aggelos123 Heimerdinger Dr House Σωτηρία Georgekk papa2g the purge Konstantinos4 Scandal Cortes eukleidhs1821 giannist_ SlimShady το κοριτσι του μαη Alexandros36k 1205 nucomer Δήμος Βλάχος Xristinaqui pink_panther Φορτώνει... Μοιραστείτε: Facebook X Bluesky LinkedIn Reddit Pinterest Tumblr WhatsApp Email Μοιραστείτε Link ΑΠΑΝΤΗΣΗ Το forum μας χρησιμοποιεί cookies για να βελτιστοποιήσει την εμπειρία σας. Συνεχίζοντας την περιήγησή σας, συναινείτε στη χρήση cookies στον περιηγητή σας. Συμφωνώ Περισσότερα... Back Top
Αρχική Δημοσίευση από Στέφανι 884: Click για ανάπτυξη... Αρχική Δημοσίευση από γιαννης_00: Stefani καλημερα, αυτες τις ασκησεις τις αντιμετωπιζετε καθαρα ως γεωμετρια ή βαζετε και λιγο τριγωνομετρια μεσα? Click για ανάπτυξη... Καλημέρα ,χρησιμοποιούμε και τριγωνομετρια Σημείωση: Το μήνυμα αυτό γράφτηκε 5 χρόνια πριν. Ο συντάκτης του πιθανόν να έχει αλλάξει απόψεις έκτοτε.
ιωαννηs Επιφανές μέλος Ο ιωαννηs δεν κοινοποιεί τη δραστηριότητά του. Είναι 25 ετών, Φοιτητής του τμήματος Πρόγραμμα Ιερατικών Σπουδών και μας γράφει από Πειραιάς (Αττική). Έχει γράψει 15.638 μηνύματα. 21 Μαρτίου 2021 στις 17:20 Ο ιωαννηs έγραψε: #4 21-03-21 17:20 Εδω ειναι η δευτερη ασκηση Σημείωση: Το μήνυμα αυτό γράφτηκε 5 χρόνια πριν. Ο συντάκτης του πιθανόν να έχει αλλάξει απόψεις έκτοτε. Συνημμένα 1616339671234.png 27,1 KB · Εμφανίσεις: 248 ιωαννηs Επιφανές μέλος Ο ιωαννηs δεν κοινοποιεί τη δραστηριότητά του. Είναι 25 ετών, Φοιτητής του τμήματος Πρόγραμμα Ιερατικών Σπουδών και μας γράφει από Πειραιάς (Αττική). Έχει γράψει 15.638 μηνύματα. 21 Μαρτίου 2021 στις 19:15 Ο ιωαννηs έγραψε: #5 21-03-21 19:15 Εδω και η πρώτη άσκηση αλλά ελλιπής Σημείωση: Το μήνυμα αυτό γράφτηκε 5 χρόνια πριν. Ο συντάκτης του πιθανόν να έχει αλλάξει απόψεις έκτοτε. Heimerdinger Νεοφερμένο μέλος Η Heimerdinger αυτή τη στιγμή δεν είναι συνδεδεμένη. Είναι 21 ετών. Έχει γράψει 12 μηνύματα. 21 Μαρτίου 2021 στις 20:54 Η Heimerdinger: #6 21-03-21 20:54 Αρχική Δημοσίευση από γιαννης_00: Εδω και η πρώτη άσκηση αλλά ελλιπής Click για ανάπτυξη... Ευχαριστώ το εκτιμώ πολύ Αυτόματη ένωση συνεχόμενων μηνυμάτων: 21 Μαρτίου 2021 Αρχική Δημοσίευση από γιαννης_00: Εδω ειναι η δευτερη ασκηση Click για ανάπτυξη... Ευχαριστώ πάρα πολυ Σημείωση: Το μήνυμα αυτό γράφτηκε 5 χρόνια πριν. Ο συντάκτης του πιθανόν να έχει αλλάξει απόψεις έκτοτε. Dias Επιφανές μέλος Ο Dias δεν κοινοποιεί τη δραστηριότητά του. Είναι Καθηγητής κι έχει σπουδάσει στο τμήμα Φυσικής ΕΚΠΑ (Αθήνα). Έχει γράψει 10.984 μηνύματα. 21 Μαρτίου 2021 στις 20:58 Ο Dias έγραψε: #7 21-03-21 20:58 Ερώτημα γ Για το τρίγωνο ΓΔΕ είναι ΓΔ = 15, ΔΕ = 14, ΕΓ = 13, το εμβαδόν είναι Ε = 84 Η ημιπερίμετρος είναι τ = (ΓΔ + ΔΕ + ΕΓ):2 = (15 + 14 + 13):2 = 21 Ισχύουν οι σχέσεις (σχολ. βιβλ. άλλοι τύποι για το εμβαδόν τριγώνου): Ε = τ.ρ => ρ = Ε/τ => ρ = 84/21 => ρ = 4 Ε = (γινόμενο πλευρών)/4R => R = ΓΔ.ΔΕ.ΕΓ/4Ε => R = ((15.14.13)/(4.84) => R = 8,125 Σημείωση: Το μήνυμα αυτό γράφτηκε 5 χρόνια πριν. Ο συντάκτης του πιθανόν να έχει αλλάξει απόψεις έκτοτε. Heimerdinger Νεοφερμένο μέλος Η Heimerdinger αυτή τη στιγμή δεν είναι συνδεδεμένη. Είναι 21 ετών. Έχει γράψει 12 μηνύματα. 21 Μαρτίου 2021 στις 21:00 Η Heimerdinger: #8 21-03-21 21:00 Αρχική Δημοσίευση από Dias: Ερώτημα γ Για το τρίγωνο ΓΔΕ είναι ΓΔ = 15, ΔΕ = 14, ΕΓ = 13, το εμβαδόν είναι Ε = 84 Η ημιπερίμετρος είναι τ = ΓΔ + ΔΕ + ΕΓ = 15 + 14 + 13 = 21 Ισχύουν οι σχέσεις (σχολ. βιβλ. άλλοι τύποι για το εμβαδόν τριγώνου): Ε = τ.ρ => ρ = Ε/τ => ρ = 84/21 => ρ = 4 Ε = (γινόμενο πλευρών)/4R => R = ΓΔ.ΔΕ.ΕΓ/4Ε => R = ((15.14.13)/(4.84) => R = 8,125 Click για ανάπτυξη... Ευχαριστώ πολύ Σημείωση: Το μήνυμα αυτό γράφτηκε 5 χρόνια πριν. Ο συντάκτης του πιθανόν να έχει αλλάξει απόψεις έκτοτε. Dias Επιφανές μέλος Ο Dias δεν κοινοποιεί τη δραστηριότητά του. Είναι Καθηγητής κι έχει σπουδάσει στο τμήμα Φυσικής ΕΚΠΑ (Αθήνα). Έχει γράψει 10.984 μηνύματα. 21 Μαρτίου 2021 στις 21:06 Ο Dias έγραψε: #9 21-03-21 21:06 Αρχική Δημοσίευση από Στέφανι 884: Ευχαριστώ πολύ Click για ανάπτυξη... ΠΡΌΣΕΞΕ έχει γίνει διόρθωση στην ημιπερίμετρο! Σημείωση: Το μήνυμα αυτό γράφτηκε 5 χρόνια πριν. Ο συντάκτης του πιθανόν να έχει αλλάξει απόψεις έκτοτε. ιωαννηs Επιφανές μέλος Ο ιωαννηs δεν κοινοποιεί τη δραστηριότητά του. Είναι 25 ετών, Φοιτητής του τμήματος Πρόγραμμα Ιερατικών Σπουδών και μας γράφει από Πειραιάς (Αττική). Έχει γράψει 15.638 μηνύματα. 21 Μαρτίου 2021 στις 21:17 Ο ιωαννηs έγραψε: #10 21-03-21 21:17 Γεια σου ΔΙΑ με προλαβες , ειπα να φαω κρεας με τηγανίτες πατατες Ερωτημα γ) Σημείωση: Το μήνυμα αυτό γράφτηκε 5 χρόνια πριν. Ο συντάκτης του πιθανόν να έχει αλλάξει απόψεις έκτοτε. Heimerdinger Νεοφερμένο μέλος Η Heimerdinger αυτή τη στιγμή δεν είναι συνδεδεμένη. Είναι 21 ετών. Έχει γράψει 12 μηνύματα. 22 Μαρτίου 2021 στις 11:12 Η Heimerdinger: #11 22-03-21 11:12 Θα ήθελα βοήθεια σε αυτή την άσκηση Γεωμετρίας Σημείωση: Το μήνυμα αυτό γράφτηκε 5 χρόνια πριν. Ο συντάκτης του πιθανόν να έχει αλλάξει απόψεις έκτοτε. Επεξεργάστηκε από συντονιστή: 22 Μαρτίου 2021 ιωαννηs Επιφανές μέλος Ο ιωαννηs δεν κοινοποιεί τη δραστηριότητά του. Είναι 25 ετών, Φοιτητής του τμήματος Πρόγραμμα Ιερατικών Σπουδών και μας γράφει από Πειραιάς (Αττική). Έχει γράψει 15.638 μηνύματα. 22 Μαρτίου 2021 στις 14:33 Ο ιωαννηs έγραψε: #12 22-03-21 14:33 Σημείωση: Το μήνυμα αυτό γράφτηκε 5 χρόνια πριν. Ο συντάκτης του πιθανόν να έχει αλλάξει απόψεις έκτοτε. Heimerdinger Νεοφερμένο μέλος Η Heimerdinger αυτή τη στιγμή δεν είναι συνδεδεμένη. Είναι 21 ετών. Έχει γράψει 12 μηνύματα. 22 Μαρτίου 2021 στις 16:54 Η Heimerdinger: #13 22-03-21 16:54 Αρχική Δημοσίευση από γιαννης_00: Click για ανάπτυξη... Ευχαριστώ παρααα πολύ κατάφερα να τα καταλάβω Σημείωση: Το μήνυμα αυτό γράφτηκε 5 χρόνια πριν. Ο συντάκτης του πιθανόν να έχει αλλάξει απόψεις έκτοτε. ιωαννηs Επιφανές μέλος Ο ιωαννηs δεν κοινοποιεί τη δραστηριότητά του. Είναι 25 ετών, Φοιτητής του τμήματος Πρόγραμμα Ιερατικών Σπουδών και μας γράφει από Πειραιάς (Αττική). Έχει γράψει 15.638 μηνύματα. 22 Μαρτίου 2021 στις 16:55 Ο ιωαννηs έγραψε: #14 22-03-21 16:55 Αρχική Δημοσίευση από Heimerdinger: Ευχαριστώ παρααα πολύ κατάφερα να τα καταλάβω Click για ανάπτυξη... Ωραια τωρα θα φτιαξουμε και την αλλη. Σημείωση: Το μήνυμα αυτό γράφτηκε 5 χρόνια πριν. Ο συντάκτης του πιθανόν να έχει αλλάξει απόψεις έκτοτε. ιωαννηs Επιφανές μέλος Ο ιωαννηs δεν κοινοποιεί τη δραστηριότητά του. Είναι 25 ετών, Φοιτητής του τμήματος Πρόγραμμα Ιερατικών Σπουδών και μας γράφει από Πειραιάς (Αττική). Έχει γράψει 15.638 μηνύματα. 22 Μαρτίου 2021 στις 18:53 Ο ιωαννηs έγραψε: #15 22-03-21 18:53 Σημείωση: Το μήνυμα αυτό γράφτηκε 5 χρόνια πριν. Ο συντάκτης του πιθανόν να έχει αλλάξει απόψεις έκτοτε. Heimerdinger Νεοφερμένο μέλος Η Heimerdinger αυτή τη στιγμή δεν είναι συνδεδεμένη. Είναι 21 ετών. Έχει γράψει 12 μηνύματα. 22 Μαρτίου 2021 στις 19:01 Η Heimerdinger: #16 22-03-21 19:01 Αρχική Δημοσίευση από γιαννης_00: Click για ανάπτυξη... Ευχαριστώ παρα πολυ Σημείωση: Το μήνυμα αυτό γράφτηκε 5 χρόνια πριν. Ο συντάκτης του πιθανόν να έχει αλλάξει απόψεις έκτοτε. ιωαννηs Επιφανές μέλος Ο ιωαννηs δεν κοινοποιεί τη δραστηριότητά του. Είναι 25 ετών, Φοιτητής του τμήματος Πρόγραμμα Ιερατικών Σπουδών και μας γράφει από Πειραιάς (Αττική). Έχει γράψει 15.638 μηνύματα. 22 Μαρτίου 2021 στις 19:30 Ο ιωαννηs έγραψε: #17 22-03-21 19:30 Heimerdinger το ερώτημα Γ στην δεύτερη άσκηση εχει λαθος εμμονης και κουρασης μην το λαβεις υπ οψιν σου εδω ειναι το σωστο και ειναι απλουστερο. Σημείωση: Το μήνυμα αυτό γράφτηκε 5 χρόνια πριν. Ο συντάκτης του πιθανόν να έχει αλλάξει απόψεις έκτοτε. Συνημμένα 1616433898724.png 14,6 KB · Εμφανίσεις: 275 Τελευταία επεξεργασία: 22 Μαρτίου 2021 Συνδεθείτε ή εγγραφείτε για να απαντήσετε εδώ. Χρήστες Βρείτε παρόμοια Τα παρακάτω 0 μέλη και 0 επισκέπτες διαβάζουν μαζί με εσάς αυτό το θέμα: Tα παρακάτω 39 μέλη διάβασαν αυτό το θέμα: Startx0 globglogabgalab _Aggelos123 Heimerdinger Dr House Σωτηρία Georgekk papa2g the purge Konstantinos4 Scandal Cortes eukleidhs1821 giannist_ SlimShady το κοριτσι του μαη Alexandros36k 1205 nucomer Δήμος Βλάχος Xristinaqui pink_panther Φορτώνει... Μοιραστείτε: Facebook X Bluesky LinkedIn Reddit Pinterest Tumblr WhatsApp Email Μοιραστείτε Link ΑΠΑΝΤΗΣΗ Το forum μας χρησιμοποιεί cookies για να βελτιστοποιήσει την εμπειρία σας. Συνεχίζοντας την περιήγησή σας, συναινείτε στη χρήση cookies στον περιηγητή σας. Συμφωνώ Περισσότερα... Back Top
Εδω ειναι η δευτερη ασκηση Σημείωση: Το μήνυμα αυτό γράφτηκε 5 χρόνια πριν. Ο συντάκτης του πιθανόν να έχει αλλάξει απόψεις έκτοτε.
ιωαννηs Επιφανές μέλος Ο ιωαννηs δεν κοινοποιεί τη δραστηριότητά του. Είναι 25 ετών, Φοιτητής του τμήματος Πρόγραμμα Ιερατικών Σπουδών και μας γράφει από Πειραιάς (Αττική). Έχει γράψει 15.638 μηνύματα. 21 Μαρτίου 2021 στις 19:15 Ο ιωαννηs έγραψε: #5 21-03-21 19:15 Εδω και η πρώτη άσκηση αλλά ελλιπής Σημείωση: Το μήνυμα αυτό γράφτηκε 5 χρόνια πριν. Ο συντάκτης του πιθανόν να έχει αλλάξει απόψεις έκτοτε. Heimerdinger Νεοφερμένο μέλος Η Heimerdinger αυτή τη στιγμή δεν είναι συνδεδεμένη. Είναι 21 ετών. Έχει γράψει 12 μηνύματα. 21 Μαρτίου 2021 στις 20:54 Η Heimerdinger: #6 21-03-21 20:54 Αρχική Δημοσίευση από γιαννης_00: Εδω και η πρώτη άσκηση αλλά ελλιπής Click για ανάπτυξη... Ευχαριστώ το εκτιμώ πολύ Αυτόματη ένωση συνεχόμενων μηνυμάτων: 21 Μαρτίου 2021 Αρχική Δημοσίευση από γιαννης_00: Εδω ειναι η δευτερη ασκηση Click για ανάπτυξη... Ευχαριστώ πάρα πολυ Σημείωση: Το μήνυμα αυτό γράφτηκε 5 χρόνια πριν. Ο συντάκτης του πιθανόν να έχει αλλάξει απόψεις έκτοτε. Dias Επιφανές μέλος Ο Dias δεν κοινοποιεί τη δραστηριότητά του. Είναι Καθηγητής κι έχει σπουδάσει στο τμήμα Φυσικής ΕΚΠΑ (Αθήνα). Έχει γράψει 10.984 μηνύματα. 21 Μαρτίου 2021 στις 20:58 Ο Dias έγραψε: #7 21-03-21 20:58 Ερώτημα γ Για το τρίγωνο ΓΔΕ είναι ΓΔ = 15, ΔΕ = 14, ΕΓ = 13, το εμβαδόν είναι Ε = 84 Η ημιπερίμετρος είναι τ = (ΓΔ + ΔΕ + ΕΓ):2 = (15 + 14 + 13):2 = 21 Ισχύουν οι σχέσεις (σχολ. βιβλ. άλλοι τύποι για το εμβαδόν τριγώνου): Ε = τ.ρ => ρ = Ε/τ => ρ = 84/21 => ρ = 4 Ε = (γινόμενο πλευρών)/4R => R = ΓΔ.ΔΕ.ΕΓ/4Ε => R = ((15.14.13)/(4.84) => R = 8,125 Σημείωση: Το μήνυμα αυτό γράφτηκε 5 χρόνια πριν. Ο συντάκτης του πιθανόν να έχει αλλάξει απόψεις έκτοτε. Heimerdinger Νεοφερμένο μέλος Η Heimerdinger αυτή τη στιγμή δεν είναι συνδεδεμένη. Είναι 21 ετών. Έχει γράψει 12 μηνύματα. 21 Μαρτίου 2021 στις 21:00 Η Heimerdinger: #8 21-03-21 21:00 Αρχική Δημοσίευση από Dias: Ερώτημα γ Για το τρίγωνο ΓΔΕ είναι ΓΔ = 15, ΔΕ = 14, ΕΓ = 13, το εμβαδόν είναι Ε = 84 Η ημιπερίμετρος είναι τ = ΓΔ + ΔΕ + ΕΓ = 15 + 14 + 13 = 21 Ισχύουν οι σχέσεις (σχολ. βιβλ. άλλοι τύποι για το εμβαδόν τριγώνου): Ε = τ.ρ => ρ = Ε/τ => ρ = 84/21 => ρ = 4 Ε = (γινόμενο πλευρών)/4R => R = ΓΔ.ΔΕ.ΕΓ/4Ε => R = ((15.14.13)/(4.84) => R = 8,125 Click για ανάπτυξη... Ευχαριστώ πολύ Σημείωση: Το μήνυμα αυτό γράφτηκε 5 χρόνια πριν. Ο συντάκτης του πιθανόν να έχει αλλάξει απόψεις έκτοτε. Dias Επιφανές μέλος Ο Dias δεν κοινοποιεί τη δραστηριότητά του. Είναι Καθηγητής κι έχει σπουδάσει στο τμήμα Φυσικής ΕΚΠΑ (Αθήνα). Έχει γράψει 10.984 μηνύματα. 21 Μαρτίου 2021 στις 21:06 Ο Dias έγραψε: #9 21-03-21 21:06 Αρχική Δημοσίευση από Στέφανι 884: Ευχαριστώ πολύ Click για ανάπτυξη... ΠΡΌΣΕΞΕ έχει γίνει διόρθωση στην ημιπερίμετρο! Σημείωση: Το μήνυμα αυτό γράφτηκε 5 χρόνια πριν. Ο συντάκτης του πιθανόν να έχει αλλάξει απόψεις έκτοτε. ιωαννηs Επιφανές μέλος Ο ιωαννηs δεν κοινοποιεί τη δραστηριότητά του. Είναι 25 ετών, Φοιτητής του τμήματος Πρόγραμμα Ιερατικών Σπουδών και μας γράφει από Πειραιάς (Αττική). Έχει γράψει 15.638 μηνύματα. 21 Μαρτίου 2021 στις 21:17 Ο ιωαννηs έγραψε: #10 21-03-21 21:17 Γεια σου ΔΙΑ με προλαβες , ειπα να φαω κρεας με τηγανίτες πατατες Ερωτημα γ) Σημείωση: Το μήνυμα αυτό γράφτηκε 5 χρόνια πριν. Ο συντάκτης του πιθανόν να έχει αλλάξει απόψεις έκτοτε. Heimerdinger Νεοφερμένο μέλος Η Heimerdinger αυτή τη στιγμή δεν είναι συνδεδεμένη. Είναι 21 ετών. Έχει γράψει 12 μηνύματα. 22 Μαρτίου 2021 στις 11:12 Η Heimerdinger: #11 22-03-21 11:12 Θα ήθελα βοήθεια σε αυτή την άσκηση Γεωμετρίας Σημείωση: Το μήνυμα αυτό γράφτηκε 5 χρόνια πριν. Ο συντάκτης του πιθανόν να έχει αλλάξει απόψεις έκτοτε. Επεξεργάστηκε από συντονιστή: 22 Μαρτίου 2021 ιωαννηs Επιφανές μέλος Ο ιωαννηs δεν κοινοποιεί τη δραστηριότητά του. Είναι 25 ετών, Φοιτητής του τμήματος Πρόγραμμα Ιερατικών Σπουδών και μας γράφει από Πειραιάς (Αττική). Έχει γράψει 15.638 μηνύματα. 22 Μαρτίου 2021 στις 14:33 Ο ιωαννηs έγραψε: #12 22-03-21 14:33 Σημείωση: Το μήνυμα αυτό γράφτηκε 5 χρόνια πριν. Ο συντάκτης του πιθανόν να έχει αλλάξει απόψεις έκτοτε. Heimerdinger Νεοφερμένο μέλος Η Heimerdinger αυτή τη στιγμή δεν είναι συνδεδεμένη. Είναι 21 ετών. Έχει γράψει 12 μηνύματα. 22 Μαρτίου 2021 στις 16:54 Η Heimerdinger: #13 22-03-21 16:54 Αρχική Δημοσίευση από γιαννης_00: Click για ανάπτυξη... Ευχαριστώ παρααα πολύ κατάφερα να τα καταλάβω Σημείωση: Το μήνυμα αυτό γράφτηκε 5 χρόνια πριν. Ο συντάκτης του πιθανόν να έχει αλλάξει απόψεις έκτοτε. ιωαννηs Επιφανές μέλος Ο ιωαννηs δεν κοινοποιεί τη δραστηριότητά του. Είναι 25 ετών, Φοιτητής του τμήματος Πρόγραμμα Ιερατικών Σπουδών και μας γράφει από Πειραιάς (Αττική). Έχει γράψει 15.638 μηνύματα. 22 Μαρτίου 2021 στις 16:55 Ο ιωαννηs έγραψε: #14 22-03-21 16:55 Αρχική Δημοσίευση από Heimerdinger: Ευχαριστώ παρααα πολύ κατάφερα να τα καταλάβω Click για ανάπτυξη... Ωραια τωρα θα φτιαξουμε και την αλλη. Σημείωση: Το μήνυμα αυτό γράφτηκε 5 χρόνια πριν. Ο συντάκτης του πιθανόν να έχει αλλάξει απόψεις έκτοτε. ιωαννηs Επιφανές μέλος Ο ιωαννηs δεν κοινοποιεί τη δραστηριότητά του. Είναι 25 ετών, Φοιτητής του τμήματος Πρόγραμμα Ιερατικών Σπουδών και μας γράφει από Πειραιάς (Αττική). Έχει γράψει 15.638 μηνύματα. 22 Μαρτίου 2021 στις 18:53 Ο ιωαννηs έγραψε: #15 22-03-21 18:53 Σημείωση: Το μήνυμα αυτό γράφτηκε 5 χρόνια πριν. Ο συντάκτης του πιθανόν να έχει αλλάξει απόψεις έκτοτε. Heimerdinger Νεοφερμένο μέλος Η Heimerdinger αυτή τη στιγμή δεν είναι συνδεδεμένη. Είναι 21 ετών. Έχει γράψει 12 μηνύματα. 22 Μαρτίου 2021 στις 19:01 Η Heimerdinger: #16 22-03-21 19:01 Αρχική Δημοσίευση από γιαννης_00: Click για ανάπτυξη... Ευχαριστώ παρα πολυ Σημείωση: Το μήνυμα αυτό γράφτηκε 5 χρόνια πριν. Ο συντάκτης του πιθανόν να έχει αλλάξει απόψεις έκτοτε. ιωαννηs Επιφανές μέλος Ο ιωαννηs δεν κοινοποιεί τη δραστηριότητά του. Είναι 25 ετών, Φοιτητής του τμήματος Πρόγραμμα Ιερατικών Σπουδών και μας γράφει από Πειραιάς (Αττική). Έχει γράψει 15.638 μηνύματα. 22 Μαρτίου 2021 στις 19:30 Ο ιωαννηs έγραψε: #17 22-03-21 19:30 Heimerdinger το ερώτημα Γ στην δεύτερη άσκηση εχει λαθος εμμονης και κουρασης μην το λαβεις υπ οψιν σου εδω ειναι το σωστο και ειναι απλουστερο. Σημείωση: Το μήνυμα αυτό γράφτηκε 5 χρόνια πριν. Ο συντάκτης του πιθανόν να έχει αλλάξει απόψεις έκτοτε. Συνημμένα 1616433898724.png 14,6 KB · Εμφανίσεις: 275 Τελευταία επεξεργασία: 22 Μαρτίου 2021 Συνδεθείτε ή εγγραφείτε για να απαντήσετε εδώ. Χρήστες Βρείτε παρόμοια Τα παρακάτω 0 μέλη και 0 επισκέπτες διαβάζουν μαζί με εσάς αυτό το θέμα: Tα παρακάτω 39 μέλη διάβασαν αυτό το θέμα: Startx0 globglogabgalab _Aggelos123 Heimerdinger Dr House Σωτηρία Georgekk papa2g the purge Konstantinos4 Scandal Cortes eukleidhs1821 giannist_ SlimShady το κοριτσι του μαη Alexandros36k 1205 nucomer Δήμος Βλάχος Xristinaqui pink_panther Φορτώνει... Μοιραστείτε: Facebook X Bluesky LinkedIn Reddit Pinterest Tumblr WhatsApp Email Μοιραστείτε Link ΑΠΑΝΤΗΣΗ Το forum μας χρησιμοποιεί cookies για να βελτιστοποιήσει την εμπειρία σας. Συνεχίζοντας την περιήγησή σας, συναινείτε στη χρήση cookies στον περιηγητή σας. Συμφωνώ Περισσότερα... Back Top
Εδω και η πρώτη άσκηση αλλά ελλιπής Σημείωση: Το μήνυμα αυτό γράφτηκε 5 χρόνια πριν. Ο συντάκτης του πιθανόν να έχει αλλάξει απόψεις έκτοτε.
Heimerdinger Νεοφερμένο μέλος Η Heimerdinger αυτή τη στιγμή δεν είναι συνδεδεμένη. Είναι 21 ετών. Έχει γράψει 12 μηνύματα. 21 Μαρτίου 2021 στις 20:54 Η Heimerdinger: #6 21-03-21 20:54 Αρχική Δημοσίευση από γιαννης_00: Εδω και η πρώτη άσκηση αλλά ελλιπής Click για ανάπτυξη... Ευχαριστώ το εκτιμώ πολύ Αυτόματη ένωση συνεχόμενων μηνυμάτων: 21 Μαρτίου 2021 Αρχική Δημοσίευση από γιαννης_00: Εδω ειναι η δευτερη ασκηση Click για ανάπτυξη... Ευχαριστώ πάρα πολυ Σημείωση: Το μήνυμα αυτό γράφτηκε 5 χρόνια πριν. Ο συντάκτης του πιθανόν να έχει αλλάξει απόψεις έκτοτε. Dias Επιφανές μέλος Ο Dias δεν κοινοποιεί τη δραστηριότητά του. Είναι Καθηγητής κι έχει σπουδάσει στο τμήμα Φυσικής ΕΚΠΑ (Αθήνα). Έχει γράψει 10.984 μηνύματα. 21 Μαρτίου 2021 στις 20:58 Ο Dias έγραψε: #7 21-03-21 20:58 Ερώτημα γ Για το τρίγωνο ΓΔΕ είναι ΓΔ = 15, ΔΕ = 14, ΕΓ = 13, το εμβαδόν είναι Ε = 84 Η ημιπερίμετρος είναι τ = (ΓΔ + ΔΕ + ΕΓ):2 = (15 + 14 + 13):2 = 21 Ισχύουν οι σχέσεις (σχολ. βιβλ. άλλοι τύποι για το εμβαδόν τριγώνου): Ε = τ.ρ => ρ = Ε/τ => ρ = 84/21 => ρ = 4 Ε = (γινόμενο πλευρών)/4R => R = ΓΔ.ΔΕ.ΕΓ/4Ε => R = ((15.14.13)/(4.84) => R = 8,125 Σημείωση: Το μήνυμα αυτό γράφτηκε 5 χρόνια πριν. Ο συντάκτης του πιθανόν να έχει αλλάξει απόψεις έκτοτε. Heimerdinger Νεοφερμένο μέλος Η Heimerdinger αυτή τη στιγμή δεν είναι συνδεδεμένη. Είναι 21 ετών. Έχει γράψει 12 μηνύματα. 21 Μαρτίου 2021 στις 21:00 Η Heimerdinger: #8 21-03-21 21:00 Αρχική Δημοσίευση από Dias: Ερώτημα γ Για το τρίγωνο ΓΔΕ είναι ΓΔ = 15, ΔΕ = 14, ΕΓ = 13, το εμβαδόν είναι Ε = 84 Η ημιπερίμετρος είναι τ = ΓΔ + ΔΕ + ΕΓ = 15 + 14 + 13 = 21 Ισχύουν οι σχέσεις (σχολ. βιβλ. άλλοι τύποι για το εμβαδόν τριγώνου): Ε = τ.ρ => ρ = Ε/τ => ρ = 84/21 => ρ = 4 Ε = (γινόμενο πλευρών)/4R => R = ΓΔ.ΔΕ.ΕΓ/4Ε => R = ((15.14.13)/(4.84) => R = 8,125 Click για ανάπτυξη... Ευχαριστώ πολύ Σημείωση: Το μήνυμα αυτό γράφτηκε 5 χρόνια πριν. Ο συντάκτης του πιθανόν να έχει αλλάξει απόψεις έκτοτε. Dias Επιφανές μέλος Ο Dias δεν κοινοποιεί τη δραστηριότητά του. Είναι Καθηγητής κι έχει σπουδάσει στο τμήμα Φυσικής ΕΚΠΑ (Αθήνα). Έχει γράψει 10.984 μηνύματα. 21 Μαρτίου 2021 στις 21:06 Ο Dias έγραψε: #9 21-03-21 21:06 Αρχική Δημοσίευση από Στέφανι 884: Ευχαριστώ πολύ Click για ανάπτυξη... ΠΡΌΣΕΞΕ έχει γίνει διόρθωση στην ημιπερίμετρο! Σημείωση: Το μήνυμα αυτό γράφτηκε 5 χρόνια πριν. Ο συντάκτης του πιθανόν να έχει αλλάξει απόψεις έκτοτε. ιωαννηs Επιφανές μέλος Ο ιωαννηs δεν κοινοποιεί τη δραστηριότητά του. Είναι 25 ετών, Φοιτητής του τμήματος Πρόγραμμα Ιερατικών Σπουδών και μας γράφει από Πειραιάς (Αττική). Έχει γράψει 15.638 μηνύματα. 21 Μαρτίου 2021 στις 21:17 Ο ιωαννηs έγραψε: #10 21-03-21 21:17 Γεια σου ΔΙΑ με προλαβες , ειπα να φαω κρεας με τηγανίτες πατατες Ερωτημα γ) Σημείωση: Το μήνυμα αυτό γράφτηκε 5 χρόνια πριν. Ο συντάκτης του πιθανόν να έχει αλλάξει απόψεις έκτοτε. Heimerdinger Νεοφερμένο μέλος Η Heimerdinger αυτή τη στιγμή δεν είναι συνδεδεμένη. Είναι 21 ετών. Έχει γράψει 12 μηνύματα. 22 Μαρτίου 2021 στις 11:12 Η Heimerdinger: #11 22-03-21 11:12 Θα ήθελα βοήθεια σε αυτή την άσκηση Γεωμετρίας Σημείωση: Το μήνυμα αυτό γράφτηκε 5 χρόνια πριν. Ο συντάκτης του πιθανόν να έχει αλλάξει απόψεις έκτοτε. Επεξεργάστηκε από συντονιστή: 22 Μαρτίου 2021 ιωαννηs Επιφανές μέλος Ο ιωαννηs δεν κοινοποιεί τη δραστηριότητά του. Είναι 25 ετών, Φοιτητής του τμήματος Πρόγραμμα Ιερατικών Σπουδών και μας γράφει από Πειραιάς (Αττική). Έχει γράψει 15.638 μηνύματα. 22 Μαρτίου 2021 στις 14:33 Ο ιωαννηs έγραψε: #12 22-03-21 14:33 Σημείωση: Το μήνυμα αυτό γράφτηκε 5 χρόνια πριν. Ο συντάκτης του πιθανόν να έχει αλλάξει απόψεις έκτοτε. Heimerdinger Νεοφερμένο μέλος Η Heimerdinger αυτή τη στιγμή δεν είναι συνδεδεμένη. Είναι 21 ετών. Έχει γράψει 12 μηνύματα. 22 Μαρτίου 2021 στις 16:54 Η Heimerdinger: #13 22-03-21 16:54 Αρχική Δημοσίευση από γιαννης_00: Click για ανάπτυξη... Ευχαριστώ παρααα πολύ κατάφερα να τα καταλάβω Σημείωση: Το μήνυμα αυτό γράφτηκε 5 χρόνια πριν. Ο συντάκτης του πιθανόν να έχει αλλάξει απόψεις έκτοτε. ιωαννηs Επιφανές μέλος Ο ιωαννηs δεν κοινοποιεί τη δραστηριότητά του. Είναι 25 ετών, Φοιτητής του τμήματος Πρόγραμμα Ιερατικών Σπουδών και μας γράφει από Πειραιάς (Αττική). Έχει γράψει 15.638 μηνύματα. 22 Μαρτίου 2021 στις 16:55 Ο ιωαννηs έγραψε: #14 22-03-21 16:55 Αρχική Δημοσίευση από Heimerdinger: Ευχαριστώ παρααα πολύ κατάφερα να τα καταλάβω Click για ανάπτυξη... Ωραια τωρα θα φτιαξουμε και την αλλη. Σημείωση: Το μήνυμα αυτό γράφτηκε 5 χρόνια πριν. Ο συντάκτης του πιθανόν να έχει αλλάξει απόψεις έκτοτε. ιωαννηs Επιφανές μέλος Ο ιωαννηs δεν κοινοποιεί τη δραστηριότητά του. Είναι 25 ετών, Φοιτητής του τμήματος Πρόγραμμα Ιερατικών Σπουδών και μας γράφει από Πειραιάς (Αττική). Έχει γράψει 15.638 μηνύματα. 22 Μαρτίου 2021 στις 18:53 Ο ιωαννηs έγραψε: #15 22-03-21 18:53 Σημείωση: Το μήνυμα αυτό γράφτηκε 5 χρόνια πριν. Ο συντάκτης του πιθανόν να έχει αλλάξει απόψεις έκτοτε. Heimerdinger Νεοφερμένο μέλος Η Heimerdinger αυτή τη στιγμή δεν είναι συνδεδεμένη. Είναι 21 ετών. Έχει γράψει 12 μηνύματα. 22 Μαρτίου 2021 στις 19:01 Η Heimerdinger: #16 22-03-21 19:01 Αρχική Δημοσίευση από γιαννης_00: Click για ανάπτυξη... Ευχαριστώ παρα πολυ Σημείωση: Το μήνυμα αυτό γράφτηκε 5 χρόνια πριν. Ο συντάκτης του πιθανόν να έχει αλλάξει απόψεις έκτοτε. ιωαννηs Επιφανές μέλος Ο ιωαννηs δεν κοινοποιεί τη δραστηριότητά του. Είναι 25 ετών, Φοιτητής του τμήματος Πρόγραμμα Ιερατικών Σπουδών και μας γράφει από Πειραιάς (Αττική). Έχει γράψει 15.638 μηνύματα. 22 Μαρτίου 2021 στις 19:30 Ο ιωαννηs έγραψε: #17 22-03-21 19:30 Heimerdinger το ερώτημα Γ στην δεύτερη άσκηση εχει λαθος εμμονης και κουρασης μην το λαβεις υπ οψιν σου εδω ειναι το σωστο και ειναι απλουστερο. Σημείωση: Το μήνυμα αυτό γράφτηκε 5 χρόνια πριν. Ο συντάκτης του πιθανόν να έχει αλλάξει απόψεις έκτοτε. Συνημμένα 1616433898724.png 14,6 KB · Εμφανίσεις: 275 Τελευταία επεξεργασία: 22 Μαρτίου 2021 Συνδεθείτε ή εγγραφείτε για να απαντήσετε εδώ. Χρήστες Βρείτε παρόμοια Τα παρακάτω 0 μέλη και 0 επισκέπτες διαβάζουν μαζί με εσάς αυτό το θέμα: Tα παρακάτω 39 μέλη διάβασαν αυτό το θέμα: Startx0 globglogabgalab _Aggelos123 Heimerdinger Dr House Σωτηρία Georgekk papa2g the purge Konstantinos4 Scandal Cortes eukleidhs1821 giannist_ SlimShady το κοριτσι του μαη Alexandros36k 1205 nucomer Δήμος Βλάχος Xristinaqui pink_panther Φορτώνει... Μοιραστείτε: Facebook X Bluesky LinkedIn Reddit Pinterest Tumblr WhatsApp Email Μοιραστείτε Link ΑΠΑΝΤΗΣΗ Το forum μας χρησιμοποιεί cookies για να βελτιστοποιήσει την εμπειρία σας. Συνεχίζοντας την περιήγησή σας, συναινείτε στη χρήση cookies στον περιηγητή σας. Συμφωνώ Περισσότερα... Back Top
Αρχική Δημοσίευση από γιαννης_00: Εδω και η πρώτη άσκηση αλλά ελλιπής Click για ανάπτυξη... Ευχαριστώ το εκτιμώ πολύ Αυτόματη ένωση συνεχόμενων μηνυμάτων: 21 Μαρτίου 2021 Αρχική Δημοσίευση από γιαννης_00: Εδω ειναι η δευτερη ασκηση Click για ανάπτυξη... Ευχαριστώ πάρα πολυ Σημείωση: Το μήνυμα αυτό γράφτηκε 5 χρόνια πριν. Ο συντάκτης του πιθανόν να έχει αλλάξει απόψεις έκτοτε.
Dias Επιφανές μέλος Ο Dias δεν κοινοποιεί τη δραστηριότητά του. Είναι Καθηγητής κι έχει σπουδάσει στο τμήμα Φυσικής ΕΚΠΑ (Αθήνα). Έχει γράψει 10.984 μηνύματα. 21 Μαρτίου 2021 στις 20:58 Ο Dias έγραψε: #7 21-03-21 20:58 Ερώτημα γ Για το τρίγωνο ΓΔΕ είναι ΓΔ = 15, ΔΕ = 14, ΕΓ = 13, το εμβαδόν είναι Ε = 84 Η ημιπερίμετρος είναι τ = (ΓΔ + ΔΕ + ΕΓ):2 = (15 + 14 + 13):2 = 21 Ισχύουν οι σχέσεις (σχολ. βιβλ. άλλοι τύποι για το εμβαδόν τριγώνου): Ε = τ.ρ => ρ = Ε/τ => ρ = 84/21 => ρ = 4 Ε = (γινόμενο πλευρών)/4R => R = ΓΔ.ΔΕ.ΕΓ/4Ε => R = ((15.14.13)/(4.84) => R = 8,125 Σημείωση: Το μήνυμα αυτό γράφτηκε 5 χρόνια πριν. Ο συντάκτης του πιθανόν να έχει αλλάξει απόψεις έκτοτε. Heimerdinger Νεοφερμένο μέλος Η Heimerdinger αυτή τη στιγμή δεν είναι συνδεδεμένη. Είναι 21 ετών. Έχει γράψει 12 μηνύματα. 21 Μαρτίου 2021 στις 21:00 Η Heimerdinger: #8 21-03-21 21:00 Αρχική Δημοσίευση από Dias: Ερώτημα γ Για το τρίγωνο ΓΔΕ είναι ΓΔ = 15, ΔΕ = 14, ΕΓ = 13, το εμβαδόν είναι Ε = 84 Η ημιπερίμετρος είναι τ = ΓΔ + ΔΕ + ΕΓ = 15 + 14 + 13 = 21 Ισχύουν οι σχέσεις (σχολ. βιβλ. άλλοι τύποι για το εμβαδόν τριγώνου): Ε = τ.ρ => ρ = Ε/τ => ρ = 84/21 => ρ = 4 Ε = (γινόμενο πλευρών)/4R => R = ΓΔ.ΔΕ.ΕΓ/4Ε => R = ((15.14.13)/(4.84) => R = 8,125 Click για ανάπτυξη... Ευχαριστώ πολύ Σημείωση: Το μήνυμα αυτό γράφτηκε 5 χρόνια πριν. Ο συντάκτης του πιθανόν να έχει αλλάξει απόψεις έκτοτε. Dias Επιφανές μέλος Ο Dias δεν κοινοποιεί τη δραστηριότητά του. Είναι Καθηγητής κι έχει σπουδάσει στο τμήμα Φυσικής ΕΚΠΑ (Αθήνα). Έχει γράψει 10.984 μηνύματα. 21 Μαρτίου 2021 στις 21:06 Ο Dias έγραψε: #9 21-03-21 21:06 Αρχική Δημοσίευση από Στέφανι 884: Ευχαριστώ πολύ Click για ανάπτυξη... ΠΡΌΣΕΞΕ έχει γίνει διόρθωση στην ημιπερίμετρο! Σημείωση: Το μήνυμα αυτό γράφτηκε 5 χρόνια πριν. Ο συντάκτης του πιθανόν να έχει αλλάξει απόψεις έκτοτε. ιωαννηs Επιφανές μέλος Ο ιωαννηs δεν κοινοποιεί τη δραστηριότητά του. Είναι 25 ετών, Φοιτητής του τμήματος Πρόγραμμα Ιερατικών Σπουδών και μας γράφει από Πειραιάς (Αττική). Έχει γράψει 15.638 μηνύματα. 21 Μαρτίου 2021 στις 21:17 Ο ιωαννηs έγραψε: #10 21-03-21 21:17 Γεια σου ΔΙΑ με προλαβες , ειπα να φαω κρεας με τηγανίτες πατατες Ερωτημα γ) Σημείωση: Το μήνυμα αυτό γράφτηκε 5 χρόνια πριν. Ο συντάκτης του πιθανόν να έχει αλλάξει απόψεις έκτοτε. Heimerdinger Νεοφερμένο μέλος Η Heimerdinger αυτή τη στιγμή δεν είναι συνδεδεμένη. Είναι 21 ετών. Έχει γράψει 12 μηνύματα. 22 Μαρτίου 2021 στις 11:12 Η Heimerdinger: #11 22-03-21 11:12 Θα ήθελα βοήθεια σε αυτή την άσκηση Γεωμετρίας Σημείωση: Το μήνυμα αυτό γράφτηκε 5 χρόνια πριν. Ο συντάκτης του πιθανόν να έχει αλλάξει απόψεις έκτοτε. Επεξεργάστηκε από συντονιστή: 22 Μαρτίου 2021 ιωαννηs Επιφανές μέλος Ο ιωαννηs δεν κοινοποιεί τη δραστηριότητά του. Είναι 25 ετών, Φοιτητής του τμήματος Πρόγραμμα Ιερατικών Σπουδών και μας γράφει από Πειραιάς (Αττική). Έχει γράψει 15.638 μηνύματα. 22 Μαρτίου 2021 στις 14:33 Ο ιωαννηs έγραψε: #12 22-03-21 14:33 Σημείωση: Το μήνυμα αυτό γράφτηκε 5 χρόνια πριν. Ο συντάκτης του πιθανόν να έχει αλλάξει απόψεις έκτοτε. Heimerdinger Νεοφερμένο μέλος Η Heimerdinger αυτή τη στιγμή δεν είναι συνδεδεμένη. Είναι 21 ετών. Έχει γράψει 12 μηνύματα. 22 Μαρτίου 2021 στις 16:54 Η Heimerdinger: #13 22-03-21 16:54 Αρχική Δημοσίευση από γιαννης_00: Click για ανάπτυξη... Ευχαριστώ παρααα πολύ κατάφερα να τα καταλάβω Σημείωση: Το μήνυμα αυτό γράφτηκε 5 χρόνια πριν. Ο συντάκτης του πιθανόν να έχει αλλάξει απόψεις έκτοτε. ιωαννηs Επιφανές μέλος Ο ιωαννηs δεν κοινοποιεί τη δραστηριότητά του. Είναι 25 ετών, Φοιτητής του τμήματος Πρόγραμμα Ιερατικών Σπουδών και μας γράφει από Πειραιάς (Αττική). Έχει γράψει 15.638 μηνύματα. 22 Μαρτίου 2021 στις 16:55 Ο ιωαννηs έγραψε: #14 22-03-21 16:55 Αρχική Δημοσίευση από Heimerdinger: Ευχαριστώ παρααα πολύ κατάφερα να τα καταλάβω Click για ανάπτυξη... Ωραια τωρα θα φτιαξουμε και την αλλη. Σημείωση: Το μήνυμα αυτό γράφτηκε 5 χρόνια πριν. Ο συντάκτης του πιθανόν να έχει αλλάξει απόψεις έκτοτε. ιωαννηs Επιφανές μέλος Ο ιωαννηs δεν κοινοποιεί τη δραστηριότητά του. Είναι 25 ετών, Φοιτητής του τμήματος Πρόγραμμα Ιερατικών Σπουδών και μας γράφει από Πειραιάς (Αττική). Έχει γράψει 15.638 μηνύματα. 22 Μαρτίου 2021 στις 18:53 Ο ιωαννηs έγραψε: #15 22-03-21 18:53 Σημείωση: Το μήνυμα αυτό γράφτηκε 5 χρόνια πριν. Ο συντάκτης του πιθανόν να έχει αλλάξει απόψεις έκτοτε. Heimerdinger Νεοφερμένο μέλος Η Heimerdinger αυτή τη στιγμή δεν είναι συνδεδεμένη. Είναι 21 ετών. Έχει γράψει 12 μηνύματα. 22 Μαρτίου 2021 στις 19:01 Η Heimerdinger: #16 22-03-21 19:01 Αρχική Δημοσίευση από γιαννης_00: Click για ανάπτυξη... Ευχαριστώ παρα πολυ Σημείωση: Το μήνυμα αυτό γράφτηκε 5 χρόνια πριν. Ο συντάκτης του πιθανόν να έχει αλλάξει απόψεις έκτοτε. ιωαννηs Επιφανές μέλος Ο ιωαννηs δεν κοινοποιεί τη δραστηριότητά του. Είναι 25 ετών, Φοιτητής του τμήματος Πρόγραμμα Ιερατικών Σπουδών και μας γράφει από Πειραιάς (Αττική). Έχει γράψει 15.638 μηνύματα. 22 Μαρτίου 2021 στις 19:30 Ο ιωαννηs έγραψε: #17 22-03-21 19:30 Heimerdinger το ερώτημα Γ στην δεύτερη άσκηση εχει λαθος εμμονης και κουρασης μην το λαβεις υπ οψιν σου εδω ειναι το σωστο και ειναι απλουστερο. Σημείωση: Το μήνυμα αυτό γράφτηκε 5 χρόνια πριν. Ο συντάκτης του πιθανόν να έχει αλλάξει απόψεις έκτοτε. Συνημμένα 1616433898724.png 14,6 KB · Εμφανίσεις: 275 Τελευταία επεξεργασία: 22 Μαρτίου 2021 Συνδεθείτε ή εγγραφείτε για να απαντήσετε εδώ. Χρήστες Βρείτε παρόμοια Τα παρακάτω 0 μέλη και 0 επισκέπτες διαβάζουν μαζί με εσάς αυτό το θέμα: Tα παρακάτω 39 μέλη διάβασαν αυτό το θέμα: Startx0 globglogabgalab _Aggelos123 Heimerdinger Dr House Σωτηρία Georgekk papa2g the purge Konstantinos4 Scandal Cortes eukleidhs1821 giannist_ SlimShady το κοριτσι του μαη Alexandros36k 1205 nucomer Δήμος Βλάχος Xristinaqui pink_panther Φορτώνει... Μοιραστείτε: Facebook X Bluesky LinkedIn Reddit Pinterest Tumblr WhatsApp Email Μοιραστείτε Link ΑΠΑΝΤΗΣΗ Το forum μας χρησιμοποιεί cookies για να βελτιστοποιήσει την εμπειρία σας. Συνεχίζοντας την περιήγησή σας, συναινείτε στη χρήση cookies στον περιηγητή σας. Συμφωνώ Περισσότερα... Back Top
Ερώτημα γ Για το τρίγωνο ΓΔΕ είναι ΓΔ = 15, ΔΕ = 14, ΕΓ = 13, το εμβαδόν είναι Ε = 84 Η ημιπερίμετρος είναι τ = (ΓΔ + ΔΕ + ΕΓ):2 = (15 + 14 + 13):2 = 21 Ισχύουν οι σχέσεις (σχολ. βιβλ. άλλοι τύποι για το εμβαδόν τριγώνου): Ε = τ.ρ => ρ = Ε/τ => ρ = 84/21 => ρ = 4 Ε = (γινόμενο πλευρών)/4R => R = ΓΔ.ΔΕ.ΕΓ/4Ε => R = ((15.14.13)/(4.84) => R = 8,125 Σημείωση: Το μήνυμα αυτό γράφτηκε 5 χρόνια πριν. Ο συντάκτης του πιθανόν να έχει αλλάξει απόψεις έκτοτε.
Heimerdinger Νεοφερμένο μέλος Η Heimerdinger αυτή τη στιγμή δεν είναι συνδεδεμένη. Είναι 21 ετών. Έχει γράψει 12 μηνύματα. 21 Μαρτίου 2021 στις 21:00 Η Heimerdinger: #8 21-03-21 21:00 Αρχική Δημοσίευση από Dias: Ερώτημα γ Για το τρίγωνο ΓΔΕ είναι ΓΔ = 15, ΔΕ = 14, ΕΓ = 13, το εμβαδόν είναι Ε = 84 Η ημιπερίμετρος είναι τ = ΓΔ + ΔΕ + ΕΓ = 15 + 14 + 13 = 21 Ισχύουν οι σχέσεις (σχολ. βιβλ. άλλοι τύποι για το εμβαδόν τριγώνου): Ε = τ.ρ => ρ = Ε/τ => ρ = 84/21 => ρ = 4 Ε = (γινόμενο πλευρών)/4R => R = ΓΔ.ΔΕ.ΕΓ/4Ε => R = ((15.14.13)/(4.84) => R = 8,125 Click για ανάπτυξη... Ευχαριστώ πολύ Σημείωση: Το μήνυμα αυτό γράφτηκε 5 χρόνια πριν. Ο συντάκτης του πιθανόν να έχει αλλάξει απόψεις έκτοτε. Dias Επιφανές μέλος Ο Dias δεν κοινοποιεί τη δραστηριότητά του. Είναι Καθηγητής κι έχει σπουδάσει στο τμήμα Φυσικής ΕΚΠΑ (Αθήνα). Έχει γράψει 10.984 μηνύματα. 21 Μαρτίου 2021 στις 21:06 Ο Dias έγραψε: #9 21-03-21 21:06 Αρχική Δημοσίευση από Στέφανι 884: Ευχαριστώ πολύ Click για ανάπτυξη... ΠΡΌΣΕΞΕ έχει γίνει διόρθωση στην ημιπερίμετρο! Σημείωση: Το μήνυμα αυτό γράφτηκε 5 χρόνια πριν. Ο συντάκτης του πιθανόν να έχει αλλάξει απόψεις έκτοτε. ιωαννηs Επιφανές μέλος Ο ιωαννηs δεν κοινοποιεί τη δραστηριότητά του. Είναι 25 ετών, Φοιτητής του τμήματος Πρόγραμμα Ιερατικών Σπουδών και μας γράφει από Πειραιάς (Αττική). Έχει γράψει 15.638 μηνύματα. 21 Μαρτίου 2021 στις 21:17 Ο ιωαννηs έγραψε: #10 21-03-21 21:17 Γεια σου ΔΙΑ με προλαβες , ειπα να φαω κρεας με τηγανίτες πατατες Ερωτημα γ) Σημείωση: Το μήνυμα αυτό γράφτηκε 5 χρόνια πριν. Ο συντάκτης του πιθανόν να έχει αλλάξει απόψεις έκτοτε. Heimerdinger Νεοφερμένο μέλος Η Heimerdinger αυτή τη στιγμή δεν είναι συνδεδεμένη. Είναι 21 ετών. Έχει γράψει 12 μηνύματα. 22 Μαρτίου 2021 στις 11:12 Η Heimerdinger: #11 22-03-21 11:12 Θα ήθελα βοήθεια σε αυτή την άσκηση Γεωμετρίας Σημείωση: Το μήνυμα αυτό γράφτηκε 5 χρόνια πριν. Ο συντάκτης του πιθανόν να έχει αλλάξει απόψεις έκτοτε. Επεξεργάστηκε από συντονιστή: 22 Μαρτίου 2021 ιωαννηs Επιφανές μέλος Ο ιωαννηs δεν κοινοποιεί τη δραστηριότητά του. Είναι 25 ετών, Φοιτητής του τμήματος Πρόγραμμα Ιερατικών Σπουδών και μας γράφει από Πειραιάς (Αττική). Έχει γράψει 15.638 μηνύματα. 22 Μαρτίου 2021 στις 14:33 Ο ιωαννηs έγραψε: #12 22-03-21 14:33 Σημείωση: Το μήνυμα αυτό γράφτηκε 5 χρόνια πριν. Ο συντάκτης του πιθανόν να έχει αλλάξει απόψεις έκτοτε. Heimerdinger Νεοφερμένο μέλος Η Heimerdinger αυτή τη στιγμή δεν είναι συνδεδεμένη. Είναι 21 ετών. Έχει γράψει 12 μηνύματα. 22 Μαρτίου 2021 στις 16:54 Η Heimerdinger: #13 22-03-21 16:54 Αρχική Δημοσίευση από γιαννης_00: Click για ανάπτυξη... Ευχαριστώ παρααα πολύ κατάφερα να τα καταλάβω Σημείωση: Το μήνυμα αυτό γράφτηκε 5 χρόνια πριν. Ο συντάκτης του πιθανόν να έχει αλλάξει απόψεις έκτοτε. ιωαννηs Επιφανές μέλος Ο ιωαννηs δεν κοινοποιεί τη δραστηριότητά του. Είναι 25 ετών, Φοιτητής του τμήματος Πρόγραμμα Ιερατικών Σπουδών και μας γράφει από Πειραιάς (Αττική). Έχει γράψει 15.638 μηνύματα. 22 Μαρτίου 2021 στις 16:55 Ο ιωαννηs έγραψε: #14 22-03-21 16:55 Αρχική Δημοσίευση από Heimerdinger: Ευχαριστώ παρααα πολύ κατάφερα να τα καταλάβω Click για ανάπτυξη... Ωραια τωρα θα φτιαξουμε και την αλλη. Σημείωση: Το μήνυμα αυτό γράφτηκε 5 χρόνια πριν. Ο συντάκτης του πιθανόν να έχει αλλάξει απόψεις έκτοτε. ιωαννηs Επιφανές μέλος Ο ιωαννηs δεν κοινοποιεί τη δραστηριότητά του. Είναι 25 ετών, Φοιτητής του τμήματος Πρόγραμμα Ιερατικών Σπουδών και μας γράφει από Πειραιάς (Αττική). Έχει γράψει 15.638 μηνύματα. 22 Μαρτίου 2021 στις 18:53 Ο ιωαννηs έγραψε: #15 22-03-21 18:53 Σημείωση: Το μήνυμα αυτό γράφτηκε 5 χρόνια πριν. Ο συντάκτης του πιθανόν να έχει αλλάξει απόψεις έκτοτε. Heimerdinger Νεοφερμένο μέλος Η Heimerdinger αυτή τη στιγμή δεν είναι συνδεδεμένη. Είναι 21 ετών. Έχει γράψει 12 μηνύματα. 22 Μαρτίου 2021 στις 19:01 Η Heimerdinger: #16 22-03-21 19:01 Αρχική Δημοσίευση από γιαννης_00: Click για ανάπτυξη... Ευχαριστώ παρα πολυ Σημείωση: Το μήνυμα αυτό γράφτηκε 5 χρόνια πριν. Ο συντάκτης του πιθανόν να έχει αλλάξει απόψεις έκτοτε. ιωαννηs Επιφανές μέλος Ο ιωαννηs δεν κοινοποιεί τη δραστηριότητά του. Είναι 25 ετών, Φοιτητής του τμήματος Πρόγραμμα Ιερατικών Σπουδών και μας γράφει από Πειραιάς (Αττική). Έχει γράψει 15.638 μηνύματα. 22 Μαρτίου 2021 στις 19:30 Ο ιωαννηs έγραψε: #17 22-03-21 19:30 Heimerdinger το ερώτημα Γ στην δεύτερη άσκηση εχει λαθος εμμονης και κουρασης μην το λαβεις υπ οψιν σου εδω ειναι το σωστο και ειναι απλουστερο. Σημείωση: Το μήνυμα αυτό γράφτηκε 5 χρόνια πριν. Ο συντάκτης του πιθανόν να έχει αλλάξει απόψεις έκτοτε. Συνημμένα 1616433898724.png 14,6 KB · Εμφανίσεις: 275 Τελευταία επεξεργασία: 22 Μαρτίου 2021 Συνδεθείτε ή εγγραφείτε για να απαντήσετε εδώ. Χρήστες Βρείτε παρόμοια Τα παρακάτω 0 μέλη και 0 επισκέπτες διαβάζουν μαζί με εσάς αυτό το θέμα: Tα παρακάτω 39 μέλη διάβασαν αυτό το θέμα: Startx0 globglogabgalab _Aggelos123 Heimerdinger Dr House Σωτηρία Georgekk papa2g the purge Konstantinos4 Scandal Cortes eukleidhs1821 giannist_ SlimShady το κοριτσι του μαη Alexandros36k 1205 nucomer Δήμος Βλάχος Xristinaqui pink_panther Φορτώνει... Μοιραστείτε: Facebook X Bluesky LinkedIn Reddit Pinterest Tumblr WhatsApp Email Μοιραστείτε Link ΑΠΑΝΤΗΣΗ Το forum μας χρησιμοποιεί cookies για να βελτιστοποιήσει την εμπειρία σας. Συνεχίζοντας την περιήγησή σας, συναινείτε στη χρήση cookies στον περιηγητή σας. Συμφωνώ Περισσότερα... Back Top
Αρχική Δημοσίευση από Dias: Ερώτημα γ Για το τρίγωνο ΓΔΕ είναι ΓΔ = 15, ΔΕ = 14, ΕΓ = 13, το εμβαδόν είναι Ε = 84 Η ημιπερίμετρος είναι τ = ΓΔ + ΔΕ + ΕΓ = 15 + 14 + 13 = 21 Ισχύουν οι σχέσεις (σχολ. βιβλ. άλλοι τύποι για το εμβαδόν τριγώνου): Ε = τ.ρ => ρ = Ε/τ => ρ = 84/21 => ρ = 4 Ε = (γινόμενο πλευρών)/4R => R = ΓΔ.ΔΕ.ΕΓ/4Ε => R = ((15.14.13)/(4.84) => R = 8,125 Click για ανάπτυξη... Ευχαριστώ πολύ Σημείωση: Το μήνυμα αυτό γράφτηκε 5 χρόνια πριν. Ο συντάκτης του πιθανόν να έχει αλλάξει απόψεις έκτοτε.
Dias Επιφανές μέλος Ο Dias δεν κοινοποιεί τη δραστηριότητά του. Είναι Καθηγητής κι έχει σπουδάσει στο τμήμα Φυσικής ΕΚΠΑ (Αθήνα). Έχει γράψει 10.984 μηνύματα. 21 Μαρτίου 2021 στις 21:06 Ο Dias έγραψε: #9 21-03-21 21:06 Αρχική Δημοσίευση από Στέφανι 884: Ευχαριστώ πολύ Click για ανάπτυξη... ΠΡΌΣΕΞΕ έχει γίνει διόρθωση στην ημιπερίμετρο! Σημείωση: Το μήνυμα αυτό γράφτηκε 5 χρόνια πριν. Ο συντάκτης του πιθανόν να έχει αλλάξει απόψεις έκτοτε. ιωαννηs Επιφανές μέλος Ο ιωαννηs δεν κοινοποιεί τη δραστηριότητά του. Είναι 25 ετών, Φοιτητής του τμήματος Πρόγραμμα Ιερατικών Σπουδών και μας γράφει από Πειραιάς (Αττική). Έχει γράψει 15.638 μηνύματα. 21 Μαρτίου 2021 στις 21:17 Ο ιωαννηs έγραψε: #10 21-03-21 21:17 Γεια σου ΔΙΑ με προλαβες , ειπα να φαω κρεας με τηγανίτες πατατες Ερωτημα γ) Σημείωση: Το μήνυμα αυτό γράφτηκε 5 χρόνια πριν. Ο συντάκτης του πιθανόν να έχει αλλάξει απόψεις έκτοτε. Heimerdinger Νεοφερμένο μέλος Η Heimerdinger αυτή τη στιγμή δεν είναι συνδεδεμένη. Είναι 21 ετών. Έχει γράψει 12 μηνύματα. 22 Μαρτίου 2021 στις 11:12 Η Heimerdinger: #11 22-03-21 11:12 Θα ήθελα βοήθεια σε αυτή την άσκηση Γεωμετρίας Σημείωση: Το μήνυμα αυτό γράφτηκε 5 χρόνια πριν. Ο συντάκτης του πιθανόν να έχει αλλάξει απόψεις έκτοτε. Επεξεργάστηκε από συντονιστή: 22 Μαρτίου 2021 ιωαννηs Επιφανές μέλος Ο ιωαννηs δεν κοινοποιεί τη δραστηριότητά του. Είναι 25 ετών, Φοιτητής του τμήματος Πρόγραμμα Ιερατικών Σπουδών και μας γράφει από Πειραιάς (Αττική). Έχει γράψει 15.638 μηνύματα. 22 Μαρτίου 2021 στις 14:33 Ο ιωαννηs έγραψε: #12 22-03-21 14:33 Σημείωση: Το μήνυμα αυτό γράφτηκε 5 χρόνια πριν. Ο συντάκτης του πιθανόν να έχει αλλάξει απόψεις έκτοτε. Heimerdinger Νεοφερμένο μέλος Η Heimerdinger αυτή τη στιγμή δεν είναι συνδεδεμένη. Είναι 21 ετών. Έχει γράψει 12 μηνύματα. 22 Μαρτίου 2021 στις 16:54 Η Heimerdinger: #13 22-03-21 16:54 Αρχική Δημοσίευση από γιαννης_00: Click για ανάπτυξη... Ευχαριστώ παρααα πολύ κατάφερα να τα καταλάβω Σημείωση: Το μήνυμα αυτό γράφτηκε 5 χρόνια πριν. Ο συντάκτης του πιθανόν να έχει αλλάξει απόψεις έκτοτε. ιωαννηs Επιφανές μέλος Ο ιωαννηs δεν κοινοποιεί τη δραστηριότητά του. Είναι 25 ετών, Φοιτητής του τμήματος Πρόγραμμα Ιερατικών Σπουδών και μας γράφει από Πειραιάς (Αττική). Έχει γράψει 15.638 μηνύματα. 22 Μαρτίου 2021 στις 16:55 Ο ιωαννηs έγραψε: #14 22-03-21 16:55 Αρχική Δημοσίευση από Heimerdinger: Ευχαριστώ παρααα πολύ κατάφερα να τα καταλάβω Click για ανάπτυξη... Ωραια τωρα θα φτιαξουμε και την αλλη. Σημείωση: Το μήνυμα αυτό γράφτηκε 5 χρόνια πριν. Ο συντάκτης του πιθανόν να έχει αλλάξει απόψεις έκτοτε. ιωαννηs Επιφανές μέλος Ο ιωαννηs δεν κοινοποιεί τη δραστηριότητά του. Είναι 25 ετών, Φοιτητής του τμήματος Πρόγραμμα Ιερατικών Σπουδών και μας γράφει από Πειραιάς (Αττική). Έχει γράψει 15.638 μηνύματα. 22 Μαρτίου 2021 στις 18:53 Ο ιωαννηs έγραψε: #15 22-03-21 18:53 Σημείωση: Το μήνυμα αυτό γράφτηκε 5 χρόνια πριν. Ο συντάκτης του πιθανόν να έχει αλλάξει απόψεις έκτοτε. Heimerdinger Νεοφερμένο μέλος Η Heimerdinger αυτή τη στιγμή δεν είναι συνδεδεμένη. Είναι 21 ετών. Έχει γράψει 12 μηνύματα. 22 Μαρτίου 2021 στις 19:01 Η Heimerdinger: #16 22-03-21 19:01 Αρχική Δημοσίευση από γιαννης_00: Click για ανάπτυξη... Ευχαριστώ παρα πολυ Σημείωση: Το μήνυμα αυτό γράφτηκε 5 χρόνια πριν. Ο συντάκτης του πιθανόν να έχει αλλάξει απόψεις έκτοτε. ιωαννηs Επιφανές μέλος Ο ιωαννηs δεν κοινοποιεί τη δραστηριότητά του. Είναι 25 ετών, Φοιτητής του τμήματος Πρόγραμμα Ιερατικών Σπουδών και μας γράφει από Πειραιάς (Αττική). Έχει γράψει 15.638 μηνύματα. 22 Μαρτίου 2021 στις 19:30 Ο ιωαννηs έγραψε: #17 22-03-21 19:30 Heimerdinger το ερώτημα Γ στην δεύτερη άσκηση εχει λαθος εμμονης και κουρασης μην το λαβεις υπ οψιν σου εδω ειναι το σωστο και ειναι απλουστερο. Σημείωση: Το μήνυμα αυτό γράφτηκε 5 χρόνια πριν. Ο συντάκτης του πιθανόν να έχει αλλάξει απόψεις έκτοτε. Συνημμένα 1616433898724.png 14,6 KB · Εμφανίσεις: 275 Τελευταία επεξεργασία: 22 Μαρτίου 2021 Συνδεθείτε ή εγγραφείτε για να απαντήσετε εδώ. Χρήστες Βρείτε παρόμοια Τα παρακάτω 0 μέλη και 0 επισκέπτες διαβάζουν μαζί με εσάς αυτό το θέμα: Tα παρακάτω 39 μέλη διάβασαν αυτό το θέμα: Startx0 globglogabgalab _Aggelos123 Heimerdinger Dr House Σωτηρία Georgekk papa2g the purge Konstantinos4 Scandal Cortes eukleidhs1821 giannist_ SlimShady το κοριτσι του μαη Alexandros36k 1205 nucomer Δήμος Βλάχος Xristinaqui pink_panther Φορτώνει... Μοιραστείτε: Facebook X Bluesky LinkedIn Reddit Pinterest Tumblr WhatsApp Email Μοιραστείτε Link ΑΠΑΝΤΗΣΗ Το forum μας χρησιμοποιεί cookies για να βελτιστοποιήσει την εμπειρία σας. Συνεχίζοντας την περιήγησή σας, συναινείτε στη χρήση cookies στον περιηγητή σας. Συμφωνώ Περισσότερα... Back Top
Αρχική Δημοσίευση από Στέφανι 884: Ευχαριστώ πολύ Click για ανάπτυξη... ΠΡΌΣΕΞΕ έχει γίνει διόρθωση στην ημιπερίμετρο! Σημείωση: Το μήνυμα αυτό γράφτηκε 5 χρόνια πριν. Ο συντάκτης του πιθανόν να έχει αλλάξει απόψεις έκτοτε.
ιωαννηs Επιφανές μέλος Ο ιωαννηs δεν κοινοποιεί τη δραστηριότητά του. Είναι 25 ετών, Φοιτητής του τμήματος Πρόγραμμα Ιερατικών Σπουδών και μας γράφει από Πειραιάς (Αττική). Έχει γράψει 15.638 μηνύματα. 21 Μαρτίου 2021 στις 21:17 Ο ιωαννηs έγραψε: #10 21-03-21 21:17 Γεια σου ΔΙΑ με προλαβες , ειπα να φαω κρεας με τηγανίτες πατατες Ερωτημα γ) Σημείωση: Το μήνυμα αυτό γράφτηκε 5 χρόνια πριν. Ο συντάκτης του πιθανόν να έχει αλλάξει απόψεις έκτοτε. Heimerdinger Νεοφερμένο μέλος Η Heimerdinger αυτή τη στιγμή δεν είναι συνδεδεμένη. Είναι 21 ετών. Έχει γράψει 12 μηνύματα. 22 Μαρτίου 2021 στις 11:12 Η Heimerdinger: #11 22-03-21 11:12 Θα ήθελα βοήθεια σε αυτή την άσκηση Γεωμετρίας Σημείωση: Το μήνυμα αυτό γράφτηκε 5 χρόνια πριν. Ο συντάκτης του πιθανόν να έχει αλλάξει απόψεις έκτοτε. Επεξεργάστηκε από συντονιστή: 22 Μαρτίου 2021 ιωαννηs Επιφανές μέλος Ο ιωαννηs δεν κοινοποιεί τη δραστηριότητά του. Είναι 25 ετών, Φοιτητής του τμήματος Πρόγραμμα Ιερατικών Σπουδών και μας γράφει από Πειραιάς (Αττική). Έχει γράψει 15.638 μηνύματα. 22 Μαρτίου 2021 στις 14:33 Ο ιωαννηs έγραψε: #12 22-03-21 14:33 Σημείωση: Το μήνυμα αυτό γράφτηκε 5 χρόνια πριν. Ο συντάκτης του πιθανόν να έχει αλλάξει απόψεις έκτοτε. Heimerdinger Νεοφερμένο μέλος Η Heimerdinger αυτή τη στιγμή δεν είναι συνδεδεμένη. Είναι 21 ετών. Έχει γράψει 12 μηνύματα. 22 Μαρτίου 2021 στις 16:54 Η Heimerdinger: #13 22-03-21 16:54 Αρχική Δημοσίευση από γιαννης_00: Click για ανάπτυξη... Ευχαριστώ παρααα πολύ κατάφερα να τα καταλάβω Σημείωση: Το μήνυμα αυτό γράφτηκε 5 χρόνια πριν. Ο συντάκτης του πιθανόν να έχει αλλάξει απόψεις έκτοτε. ιωαννηs Επιφανές μέλος Ο ιωαννηs δεν κοινοποιεί τη δραστηριότητά του. Είναι 25 ετών, Φοιτητής του τμήματος Πρόγραμμα Ιερατικών Σπουδών και μας γράφει από Πειραιάς (Αττική). Έχει γράψει 15.638 μηνύματα. 22 Μαρτίου 2021 στις 16:55 Ο ιωαννηs έγραψε: #14 22-03-21 16:55 Αρχική Δημοσίευση από Heimerdinger: Ευχαριστώ παρααα πολύ κατάφερα να τα καταλάβω Click για ανάπτυξη... Ωραια τωρα θα φτιαξουμε και την αλλη. Σημείωση: Το μήνυμα αυτό γράφτηκε 5 χρόνια πριν. Ο συντάκτης του πιθανόν να έχει αλλάξει απόψεις έκτοτε. ιωαννηs Επιφανές μέλος Ο ιωαννηs δεν κοινοποιεί τη δραστηριότητά του. Είναι 25 ετών, Φοιτητής του τμήματος Πρόγραμμα Ιερατικών Σπουδών και μας γράφει από Πειραιάς (Αττική). Έχει γράψει 15.638 μηνύματα. 22 Μαρτίου 2021 στις 18:53 Ο ιωαννηs έγραψε: #15 22-03-21 18:53 Σημείωση: Το μήνυμα αυτό γράφτηκε 5 χρόνια πριν. Ο συντάκτης του πιθανόν να έχει αλλάξει απόψεις έκτοτε. Heimerdinger Νεοφερμένο μέλος Η Heimerdinger αυτή τη στιγμή δεν είναι συνδεδεμένη. Είναι 21 ετών. Έχει γράψει 12 μηνύματα. 22 Μαρτίου 2021 στις 19:01 Η Heimerdinger: #16 22-03-21 19:01 Αρχική Δημοσίευση από γιαννης_00: Click για ανάπτυξη... Ευχαριστώ παρα πολυ Σημείωση: Το μήνυμα αυτό γράφτηκε 5 χρόνια πριν. Ο συντάκτης του πιθανόν να έχει αλλάξει απόψεις έκτοτε. ιωαννηs Επιφανές μέλος Ο ιωαννηs δεν κοινοποιεί τη δραστηριότητά του. Είναι 25 ετών, Φοιτητής του τμήματος Πρόγραμμα Ιερατικών Σπουδών και μας γράφει από Πειραιάς (Αττική). Έχει γράψει 15.638 μηνύματα. 22 Μαρτίου 2021 στις 19:30 Ο ιωαννηs έγραψε: #17 22-03-21 19:30 Heimerdinger το ερώτημα Γ στην δεύτερη άσκηση εχει λαθος εμμονης και κουρασης μην το λαβεις υπ οψιν σου εδω ειναι το σωστο και ειναι απλουστερο. Σημείωση: Το μήνυμα αυτό γράφτηκε 5 χρόνια πριν. Ο συντάκτης του πιθανόν να έχει αλλάξει απόψεις έκτοτε. Συνημμένα 1616433898724.png 14,6 KB · Εμφανίσεις: 275 Τελευταία επεξεργασία: 22 Μαρτίου 2021 Συνδεθείτε ή εγγραφείτε για να απαντήσετε εδώ. Χρήστες Βρείτε παρόμοια Τα παρακάτω 0 μέλη και 0 επισκέπτες διαβάζουν μαζί με εσάς αυτό το θέμα: Tα παρακάτω 39 μέλη διάβασαν αυτό το θέμα: Startx0 globglogabgalab _Aggelos123 Heimerdinger Dr House Σωτηρία Georgekk papa2g the purge Konstantinos4 Scandal Cortes eukleidhs1821 giannist_ SlimShady το κοριτσι του μαη Alexandros36k 1205 nucomer Δήμος Βλάχος Xristinaqui pink_panther Φορτώνει... Μοιραστείτε: Facebook X Bluesky LinkedIn Reddit Pinterest Tumblr WhatsApp Email Μοιραστείτε Link ΑΠΑΝΤΗΣΗ
Γεια σου ΔΙΑ με προλαβες , ειπα να φαω κρεας με τηγανίτες πατατες Ερωτημα γ) Σημείωση: Το μήνυμα αυτό γράφτηκε 5 χρόνια πριν. Ο συντάκτης του πιθανόν να έχει αλλάξει απόψεις έκτοτε.
Heimerdinger Νεοφερμένο μέλος Η Heimerdinger αυτή τη στιγμή δεν είναι συνδεδεμένη. Είναι 21 ετών. Έχει γράψει 12 μηνύματα. 22 Μαρτίου 2021 στις 11:12 Η Heimerdinger: #11 22-03-21 11:12 Θα ήθελα βοήθεια σε αυτή την άσκηση Γεωμετρίας Σημείωση: Το μήνυμα αυτό γράφτηκε 5 χρόνια πριν. Ο συντάκτης του πιθανόν να έχει αλλάξει απόψεις έκτοτε. Επεξεργάστηκε από συντονιστή: 22 Μαρτίου 2021 ιωαννηs Επιφανές μέλος Ο ιωαννηs δεν κοινοποιεί τη δραστηριότητά του. Είναι 25 ετών, Φοιτητής του τμήματος Πρόγραμμα Ιερατικών Σπουδών και μας γράφει από Πειραιάς (Αττική). Έχει γράψει 15.638 μηνύματα. 22 Μαρτίου 2021 στις 14:33 Ο ιωαννηs έγραψε: #12 22-03-21 14:33 Σημείωση: Το μήνυμα αυτό γράφτηκε 5 χρόνια πριν. Ο συντάκτης του πιθανόν να έχει αλλάξει απόψεις έκτοτε. Heimerdinger Νεοφερμένο μέλος Η Heimerdinger αυτή τη στιγμή δεν είναι συνδεδεμένη. Είναι 21 ετών. Έχει γράψει 12 μηνύματα. 22 Μαρτίου 2021 στις 16:54 Η Heimerdinger: #13 22-03-21 16:54 Αρχική Δημοσίευση από γιαννης_00: Click για ανάπτυξη... Ευχαριστώ παρααα πολύ κατάφερα να τα καταλάβω Σημείωση: Το μήνυμα αυτό γράφτηκε 5 χρόνια πριν. Ο συντάκτης του πιθανόν να έχει αλλάξει απόψεις έκτοτε. ιωαννηs Επιφανές μέλος Ο ιωαννηs δεν κοινοποιεί τη δραστηριότητά του. Είναι 25 ετών, Φοιτητής του τμήματος Πρόγραμμα Ιερατικών Σπουδών και μας γράφει από Πειραιάς (Αττική). Έχει γράψει 15.638 μηνύματα. 22 Μαρτίου 2021 στις 16:55 Ο ιωαννηs έγραψε: #14 22-03-21 16:55 Αρχική Δημοσίευση από Heimerdinger: Ευχαριστώ παρααα πολύ κατάφερα να τα καταλάβω Click για ανάπτυξη... Ωραια τωρα θα φτιαξουμε και την αλλη. Σημείωση: Το μήνυμα αυτό γράφτηκε 5 χρόνια πριν. Ο συντάκτης του πιθανόν να έχει αλλάξει απόψεις έκτοτε. ιωαννηs Επιφανές μέλος Ο ιωαννηs δεν κοινοποιεί τη δραστηριότητά του. Είναι 25 ετών, Φοιτητής του τμήματος Πρόγραμμα Ιερατικών Σπουδών και μας γράφει από Πειραιάς (Αττική). Έχει γράψει 15.638 μηνύματα. 22 Μαρτίου 2021 στις 18:53 Ο ιωαννηs έγραψε: #15 22-03-21 18:53 Σημείωση: Το μήνυμα αυτό γράφτηκε 5 χρόνια πριν. Ο συντάκτης του πιθανόν να έχει αλλάξει απόψεις έκτοτε. Heimerdinger Νεοφερμένο μέλος Η Heimerdinger αυτή τη στιγμή δεν είναι συνδεδεμένη. Είναι 21 ετών. Έχει γράψει 12 μηνύματα. 22 Μαρτίου 2021 στις 19:01 Η Heimerdinger: #16 22-03-21 19:01 Αρχική Δημοσίευση από γιαννης_00: Click για ανάπτυξη... Ευχαριστώ παρα πολυ Σημείωση: Το μήνυμα αυτό γράφτηκε 5 χρόνια πριν. Ο συντάκτης του πιθανόν να έχει αλλάξει απόψεις έκτοτε. ιωαννηs Επιφανές μέλος Ο ιωαννηs δεν κοινοποιεί τη δραστηριότητά του. Είναι 25 ετών, Φοιτητής του τμήματος Πρόγραμμα Ιερατικών Σπουδών και μας γράφει από Πειραιάς (Αττική). Έχει γράψει 15.638 μηνύματα. 22 Μαρτίου 2021 στις 19:30 Ο ιωαννηs έγραψε: #17 22-03-21 19:30 Heimerdinger το ερώτημα Γ στην δεύτερη άσκηση εχει λαθος εμμονης και κουρασης μην το λαβεις υπ οψιν σου εδω ειναι το σωστο και ειναι απλουστερο. Σημείωση: Το μήνυμα αυτό γράφτηκε 5 χρόνια πριν. Ο συντάκτης του πιθανόν να έχει αλλάξει απόψεις έκτοτε. Συνημμένα 1616433898724.png 14,6 KB · Εμφανίσεις: 275 Τελευταία επεξεργασία: 22 Μαρτίου 2021 Συνδεθείτε ή εγγραφείτε για να απαντήσετε εδώ. Χρήστες Βρείτε παρόμοια Τα παρακάτω 0 μέλη και 0 επισκέπτες διαβάζουν μαζί με εσάς αυτό το θέμα: Tα παρακάτω 39 μέλη διάβασαν αυτό το θέμα: Startx0 globglogabgalab _Aggelos123 Heimerdinger Dr House Σωτηρία Georgekk papa2g the purge Konstantinos4 Scandal Cortes eukleidhs1821 giannist_ SlimShady το κοριτσι του μαη Alexandros36k 1205 nucomer Δήμος Βλάχος Xristinaqui pink_panther Φορτώνει... Μοιραστείτε: Facebook X Bluesky LinkedIn Reddit Pinterest Tumblr WhatsApp Email Μοιραστείτε Link ΑΠΑΝΤΗΣΗ
Θα ήθελα βοήθεια σε αυτή την άσκηση Γεωμετρίας Σημείωση: Το μήνυμα αυτό γράφτηκε 5 χρόνια πριν. Ο συντάκτης του πιθανόν να έχει αλλάξει απόψεις έκτοτε.
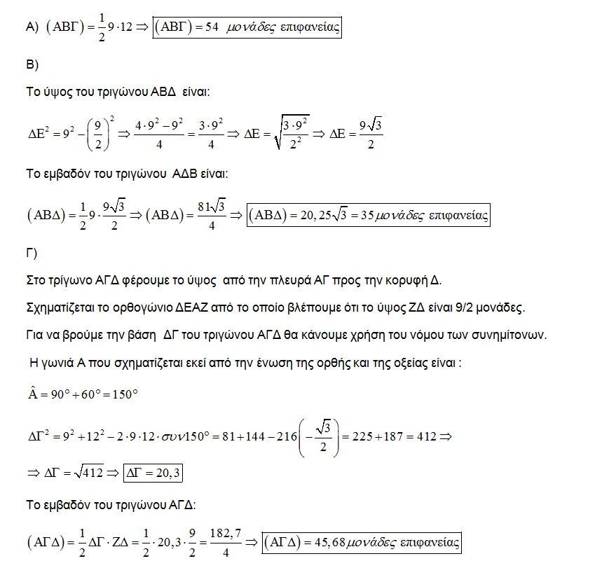
ιωαννηs Επιφανές μέλος Ο ιωαννηs δεν κοινοποιεί τη δραστηριότητά του. Είναι 25 ετών, Φοιτητής του τμήματος Πρόγραμμα Ιερατικών Σπουδών και μας γράφει από Πειραιάς (Αττική). Έχει γράψει 15.638 μηνύματα. 22 Μαρτίου 2021 στις 14:33 Ο ιωαννηs έγραψε: #12 22-03-21 14:33 Σημείωση: Το μήνυμα αυτό γράφτηκε 5 χρόνια πριν. Ο συντάκτης του πιθανόν να έχει αλλάξει απόψεις έκτοτε. Heimerdinger Νεοφερμένο μέλος Η Heimerdinger αυτή τη στιγμή δεν είναι συνδεδεμένη. Είναι 21 ετών. Έχει γράψει 12 μηνύματα. 22 Μαρτίου 2021 στις 16:54 Η Heimerdinger: #13 22-03-21 16:54 Αρχική Δημοσίευση από γιαννης_00: Click για ανάπτυξη... Ευχαριστώ παρααα πολύ κατάφερα να τα καταλάβω Σημείωση: Το μήνυμα αυτό γράφτηκε 5 χρόνια πριν. Ο συντάκτης του πιθανόν να έχει αλλάξει απόψεις έκτοτε. ιωαννηs Επιφανές μέλος Ο ιωαννηs δεν κοινοποιεί τη δραστηριότητά του. Είναι 25 ετών, Φοιτητής του τμήματος Πρόγραμμα Ιερατικών Σπουδών και μας γράφει από Πειραιάς (Αττική). Έχει γράψει 15.638 μηνύματα. 22 Μαρτίου 2021 στις 16:55 Ο ιωαννηs έγραψε: #14 22-03-21 16:55 Αρχική Δημοσίευση από Heimerdinger: Ευχαριστώ παρααα πολύ κατάφερα να τα καταλάβω Click για ανάπτυξη... Ωραια τωρα θα φτιαξουμε και την αλλη. Σημείωση: Το μήνυμα αυτό γράφτηκε 5 χρόνια πριν. Ο συντάκτης του πιθανόν να έχει αλλάξει απόψεις έκτοτε. ιωαννηs Επιφανές μέλος Ο ιωαννηs δεν κοινοποιεί τη δραστηριότητά του. Είναι 25 ετών, Φοιτητής του τμήματος Πρόγραμμα Ιερατικών Σπουδών και μας γράφει από Πειραιάς (Αττική). Έχει γράψει 15.638 μηνύματα. 22 Μαρτίου 2021 στις 18:53 Ο ιωαννηs έγραψε: #15 22-03-21 18:53 Σημείωση: Το μήνυμα αυτό γράφτηκε 5 χρόνια πριν. Ο συντάκτης του πιθανόν να έχει αλλάξει απόψεις έκτοτε. Heimerdinger Νεοφερμένο μέλος Η Heimerdinger αυτή τη στιγμή δεν είναι συνδεδεμένη. Είναι 21 ετών. Έχει γράψει 12 μηνύματα. 22 Μαρτίου 2021 στις 19:01 Η Heimerdinger: #16 22-03-21 19:01 Αρχική Δημοσίευση από γιαννης_00: Click για ανάπτυξη... Ευχαριστώ παρα πολυ Σημείωση: Το μήνυμα αυτό γράφτηκε 5 χρόνια πριν. Ο συντάκτης του πιθανόν να έχει αλλάξει απόψεις έκτοτε. ιωαννηs Επιφανές μέλος Ο ιωαννηs δεν κοινοποιεί τη δραστηριότητά του. Είναι 25 ετών, Φοιτητής του τμήματος Πρόγραμμα Ιερατικών Σπουδών και μας γράφει από Πειραιάς (Αττική). Έχει γράψει 15.638 μηνύματα. 22 Μαρτίου 2021 στις 19:30 Ο ιωαννηs έγραψε: #17 22-03-21 19:30 Heimerdinger το ερώτημα Γ στην δεύτερη άσκηση εχει λαθος εμμονης και κουρασης μην το λαβεις υπ οψιν σου εδω ειναι το σωστο και ειναι απλουστερο. Σημείωση: Το μήνυμα αυτό γράφτηκε 5 χρόνια πριν. Ο συντάκτης του πιθανόν να έχει αλλάξει απόψεις έκτοτε. Συνημμένα 1616433898724.png 14,6 KB · Εμφανίσεις: 275 Τελευταία επεξεργασία: 22 Μαρτίου 2021 Συνδεθείτε ή εγγραφείτε για να απαντήσετε εδώ. Χρήστες Βρείτε παρόμοια Τα παρακάτω 0 μέλη και 0 επισκέπτες διαβάζουν μαζί με εσάς αυτό το θέμα: Tα παρακάτω 39 μέλη διάβασαν αυτό το θέμα: Startx0 globglogabgalab _Aggelos123 Heimerdinger Dr House Σωτηρία Georgekk papa2g the purge Konstantinos4 Scandal Cortes eukleidhs1821 giannist_ SlimShady το κοριτσι του μαη Alexandros36k 1205 nucomer Δήμος Βλάχος Xristinaqui pink_panther Φορτώνει... Μοιραστείτε: Facebook X Bluesky LinkedIn Reddit Pinterest Tumblr WhatsApp Email Μοιραστείτε Link ΑΠΑΝΤΗΣΗ
Σημείωση: Το μήνυμα αυτό γράφτηκε 5 χρόνια πριν. Ο συντάκτης του πιθανόν να έχει αλλάξει απόψεις έκτοτε.
Heimerdinger Νεοφερμένο μέλος Η Heimerdinger αυτή τη στιγμή δεν είναι συνδεδεμένη. Είναι 21 ετών. Έχει γράψει 12 μηνύματα. 22 Μαρτίου 2021 στις 16:54 Η Heimerdinger: #13 22-03-21 16:54 Αρχική Δημοσίευση από γιαννης_00: Click για ανάπτυξη... Ευχαριστώ παρααα πολύ κατάφερα να τα καταλάβω Σημείωση: Το μήνυμα αυτό γράφτηκε 5 χρόνια πριν. Ο συντάκτης του πιθανόν να έχει αλλάξει απόψεις έκτοτε. ιωαννηs Επιφανές μέλος Ο ιωαννηs δεν κοινοποιεί τη δραστηριότητά του. Είναι 25 ετών, Φοιτητής του τμήματος Πρόγραμμα Ιερατικών Σπουδών και μας γράφει από Πειραιάς (Αττική). Έχει γράψει 15.638 μηνύματα. 22 Μαρτίου 2021 στις 16:55 Ο ιωαννηs έγραψε: #14 22-03-21 16:55 Αρχική Δημοσίευση από Heimerdinger: Ευχαριστώ παρααα πολύ κατάφερα να τα καταλάβω Click για ανάπτυξη... Ωραια τωρα θα φτιαξουμε και την αλλη. Σημείωση: Το μήνυμα αυτό γράφτηκε 5 χρόνια πριν. Ο συντάκτης του πιθανόν να έχει αλλάξει απόψεις έκτοτε. ιωαννηs Επιφανές μέλος Ο ιωαννηs δεν κοινοποιεί τη δραστηριότητά του. Είναι 25 ετών, Φοιτητής του τμήματος Πρόγραμμα Ιερατικών Σπουδών και μας γράφει από Πειραιάς (Αττική). Έχει γράψει 15.638 μηνύματα. 22 Μαρτίου 2021 στις 18:53 Ο ιωαννηs έγραψε: #15 22-03-21 18:53 Σημείωση: Το μήνυμα αυτό γράφτηκε 5 χρόνια πριν. Ο συντάκτης του πιθανόν να έχει αλλάξει απόψεις έκτοτε. Heimerdinger Νεοφερμένο μέλος Η Heimerdinger αυτή τη στιγμή δεν είναι συνδεδεμένη. Είναι 21 ετών. Έχει γράψει 12 μηνύματα. 22 Μαρτίου 2021 στις 19:01 Η Heimerdinger: #16 22-03-21 19:01 Αρχική Δημοσίευση από γιαννης_00: Click για ανάπτυξη... Ευχαριστώ παρα πολυ Σημείωση: Το μήνυμα αυτό γράφτηκε 5 χρόνια πριν. Ο συντάκτης του πιθανόν να έχει αλλάξει απόψεις έκτοτε. ιωαννηs Επιφανές μέλος Ο ιωαννηs δεν κοινοποιεί τη δραστηριότητά του. Είναι 25 ετών, Φοιτητής του τμήματος Πρόγραμμα Ιερατικών Σπουδών και μας γράφει από Πειραιάς (Αττική). Έχει γράψει 15.638 μηνύματα. 22 Μαρτίου 2021 στις 19:30 Ο ιωαννηs έγραψε: #17 22-03-21 19:30 Heimerdinger το ερώτημα Γ στην δεύτερη άσκηση εχει λαθος εμμονης και κουρασης μην το λαβεις υπ οψιν σου εδω ειναι το σωστο και ειναι απλουστερο. Σημείωση: Το μήνυμα αυτό γράφτηκε 5 χρόνια πριν. Ο συντάκτης του πιθανόν να έχει αλλάξει απόψεις έκτοτε. Συνημμένα 1616433898724.png 14,6 KB · Εμφανίσεις: 275 Τελευταία επεξεργασία: 22 Μαρτίου 2021 Συνδεθείτε ή εγγραφείτε για να απαντήσετε εδώ. Χρήστες Βρείτε παρόμοια Τα παρακάτω 0 μέλη και 0 επισκέπτες διαβάζουν μαζί με εσάς αυτό το θέμα: Tα παρακάτω 39 μέλη διάβασαν αυτό το θέμα: Startx0 globglogabgalab _Aggelos123 Heimerdinger Dr House Σωτηρία Georgekk papa2g the purge Konstantinos4 Scandal Cortes eukleidhs1821 giannist_ SlimShady το κοριτσι του μαη Alexandros36k 1205 nucomer Δήμος Βλάχος Xristinaqui pink_panther Φορτώνει... Μοιραστείτε: Facebook X Bluesky LinkedIn Reddit Pinterest Tumblr WhatsApp Email Μοιραστείτε Link ΑΠΑΝΤΗΣΗ
Αρχική Δημοσίευση από γιαννης_00: Click για ανάπτυξη... Ευχαριστώ παρααα πολύ κατάφερα να τα καταλάβω Σημείωση: Το μήνυμα αυτό γράφτηκε 5 χρόνια πριν. Ο συντάκτης του πιθανόν να έχει αλλάξει απόψεις έκτοτε.
ιωαννηs Επιφανές μέλος Ο ιωαννηs δεν κοινοποιεί τη δραστηριότητά του. Είναι 25 ετών, Φοιτητής του τμήματος Πρόγραμμα Ιερατικών Σπουδών και μας γράφει από Πειραιάς (Αττική). Έχει γράψει 15.638 μηνύματα. 22 Μαρτίου 2021 στις 16:55 Ο ιωαννηs έγραψε: #14 22-03-21 16:55 Αρχική Δημοσίευση από Heimerdinger: Ευχαριστώ παρααα πολύ κατάφερα να τα καταλάβω Click για ανάπτυξη... Ωραια τωρα θα φτιαξουμε και την αλλη. Σημείωση: Το μήνυμα αυτό γράφτηκε 5 χρόνια πριν. Ο συντάκτης του πιθανόν να έχει αλλάξει απόψεις έκτοτε. ιωαννηs Επιφανές μέλος Ο ιωαννηs δεν κοινοποιεί τη δραστηριότητά του. Είναι 25 ετών, Φοιτητής του τμήματος Πρόγραμμα Ιερατικών Σπουδών και μας γράφει από Πειραιάς (Αττική). Έχει γράψει 15.638 μηνύματα. 22 Μαρτίου 2021 στις 18:53 Ο ιωαννηs έγραψε: #15 22-03-21 18:53 Σημείωση: Το μήνυμα αυτό γράφτηκε 5 χρόνια πριν. Ο συντάκτης του πιθανόν να έχει αλλάξει απόψεις έκτοτε. Heimerdinger Νεοφερμένο μέλος Η Heimerdinger αυτή τη στιγμή δεν είναι συνδεδεμένη. Είναι 21 ετών. Έχει γράψει 12 μηνύματα. 22 Μαρτίου 2021 στις 19:01 Η Heimerdinger: #16 22-03-21 19:01 Αρχική Δημοσίευση από γιαννης_00: Click για ανάπτυξη... Ευχαριστώ παρα πολυ Σημείωση: Το μήνυμα αυτό γράφτηκε 5 χρόνια πριν. Ο συντάκτης του πιθανόν να έχει αλλάξει απόψεις έκτοτε. ιωαννηs Επιφανές μέλος Ο ιωαννηs δεν κοινοποιεί τη δραστηριότητά του. Είναι 25 ετών, Φοιτητής του τμήματος Πρόγραμμα Ιερατικών Σπουδών και μας γράφει από Πειραιάς (Αττική). Έχει γράψει 15.638 μηνύματα. 22 Μαρτίου 2021 στις 19:30 Ο ιωαννηs έγραψε: #17 22-03-21 19:30 Heimerdinger το ερώτημα Γ στην δεύτερη άσκηση εχει λαθος εμμονης και κουρασης μην το λαβεις υπ οψιν σου εδω ειναι το σωστο και ειναι απλουστερο. Σημείωση: Το μήνυμα αυτό γράφτηκε 5 χρόνια πριν. Ο συντάκτης του πιθανόν να έχει αλλάξει απόψεις έκτοτε. Συνημμένα 1616433898724.png 14,6 KB · Εμφανίσεις: 275 Τελευταία επεξεργασία: 22 Μαρτίου 2021 Συνδεθείτε ή εγγραφείτε για να απαντήσετε εδώ. Χρήστες Βρείτε παρόμοια Τα παρακάτω 0 μέλη και 0 επισκέπτες διαβάζουν μαζί με εσάς αυτό το θέμα: Tα παρακάτω 39 μέλη διάβασαν αυτό το θέμα: Startx0 globglogabgalab _Aggelos123 Heimerdinger Dr House Σωτηρία Georgekk papa2g the purge Konstantinos4 Scandal Cortes eukleidhs1821 giannist_ SlimShady το κοριτσι του μαη Alexandros36k 1205 nucomer Δήμος Βλάχος Xristinaqui pink_panther Φορτώνει... Μοιραστείτε: Facebook X Bluesky LinkedIn Reddit Pinterest Tumblr WhatsApp Email Μοιραστείτε Link ΑΠΑΝΤΗΣΗ
Αρχική Δημοσίευση από Heimerdinger: Ευχαριστώ παρααα πολύ κατάφερα να τα καταλάβω Click για ανάπτυξη... Ωραια τωρα θα φτιαξουμε και την αλλη. Σημείωση: Το μήνυμα αυτό γράφτηκε 5 χρόνια πριν. Ο συντάκτης του πιθανόν να έχει αλλάξει απόψεις έκτοτε.
ιωαννηs Επιφανές μέλος Ο ιωαννηs δεν κοινοποιεί τη δραστηριότητά του. Είναι 25 ετών, Φοιτητής του τμήματος Πρόγραμμα Ιερατικών Σπουδών και μας γράφει από Πειραιάς (Αττική). Έχει γράψει 15.638 μηνύματα. 22 Μαρτίου 2021 στις 18:53 Ο ιωαννηs έγραψε: #15 22-03-21 18:53 Σημείωση: Το μήνυμα αυτό γράφτηκε 5 χρόνια πριν. Ο συντάκτης του πιθανόν να έχει αλλάξει απόψεις έκτοτε. Heimerdinger Νεοφερμένο μέλος Η Heimerdinger αυτή τη στιγμή δεν είναι συνδεδεμένη. Είναι 21 ετών. Έχει γράψει 12 μηνύματα. 22 Μαρτίου 2021 στις 19:01 Η Heimerdinger: #16 22-03-21 19:01 Αρχική Δημοσίευση από γιαννης_00: Click για ανάπτυξη... Ευχαριστώ παρα πολυ Σημείωση: Το μήνυμα αυτό γράφτηκε 5 χρόνια πριν. Ο συντάκτης του πιθανόν να έχει αλλάξει απόψεις έκτοτε. ιωαννηs Επιφανές μέλος Ο ιωαννηs δεν κοινοποιεί τη δραστηριότητά του. Είναι 25 ετών, Φοιτητής του τμήματος Πρόγραμμα Ιερατικών Σπουδών και μας γράφει από Πειραιάς (Αττική). Έχει γράψει 15.638 μηνύματα. 22 Μαρτίου 2021 στις 19:30 Ο ιωαννηs έγραψε: #17 22-03-21 19:30 Heimerdinger το ερώτημα Γ στην δεύτερη άσκηση εχει λαθος εμμονης και κουρασης μην το λαβεις υπ οψιν σου εδω ειναι το σωστο και ειναι απλουστερο. Σημείωση: Το μήνυμα αυτό γράφτηκε 5 χρόνια πριν. Ο συντάκτης του πιθανόν να έχει αλλάξει απόψεις έκτοτε. Συνημμένα 1616433898724.png 14,6 KB · Εμφανίσεις: 275 Τελευταία επεξεργασία: 22 Μαρτίου 2021 Συνδεθείτε ή εγγραφείτε για να απαντήσετε εδώ. Χρήστες Βρείτε παρόμοια Τα παρακάτω 0 μέλη και 0 επισκέπτες διαβάζουν μαζί με εσάς αυτό το θέμα: Tα παρακάτω 39 μέλη διάβασαν αυτό το θέμα: Startx0 globglogabgalab _Aggelos123 Heimerdinger Dr House Σωτηρία Georgekk papa2g the purge Konstantinos4 Scandal Cortes eukleidhs1821 giannist_ SlimShady το κοριτσι του μαη Alexandros36k 1205 nucomer Δήμος Βλάχος Xristinaqui pink_panther Φορτώνει... Μοιραστείτε: Facebook X Bluesky LinkedIn Reddit Pinterest Tumblr WhatsApp Email Μοιραστείτε Link ΑΠΑΝΤΗΣΗ
Σημείωση: Το μήνυμα αυτό γράφτηκε 5 χρόνια πριν. Ο συντάκτης του πιθανόν να έχει αλλάξει απόψεις έκτοτε.
Heimerdinger Νεοφερμένο μέλος Η Heimerdinger αυτή τη στιγμή δεν είναι συνδεδεμένη. Είναι 21 ετών. Έχει γράψει 12 μηνύματα. 22 Μαρτίου 2021 στις 19:01 Η Heimerdinger: #16 22-03-21 19:01 Αρχική Δημοσίευση από γιαννης_00: Click για ανάπτυξη... Ευχαριστώ παρα πολυ Σημείωση: Το μήνυμα αυτό γράφτηκε 5 χρόνια πριν. Ο συντάκτης του πιθανόν να έχει αλλάξει απόψεις έκτοτε. ιωαννηs Επιφανές μέλος Ο ιωαννηs δεν κοινοποιεί τη δραστηριότητά του. Είναι 25 ετών, Φοιτητής του τμήματος Πρόγραμμα Ιερατικών Σπουδών και μας γράφει από Πειραιάς (Αττική). Έχει γράψει 15.638 μηνύματα. 22 Μαρτίου 2021 στις 19:30 Ο ιωαννηs έγραψε: #17 22-03-21 19:30 Heimerdinger το ερώτημα Γ στην δεύτερη άσκηση εχει λαθος εμμονης και κουρασης μην το λαβεις υπ οψιν σου εδω ειναι το σωστο και ειναι απλουστερο. Σημείωση: Το μήνυμα αυτό γράφτηκε 5 χρόνια πριν. Ο συντάκτης του πιθανόν να έχει αλλάξει απόψεις έκτοτε. Συνημμένα 1616433898724.png 14,6 KB · Εμφανίσεις: 275 Τελευταία επεξεργασία: 22 Μαρτίου 2021 Συνδεθείτε ή εγγραφείτε για να απαντήσετε εδώ.
Αρχική Δημοσίευση από γιαννης_00: Click για ανάπτυξη... Ευχαριστώ παρα πολυ Σημείωση: Το μήνυμα αυτό γράφτηκε 5 χρόνια πριν. Ο συντάκτης του πιθανόν να έχει αλλάξει απόψεις έκτοτε.
ιωαννηs Επιφανές μέλος Ο ιωαννηs δεν κοινοποιεί τη δραστηριότητά του. Είναι 25 ετών, Φοιτητής του τμήματος Πρόγραμμα Ιερατικών Σπουδών και μας γράφει από Πειραιάς (Αττική). Έχει γράψει 15.638 μηνύματα. 22 Μαρτίου 2021 στις 19:30 Ο ιωαννηs έγραψε: #17 22-03-21 19:30 Heimerdinger το ερώτημα Γ στην δεύτερη άσκηση εχει λαθος εμμονης και κουρασης μην το λαβεις υπ οψιν σου εδω ειναι το σωστο και ειναι απλουστερο. Σημείωση: Το μήνυμα αυτό γράφτηκε 5 χρόνια πριν. Ο συντάκτης του πιθανόν να έχει αλλάξει απόψεις έκτοτε. Συνημμένα 1616433898724.png 14,6 KB · Εμφανίσεις: 275 Τελευταία επεξεργασία: 22 Μαρτίου 2021
Heimerdinger το ερώτημα Γ στην δεύτερη άσκηση εχει λαθος εμμονης και κουρασης μην το λαβεις υπ οψιν σου εδω ειναι το σωστο και ειναι απλουστερο. Σημείωση: Το μήνυμα αυτό γράφτηκε 5 χρόνια πριν. Ο συντάκτης του πιθανόν να έχει αλλάξει απόψεις έκτοτε.